AutoML - Hyperparameter Optimization

5,879 阅读10分钟

我们来自字节跳动飞书商业应用研发部(Lark Business Applications),目前我们在北京、深圳、上海、武汉、杭州、成都、广州、三亚都设立了办公区域。我们关注的产品领域主要在企业经验管理软件上,包括飞书 OKR、飞书绩效、飞书招聘、飞书人事等 HCM 领域系统,也包括飞书审批、OA、法务、财务、采购、差旅与报销等系统。欢迎各位加入我们。

本文作者:飞书商业应用研发部 魏一

欢迎大家关注飞书技术,每周定期更新飞书技术团队技术干货内容,想看什么内容,欢迎大家评论区留言~

为什么使用 Hyperparameter Optimization

自动化机器学习系统的各个部件,让机器学习的规模依赖于计算资源而不是专业人力。

AutoML 的目的是将模型结构和参数的搜索从手工方法变成自动化方法。其意义在于,让公司进行机器学习的能力,规模从依赖机器学习专家转化为依赖计算资源。因为长久的看来计算资源的成本比机器学习专家要低,因此 AutoML 会总体大大增加公司进行机器学习应用的能力。

AutoML Tables

自动化不一定取代人工,也可以助力人工。

AutoML 主要用于自动的进行模型的优化,模型优化可以分为两个部分:

  1. 特征的选择
  2. 表现的优化
    • 超参数优化「Hyperparameter Optimization, HPO」
    • 网络结构搜索「Neural Architecture Search, NAS」
  3. 性能的优化

主要包括是提升模型的性能,比如剪枝「Pruning」和量化「Quantization」

易于使用

  • 中心节点:负责收集和汇总训练的结果,分发需要尝试的超参数
  • 计算节点:负责使用中心节点传来的超参数,运行训练脚本,返回训练结果

训练脚本满足两个基本需求:

  1. 需要调优的超参数可以从配置里面读入
  2. 能够返回训练的结果「类似于callback」

model.py

params = {'features': 512,'lr': 0.001,'momentum': 0}

optimized_params = get_next_parameter() 
params.update(optimized_params)

...

class NeuralNetwork(nn.Module):
    ...
 
for t in range(epochs):
    train(...)
    
accuracy = test(...)
report_result(accuracy) 

main.py

search_space = {
    'features': {'_type': 'choice', '_value': [128, 256, 512, 1024]},
    'lr': {'_type': 'loguniform', '_value': [0.0001, 0.1]},
    'momentum': {'_type': 'uniform', '_value': [0, 1]}
    }
    
experiment = Experiment(trial_command='python3 model.py', 
                        search_space=search_space)
experiment.run(8080)

常见的搜索空间

  • 候选集
    • 数值型,比如embedding size 从 4,8, 16, 32,64中选取
    • 枚举型,比如不同的优化器
  • 实数性
    • 从区间内,根据不同的分布选取一个随机实/整数,比如uniform、loguniform ……

HPO迭代思路

  • 专业知识 - 大量尝试 - 提升效率 - 加速迭代效率
    • 择优更新 - 选择更优的策略进行变换
      • 利用现有数据进行预测

传统的通用方法

Batch

给出几组比较有潜力的参数。把这些参数都去尝试一下,就是最简单的batch方法。

最简单的方式进行超参数选择,同时可以并行,但需要最多的先验知识。

image.png

Anneal

设置一个先验的概率,然后根据这个概率去抽取一个参数组合。

注意:要保证当前表现好的参数组合有比较大的概率被抽到。


例如:使用几何分布选取下一轮迭代的基础参数组合

先验的概率:为 1 / 第k好的实验下标 「注:下标按照表现排序,最好的在最前面」

rng = np.random.RandomState(seed)
good_idx = rng.geometric(1.0 / avg_best_idx), size=size) - 1

超参数随着实验的进行,可选的范围逐渐缩小

例如在区间内随机选取 U(l, h),当前较优参数的值为 x,那么下一次选取时的范围变为:

U(x - w/2, x + w/2),其中 w = W / (1 + T * shrink_coef)

T:当前已完成的trail数量

shrink_coef:大于0小于1的常数

Evolution

方法1:

  • 竞赛模式:从现有的数据中两两进行随机组合,在每组效果好的参数上进行随机变化,去重,获得新的参数

方法2:

  • 自然界中:
    • 表现优异的个体往往更加容易留下后代。Aging evolution算法通过采样形成一个候选集,选择候选集中准确率最高的参数组合进行繁衍,以此模拟这个过程
    • 年轻的个体相比于年老的个体一般具有更好的潜能,更有可能留下后代。Aging evolution算法每次会去除种群中一个最老的个体,并加入一个新个体,以此模拟这个过程
    • 后代往往会遗传父母的一些特征,并在此基础上进行变异。

Hyperband

哪些因素造成了训练时长的变化?

  • 训练轮数
  • 样本数量
  • 特征数量
  • ……

将这些限制因素考虑为预算,通过合理的预算在无/有限分配的超参数组合上分配,获得最大的收益「模型表现最好」

=> 将超参数调优的问题变为无限臂老虎机上进行非随机地探索的过程

image.png

基本的思路:Early-stop 尽早的结束潜力不大的参数组合的训练,但是:

设计一个预算限制,根据不同的预算限制和需要探索的参数的组合,分配给每个组合一定的资源:

  • B:总预算「上面提到的三个限制因素」
  • R:每次迭代的资源数量
  • S:需要进行的迭代数量「每次迭代包含多次尝试」
  • η: Successive Halving 中被保留的超参数组合的比例

实例:

Median Stop

无需模型、适用范围广

在第s步,如果实验t至今最优的结果差于第0到t-1次实验「之前所有」在第s步时的平均值的中位数,那么则停止当前实验的训练。

平均值的计算:

第s步:一般不从取前几步的结果,就像之前图所示,前期结果的置信度不高,过早结束可能会错过最优解。「需要一个warm-up的过程」

_completed_avg_history = defaultdict(list)

for trial_job_id in trial_job_ids:
    cnt, history_sum = 0, 0
    for each in _running_history[trial_job_id]:
        cnt += 1
        history_sum += each
        s_completed_avg_history[trial_job_id].append(history_sum / cnt)
        # 记录 O[1:s, T] 
……

avg_array = []  # 第0到t-1次实验「之前所有」在第s步时的平均值
for id_ in _completed_avg_history:
    if len(_completed_avg_history[id_]) >= curr_step:
        avg_array.append(_completed_avg_history[id_][curr_step - 1])
        
median = avg_array[(len(avg_array)-1) // 2]
improved = False if best_history < median else True

❗️没有充分的考虑和利用历史信息

UML 图.jpg

利用全局信息更充分的探索潜力较大的区域


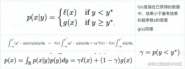
TPE

Tree-structured Parzen Estimator Approach属于 Sequential Model-Based Global Optimization 「SMBO」

这里的Tree表示什么:超参数是一个个进行优化的,tree指的是一种层级结构。也就是说超参数组成了一个树形结构。

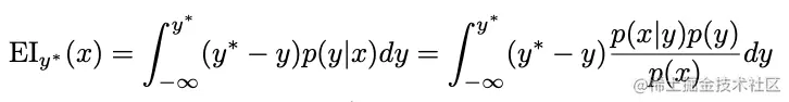
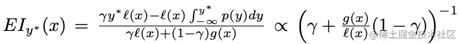
在超参数的选取时,我们希望新的超参数能够带来最大的收益。因此定义: Expected Improvement 「EI」

image.png

结合起来,

也就是说对于给定的历史数据,希望最小化 g(x) / l(x)。

UML 图 (1).jpg

rng = np.random.default_rng(seed)

below, above = split_history(param_history)  # split history into good ones and bad ones

counts: List[int] = np.bincount(below)
p = (counts + prior_weight) / sum(counts + prior_weight) # add k smoothing
samples = rng.choice(size, 20, p=p)
below_llik = np.log(p[samples])  # the probablity of these samples to be good (llik means log-likelyhood)

counts: List[int] = np.bincount(above)
p = (counts + prior_weight) / sum(counts + prior_weight)
above_llik = np.log(p[samples])  # the probablity of above samples to be bad

best = samples[np.argmax(below_llik - above_llik)]  # which one has best probability to be good

❗️TPE在进行超参数选择的时候考虑到了历史信息,但没有考虑到部分超参数的关联性

GP

Gaussian Processes:相似的输入应该有相似的输出

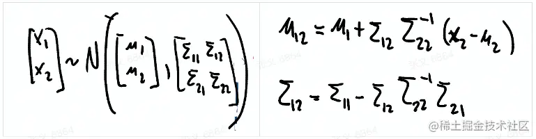
假设有数据 D = {(x1, f1), {x2, f2}, {x3, f3}},目标是获得 f(x)。假设数据来自 N ~ (0, K)

如果现在有一个新输入 x* 假设 x* 和现有的数据来自同一个分布,为了确保f和之前的数据具有关联,所以将已有的f和f共同构成一个新的高斯分布。

image.png

如果已有高斯分布,那个可以计算 µ1|2 和 Σ1|2

image.png

因此可以计算出x对应f的均值和方差

image.png

实例:

如何进行预测?未知点x的预测值f有更大的概率大于当前最优的f+。

GP和其他的贝叶斯优化「Bayesian Optimization」方法提供了一个更优的超参数选取方案。BOHB「Bayesian Optimization Hyperband」将贝叶斯优化和Hyperband结合起来。整体框架还是和Hyperband保持一致,但每轮优化开始时使用贝叶斯优化替换随机,根据上轮迭代的结果,选择更优的可尝试参数组合。

SMAC

Sequential Model-Based Optimization for General Algorithm Configuration

高斯过程更适合与处理超参数空间为连续或数值类型的情况。但经常会出现离散「例如选择优化器」,甚至条件关系「例如与优化器相关特有的超参数」的超参数。

GP可以通过设计巧妙的方法解决这个问题「比如设计特定的核函数」,但解决起来并不自然。

需要的是 预测值 + 不确定性 并且模型不能过于复杂。 —— 随机森林


同样数据集为:{(x_1, f(x_1)), (x_2, f(x_2)), ..., (x_n, f(x_n))}

这里的x_n是模型的超参数,而f(x_n)是在该模型超参数配置下,在某个固定的数据集上的表现

通过建立一个随机森林模型去拟合f;该过程可以类比高斯回归过程中n个点所构成的多维正态分布。

对于新加入的点x,在随机森林的每个树上有一个预测结果,把所有树的预测结果求平均即得到均值,预测结果求标准差即为标准差。

在高斯回归过程中,对于新加入的点x与之前的点构成新的多维正态分布,然后求解新加入点的边际分布即可得到新加入的点的均值与标准差。

在对新的超参数组合进行搜索的时候,会同时在已经表现比较好的超参数组合附近进行搜索,和随机选取点进行预测。

DNGO

Deep Networks for Global Optimization

使用DNN替换随机森林。

需要能够获得 预测值 + 不确定性,DNN如何实现?

=》 MLP + Bayesian Linear Regression


  • MLP部分

通过历史数据进行训练,预测目标是超参数对应的结果。但在预测时使用最后一层的输出作为basis function,用作Bayesian Linear Regression的输入。

class Net(nn.Module):
    def __init__(self, n_inputs, n_units=[50, 50, 50]):
        super(Net, self).__init__()
        self.fc1 = nn.Linear(n_inputs, n_units[0])
        self.fc2 = nn.Linear(n_units[0], n_units[1])
        self.fc3 = nn.Linear(n_units[1], n_units[2])
        self.out = nn.Linear(n_units[2], 1)

    def forward(self, x):
        x = torch.tanh(self.fc1(x))
        x = torch.tanh(self.fc2(x))
        x = torch.tanh(self.fc3(x))

        return self.out(x)

    def basis_funcs(self, x):
        x = torch.tanh(self.fc1(x))
        x = torch.tanh(self.fc2(x))
        x = torch.tanh(self.fc3(x))
        return x

  • Bayesian Linear Regression

根据MLP得到的basis function进行预测,返回均值和方差。

预测方法:Gibbs Sampling

例如想要获得位置的f(x, y)「联合分布」,假设是高斯分布:

image.png

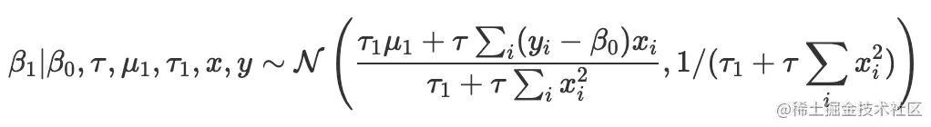
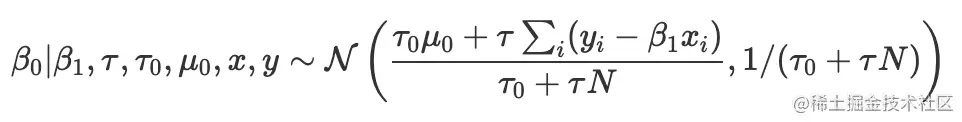
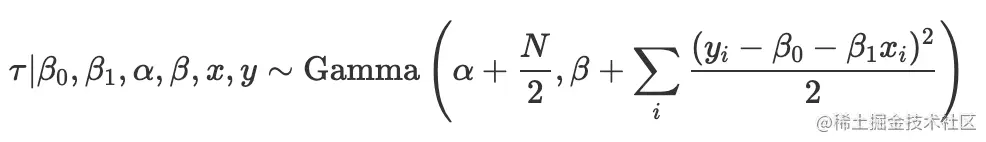
一个很简单的例子:

Data:{(x1, y1), ..., (xn, yn)}

参数为:β0 (the intercept), β1 (the gradient) and precision τ

image.png

假设参数的先验分布为:

经过一系列的推导,可以得到:

def gibbs(y, x):
    iters = 1000

    init = {"beta_0": 0,"beta_1": 0,"tau": 2}  # specify hyper parameters     hypers = {"mu_0": 0,"tau_0": 1,"mu_1": 0,"tau_1": 1,"alpha": 2,"beta": 1}    
    
    beta_0 = init["beta_0"]
    beta_1 = init["beta_1"]
    tau = init["tau"]

    sample_weight = np.zeros((iters, 3))  # trace to store values of beta_0, beta_1, tau

    for it in range(iters):
        beta_0 = sample_beta_0(y, x, beta_1, tau, hypers["mu_0"], hypers["tau_0"])
        beta_1 = sample_beta_1(y, x, beta_0, tau, hypers["mu_1"], hypers["tau_1"])
        tau = sample_tau(y, x, beta_0, beta_1, hypers["alpha"], hypers["beta"])
        sample_weight[it, :] = np.array((beta_0, beta_1, tau))

    return sample_weight
    
    
weights = sample_weight(y, x, iters, init, hypers)

predictions = [w[0] + w[1]*x_test + w[2] for w in weights]

神经网络自身也有超参数,最终的选取通过使用多个数据集,利用GP选择最优的超参数。

相比于随机森林,模型更为复杂,文中提供的结果显示效果优于SMAC,性能优于GP。

深度学习适用的方法

深度学习超参数/结构的搜索面临的两大主要问题

  1. 训练耗时
  2. 可搜索组合多

Evolution

PBT

全称:Population Based Training

结合最优探索和并行尝试,在训练的过程中不断的进行模型的评估和排序。如果排名较低,则将被替换「用表现好的模型结果和超参数」,在此基础上进行探索。

Reinforcement Learning

RNN + RL

结果好,但耗时很长。

Differentiable Architecture Search

image.png

实例:embedding size搜索

  1. 对每个模型结构选择的地方,建立一个mixed operation。这个mixed operation有参数a,作为权重。模型本身的参数我们设置为w
  2. 当模型还没有收敛时,做:
    • 更新mixed operation的模型结构参数a。在模型的每个mixed operation当中sample一个op。对于sample的ops, 本来模型的loss如果记为 L(op1, op2, ... opn),则我们计算一个L(op1 * a1', op2 * a2' ..., opn * an'),其中ai'是a在opi上被选择的那个权重值
    • 在模型的每个mixed operation当中sample一个op,对模型本身的参数w做gradient descent。

总结

  1. 易于使用,提升效率;
  2. 加深对业务数据的理解。

Reference

加入我们

扫码发现职位&投递简历

官网投递:job.toutiao.com/s/FyL7DRg