【13】集合与数据结构

113 阅读42分钟

13.1 数据结构

数据结构就是研究数据的逻辑结构和物理结构以及它们之间相互关系,并对这种结构定义相应的运算,而且确保经过这些运算后所得到的新结构仍然是原来的结构类型。

(1)数据的逻辑结构指反映数据元素之间的逻辑关系,而与他们在计算机中的存储位置无关:

  • 散列结构:数据结构中的元素之间除了“同属一个集合” 的相互关系外,别无其他关系;
  • 线性结构:数据结构中的元素存在一对一的相互关系;
  • 树形结构:数据结构中的元素存在一对多的相互关系;
  • 图形结构:数据结构中的元素存在多对多的相互关系。

image-20220129201232149.png (2)数据的物理结构/存储结构:是描述数据具体在内存中的存储(如:数组结构、链式结构、索引结构、哈希结构)等,一种数据逻辑结构可表示成一种或多种物理存储结构。

  • 数组结构:元素在内存中是==连续存储==的,即元素存储在一整块连续的存储空间中,此时根据索引的查询效率是非常高的,因为可以根据下标索引直接一步到位找到元素位置,如果在数组末尾添加和删除元素效率也非常高。缺点是,如果事先申请足够大的内存空间,可能造成空间浪费,如果事先申请较小的内存空间,可能造成频繁扩容导致元素频繁搬家。另外,在数组中间添加、删除元素操作,就需要移动元素,此时效率也要打折。
  • 链式结构:元素在内存中是不要求连续存储的,但是==元素是封装在结点==当中的,结点中需要存储元素数据,以及相关结点对象的引用地址。结点与结点之间可以是一对一的关系,也可以一对多的关系,比如:链表、树等。遍历链式结构只能从头遍历,对于较长的链表来说查询效率不高,对于树结构来说,查询效率比链表要高一点,因为每次可以确定一个分支,从而排除其他分支,但是相对于数组来说,还是数组[下标]的方式更快。树的实现方式有很多种,无非就是在添加/删除效率 与 查询效率之间权衡。
  • 索引结构:元素在内存中是不要求连续存储的,但是需要有==单独的一个索引表==来记录每一个元素的地址,这种结构根据索引的查询效率很高,但是需要额外存储和维护索引表。
  • 哈希结构:元素的存储位置需要通过其==hashCode值==来计算,查询效率也很多,但是要考虑和解决好哈希冲突问题。

数据结构和算法是一门完整并且复杂的课程。

数据结构与算法.jpg

Java的核心类库中提供很多数据结构对应的集合类型,例如动态数组、双向链表、顺序栈、链式栈、队列、双端队列、红黑树、哈希表等等。

13.2 List集合

Collection 层次结构中的根接口。一些 collection 允许有重复的元素,而另一些则不允许。一些 collection 是有序的,而另一些则是无序的。JDK 不提供此接口的任何直接实现:它提供更具体的子接口(如 Set 和 List、Queue)实现。 我们掌握了Collection接口的使用后,再来看看Collection接口中的子接口,他们都具备那些特性呢?

13.2.1 List接口介绍

java.util.List接口继承自Collection接口,是单列集合的一个重要分支,习惯性地会将实现了List接口的对象称为List集合。

List接口特点:

  • List集合所有的元素是以一种==线性方式==进行存储的,例如,存元素的顺序是11、22、33。那么集合中,元素的存储就是按照11、22、33的顺序完成的)
  • 它是一个元素==存取有序==的集合。即元素的存入顺序和取出顺序有保证。
  • 它是一个==带有索引==的集合,通过索引就可以精确的操作集合中的元素(与数组的索引是一个道理)。
  • 集合中可以有==重复==的元素,通过元素的equals方法,来比较是否为重复的元素。

List集合类中元素有序、且可重复。这就像银行门口客服,给每一个来办理业务的客户分配序号:第一个来的是“张三”,客服给他分配的是0;第二个来的是“李四”,客服给他分配的1;以此类推,最后一个序号应该是“总人数-1”。 1563549818689.png

注意: List集合关心元素是否有序,而不关心是否重复,请大家记住这个原则。例如“张三”可以领取两个号。

13.2.2 List接口中常用方法

List作为Collection集合的子接口,不但继承了Collection接口中的全部方法,而且还增加了一些根据元素索引来操作集合的特有方法,如下:

List除了从Collection集合继承的方法外,List 集合里添加了一些根据索引来操作集合元素的方法。

1、添加元素

  • void add(int index, E ele)
  • boolean addAll(int index, Collection<? extends E>\ eles)

2、获取元素

  • E get(int index)
  • List subList(int fromIndex, int toIndex)

3、获取元素索引

  • int indexOf(Object obj)
  • int lastIndexOf(Object obj)

4、删除和替换元素

  • E remove(int index)
  • E set(int index, E ele)

List集合特有的方法都是跟索引相关:

package com.atguigu.list;
​
import java.util.ArrayList;
import java.util.List;
​
public class TestListMethod {
    public static void main(String[] args) {
        // 创建List集合对象
        List<String> list = new ArrayList<String>();
​
        // 往 尾部添加 指定元素
        list.add("图图");
        list.add("小美");
        list.add("不高兴");
​
        System.out.println(list);
        // add(int index,String s) 往指定位置添加
        list.add(1,"没头脑");
​
        System.out.println(list);
        // String remove(int index) 删除指定位置元素  返回被删除元素
        // 删除索引位置为2的元素
        System.out.println("删除索引位置为2的元素");
        System.out.println(list.remove(2));
​
        System.out.println(list);
​
        // String set(int index,String s)
        // 在指定位置 进行 元素替代(改)
        // 修改指定位置元素
        list.set(0, "三毛");
        System.out.println(list);
​
        // String get(int index)  获取指定位置元素
        // 跟size() 方法一起用  来 遍历的
        for(int i = 0;i<list.size();i++){
            System.out.println(list.get(i));
        }
        //还可以使用增强for
        for (String string : list) {
            System.out.println(string);
        }
    }
}

在JavaSE中List名称的类型有两个,一个是java.util.List集合接口,一个是java.awt.List图形界面的组件,别导错包了。

13.2.3 ListIterator迭代器

List 集合额外提供了一个 listIterator() 方法,该方法返回一个 ListIterator 列表迭代器对象, ListIterator 接口继承了 Iterator 接口,提供了专门操作 List 的方法:

  • void add():通过迭代器添加元素到对应集合
  • void set(Object obj):通过迭代器替换正迭代的元素
  • void remove():通过迭代器删除刚迭代的元素
  • boolean hasPrevious():如果以逆向遍历列表,往前是否还有元素。
  • Object previous():返回列表中的前一个元素。
  • int previousIndex():返回列表中的前一个元素的索引
  • boolean hasNext()
  • Object next()
  • int nextIndex()
package com.atguigu.list;
​
import java.util.ArrayList;
import java.util.List;
import java.util.ListIterator;
​
public class TestListIterator {
    public static void main(String[] args) {
        List<String> list = new ArrayList<>();
        list.add("张三");
        list.add("李四");
        list.add("王五");
        list.add("赵六");
        list.add("钱七");
​
        //从指定位置往前遍历
        System.out.println("从后往前遍历:");
        ListIterator<String> listIterator = list.listIterator(list.size());
        while(listIterator.hasPrevious()){
            int previousIndex = listIterator.previousIndex();
            String previous = listIterator.previous();
            System.out.println(previousIndex + ":" + previous);
        }
​
        //从前往后遍历
        System.out.println("从前往后遍历:");
        while(listIterator.hasNext()){
            int nextIndex = listIterator.nextIndex();
            String next = listIterator.next();
            System.out.println(nextIndex + ":" + next);
        }
​
        //在“王五”前面添加"光头强"
        System.out.println("在“王五”前面添加"光头强"");
        while(listIterator.hasPrevious()){
            String previous = listIterator.previous();
            if("王五".equals(previous)){
                listIterator.add("光头强");
            }
        }
​
        //把“李四”替换为"李强"
        System.out.println("把"李四"替换为"李强"");
        while(listIterator.hasNext()){
            String next = listIterator.next();
            if("李四".equals(next)){
                listIterator.set("李强");
            }
        }
​
        System.out.println("list = " + list);
    }
}

13.2.4 List接口的实现类们

List接口的实现类有很多,常见的有:

ArrayList:动态数组

Vector:动态数组

LinkedList:双向链表

Stack:栈

当然,还有很多List接口的实现类这里没有列出来,基础阶段先了解这几个。

13.2.5 动态数组

1、动态数组的特点

逻辑结构特点:线性结构

物理结构特点:

  • 申请内存:一次申请一大段连续的空间,一旦申请到了,内存就固定了。
  • 存储特点:所有数据存储在这个连续的空间中,数组中的每一个元素都是一个具体的数据(或对象),所有数据都紧密排布,不能有间隔。

例如:整型数组

1563432676234.png

例如:对象数组

1563432696340.png

2、自定义动态数组

package com.atguigu.list;
​
import java.util.Arrays;
import java.util.Iterator;
import java.util.NoSuchElementException;
​
public class MyArrayList<E> implements Iterable<E>{
    private Object[] all;
    private int total;
​
    public MyArrayList(){
        all = new Object[10];
    }
​
    public void add(E e) {
        ensureCapacityEnough();
        all[total++] = e;
    }
​
    private void ensureCapacityEnough() {
        if(total >= all.length){
            all = Arrays.copyOf(all, all.length + (all.length>>1));
        }
    }
​
    public void insert(int index, E value) {
        //是否需要扩容
        ensureCapacityEnough();
        //添加元素的下标检查
        addCheckIndex(index);
        if(total-index > 0) {
            System.arraycopy(all, index, all, index+1, total-index);
        }
        all[index]=value;
        total++;
    }
​
    private void addCheckIndex(int index) {
        if(index<0 || index>total){
            throw new IndexOutOfBoundsException(index+"越界");
        }
    }
​
    public void delete(E e) {
        int index = indexOf(e);
        if(index==-1){
            throw new NoSuchElementException(e+"不存在");
        }
        delete(index);
    }
​
    public void delete(int index) {
        //删除元素的下标检查
        checkIndex(index);
        if(total-index-1 > 0) {
            System.arraycopy(all, index+1, all, index, total-index-1);
        }
        all[--total] = null;
    }
​
    private void checkIndex(int index) {
        if(index<0 || index>total){
            throw new IndexOutOfBoundsException(index+"越界");
        }
    }
​
    public void update(int index, E value) {
        //更新修改元素的下标检查
        checkIndex(index);
        all[index] = value;
    }
​
    public void update(E old, E value) {
        int index = indexOf(old);
        if(index!=-1){
            update(index, value);
        }
    }
​
    public boolean contains(E e) {
        return indexOf(e) != -1;
    }
​
    public int indexOf(E e) {
        int index = -1;
        if(e==null){
            for (int i = 0; i < total; i++) {
                if(e == all[i]){
                    index = i;
                    break;
                }
            }
        }else{
            for (int i = 0; i < total; i++) {
                if(e.equals(all[i])){
                    index = i;
                    break;
                }
            }
        }
        return index;
    }
​
    public E get(int index) {
        //获取元素的下标检查
        checkIndex(index);
        return (E) all[index];
    }
​
​
    public int size() {
        return total;
    }
​
    public Iterator<E> iterator() {
        return new Itr();
    }
​
    private class Itr implements Iterator<E>{
        private int cursor;
​
        @Override
        public boolean hasNext() {
            return cursor!=total;
        }
​
        @Override
        public E next() {
            return (E) all[cursor++];
        }
​
        @Override
        public void remove() {
            MyArrayList.this.delete(--cursor);
        }
    }
}
​

测试类:

package com.atguigu.list;
​
import java.util.Iterator;
​
public class TestMyArrayList {
    public static void main(String[] args) {
​
        MyArrayList<String> my = new MyArrayList<>();
        my.add("hello");
        my.add("java");
        my.add("java");
        my.add("world");
        my.add(null);
        my.add(null);
        my.add("atguigu");
        my.add("list");
        my.add("data");
​
        System.out.println("元素个数:" + my.size());
        for (String s : my) {
            System.out.println(s);
        }
        System.out.println("-------------------------");
        System.out.println("在[1]插入尚硅谷后:");
        my.insert(1, "尚硅谷");
        System.out.println("元素个数:" + my.size());
        for (String s : my) {
            System.out.println(s);
        }
        System.out.println("--------------------------");
        System.out.println("删除[1]位置的元素后:");
        my.delete(1);
        System.out.println("元素个数:" + my.size());
        for (String s : my) {
            System.out.println(s);
        }
​
        System.out.println("删除atguigu元素后:");
        my.delete("atguigu");
        System.out.println("元素个数:" + my.size());
        for (String s : my) {
            System.out.println(s);
        }
​
        System.out.println("删除null元素后:");
        my.delete(null);
        System.out.println("元素个数:" + my.size());
        for (String s : my) {
            System.out.println(s);
        }
        System.out.println("------------------------------");
        System.out.println("替换[3]位置的元素为尚硅谷后:");
        my.update(3, "尚硅谷");
        System.out.println("元素个数:" + my.size());
        for (String s : my) {
            System.out.println(s);
        }
​
        System.out.println("替换java为JAVA后:");
        my.update("java", "JAVA");
        System.out.println("元素个数:" + my.size());
        for (String s : my) {
            System.out.println(s);
        }
        System.out.println("------------------------------------");
        System.out.println("是否包含java:" +my.contains("java"));
        System.out.println("java的位置:" + my.indexOf("java"));
        System.out.println("haha的位置:" + my.indexOf("haha"));
        System.out.println("[0]位置元素是:" + my.get(0));
​
        System.out.println("------------------------------------");
        System.out.println("删除字符串长度>4的元素后:");
        Iterator<String> iterator = my.iterator();
        while(iterator.hasNext()) {
            String next = iterator.next();
            if(next != null && next.length()>4) {
                iterator.remove();
            }
        }
        System.out.println("元素个数:" + my.size());
        for (String string : my) {
            System.out.println(string);
        }
    }
}

3、Java核心类库中的动态数组

Java的List接口的实现类中有两个动态数组的实现:Vector和ArrayList。

(1)ArrayList与Vector的区别?

它们的底层物理结构都是数组,我们称为动态数组。

  • ArrayList是新版的动态数组,线程不安全,效率高,Vector是旧版的动态数组,线程安全,效率低。

  • 动态数组的扩容机制不同,ArrayList扩容为原来的1.5倍,Vector扩容增加为原来的2倍。

  • 数组的初始化容量,如果在构建ArrayList与Vector的集合对象时,没有显式指定初始化容量,那么Vector的内部数组的初始容量默认为10,而ArrayList在JDK1.6及之前的版本也是10,JDK1.7之后的版本ArrayList初始化为长度为0的空数组,之后在添加第一个元素时,再创建长度为10的数组。

    • 用的时候,再创建数组,避免浪费。因为很多方法的返回值是ArrayList类型,需要返回一个ArrayList的对象,例如:后期从数据库查询对象的方法,返回值很多就是ArrayList。有可能你要查询的数据不存在,要么返回null,要么返回一个没有元素的ArrayList对象。
  • Vector因为版本古老,支持Enumeration 迭代器。但是该迭代器不支持快速失败。而Iterator和ListIterator迭代器支持快速失败。如果在迭代器创建后的任意时间从结构上修改了向量(通过迭代器自身的 remove 或 add 方法之外的任何其他方式),则迭代器将抛出 ConcurrentModificationException。因此,面对并发的修改,迭代器很快就完全失败,而不是冒着在将来不确定的时间任意发生不确定行为的风险。

(2)Vector部分源码分析
    public Vector() {
        this(10);//指定初始容量initialCapacity为10
    }
    public Vector(int initialCapacity) {
        this(initialCapacity, 0);//指定capacityIncrement增量为0
    }
    public Vector(int initialCapacity, int capacityIncrement增量为0) {
        super();
        //判断了形参初始容量initialCapacity的合法性
        if (initialCapacity < 0)
            throw new IllegalArgumentException("Illegal Capacity: "+
                                               initialCapacity);
        //创建了一个Object[]类型的数组
        this.elementData = new Object[initialCapacity];//默认是10
        //增量,默认是0,如果是0,后面就按照2倍增加,如果不是0,后面就按照你指定的增量进行增量
        this.capacityIncrement = capacityIncrement;
    }
//synchronized意味着线程安全的   
    public synchronized boolean add(E e) {
        modCount++;
        //看是否需要扩容
        ensureCapacityHelper(elementCount + 1);
        //把新的元素存入[elementCount],存入后,elementCount元素的个数增1
        elementData[elementCount++] = e;
        return true;
    }
​
    private void ensureCapacityHelper(int minCapacity) {
        // overflow-conscious code
        //看是否超过了当前数组的容量
        if (minCapacity - elementData.length > 0)
            grow(minCapacity);//扩容
    }
    private void grow(int minCapacity) {
        // overflow-conscious code
        int oldCapacity = elementData.length;//获取目前数组的长度
        //如果capacityIncrement增量是0,新容量 = oldCapacity的2倍
        //如果capacityIncrement增量是不是0,新容量 = oldCapacity + capacityIncrement增量;
        int newCapacity = oldCapacity + ((capacityIncrement > 0) ?
                                         capacityIncrement : oldCapacity);
        
        //如果按照上面计算的新容量还不够,就按照你指定的需要的最小容量来扩容minCapacity
        if (newCapacity - minCapacity < 0)
            newCapacity = minCapacity;
        
        //如果新容量超过了最大数组限制,那么单独处理
        if (newCapacity - MAX_ARRAY_SIZE > 0)
            newCapacity = hugeCapacity(minCapacity);
        
        //把旧数组中的数据复制到新数组中,新数组的长度为newCapacity
        elementData = Arrays.copyOf(elementData, newCapacity);
    }
    public boolean remove(Object o) {
        return removeElement(o);
    }
    public synchronized boolean removeElement(Object obj) {
        modCount++;
        //查找obj在当前Vector中的下标
        int i = indexOf(obj);
        //如果i>=0,说明存在,删除[i]位置的元素
        if (i >= 0) {
            removeElementAt(i);
            return true;
        }
        return false;
    }
    public int indexOf(Object o) {
        return indexOf(o, 0);
    }
    public synchronized int indexOf(Object o, int index) {
        if (o == null) {//要查找的元素是null值
            for (int i = index ; i < elementCount ; i++)
                if (elementData[i]==null)//如果是null值,用==null判断
                    return i;
        } else {//要查找的元素是非null值
            for (int i = index ; i < elementCount ; i++)
                if (o.equals(elementData[i]))//如果是非null值,用equals判断
                    return i;
        }
        return -1;
    }
    public synchronized void removeElementAt(int index) {
        modCount++;
        //判断下标的合法性
        if (index >= elementCount) {
            throw new ArrayIndexOutOfBoundsException(index + " >= " +
                                                     elementCount);
        }
        else if (index < 0) {
            throw new ArrayIndexOutOfBoundsException(index);
        }
        
        //j是要移动的元素的个数
        int j = elementCount - index - 1;
        //如果需要移动元素,就调用System.arraycopy进行移动
        if (j > 0) {
            //把index+1位置以及后面的元素往前移动
            //index+1的位置的元素移动到index位置,依次类推
            //一共移动j个
            System.arraycopy(elementData, index + 1, elementData, index, j);
        }
        //元素的总个数减少
        elementCount--;
        //将elementData[elementCount]这个位置置空,用来添加新元素,位置的元素等着被GC回收
        elementData[elementCount] = null; /* to let gc do its work */
    }
(3)ArrayList部分源码分析

JDK1.6:

    public ArrayList() {
		this(10);//指定初始容量为10
    }
    public ArrayList(int initialCapacity) {
		super();
        //检查初始容量的合法性
        if (initialCapacity < 0)
            throw new IllegalArgumentException("Illegal Capacity: "+
                                               initialCapacity);
        //数组初始化为长度为initialCapacity的数组
		this.elementData = new Object[initialCapacity];
    }

JDK1.7

    private static final int DEFAULT_CAPACITY = 10;//默认初始容量10
    private static final Object[] EMPTY_ELEMENTDATA = {};
    public ArrayList() {
        super();
        this.elementData = EMPTY_ELEMENTDATA;//数组初始化为一个空数组
    }
    public boolean add(E e) {
        //查看当前数组是否够多存一个元素
        ensureCapacityInternal(size + 1);  // Increments modCount!!
        elementData[size++] = e;
        return true;
    }
    private void ensureCapacityInternal(int minCapacity) {
        if (elementData == EMPTY_ELEMENTDATA) {//如果当前数组还是空数组
            //minCapacity按照 默认初始容量和minCapacity中的的最大值处理
            minCapacity = Math.max(DEFAULT_CAPACITY, minCapacity);
        }
        //看是否需要扩容处理
        ensureExplicitCapacity(minCapacity);
    }
    //...

JDK1.8

private static final int DEFAULT_CAPACITY = 10;
private static final Object[] EMPTY_ELEMENTDATA = {};
private static final Object[] DEFAULTCAPACITY_EMPTY_ELEMENTDATA = {};
​
    public ArrayList() {
        this.elementData = DEFAULTCAPACITY_EMPTY_ELEMENTDATA;//初始化为空数组
    }
    public boolean add(E e) {
        //查看当前数组是否够多存一个元素
        ensureCapacityInternal(size + 1);  // Increments modCount!!
        
        //存入新元素到[size]位置,然后size自增1
        elementData[size++] = e;
        return true;
    }
    private void ensureCapacityInternal(int minCapacity) {
        //如果当前数组还是空数组
        if (elementData == DEFAULTCAPACITY_EMPTY_ELEMENTDATA) {
            //那么minCapacity取DEFAULT_CAPACITY与minCapacity的最大值
            minCapacity = Math.max(DEFAULT_CAPACITY, minCapacity);
        }
        //查看是否需要扩容
        ensureExplicitCapacity(minCapacity);
    }
    private void ensureExplicitCapacity(int minCapacity) {
        modCount++;//修改次数加1
​
        // 如果需要的最小容量  比  当前数组的长度  大,即当前数组不够存,就扩容
        if (minCapacity - elementData.length > 0)
            grow(minCapacity);
    }
    private void grow(int minCapacity) {
        // overflow-conscious code
        int oldCapacity = elementData.length;//当前数组容量
        int newCapacity = oldCapacity + (oldCapacity >> 1);//新数组容量是旧数组容量的1.5倍
        //看旧数组的1.5倍是否够
        if (newCapacity - minCapacity < 0)
            newCapacity = minCapacity;
        //看旧数组的1.5倍是否超过最大数组限制
        if (newCapacity - MAX_ARRAY_SIZE > 0)
            newCapacity = hugeCapacity(minCapacity);
        
        //复制一个新数组
        elementData = Arrays.copyOf(elementData, newCapacity);
    }
    public boolean remove(Object o) {
        //先找到o在当前ArrayList的数组中的下标
        //分o是否为空两种情况讨论
        if (o == null) {
            for (int index = 0; index < size; index++)
                if (elementData[index] == null) {//null值用==比较
                    fastRemove(index);
                    return true;
                }
        } else {
            for (int index = 0; index < size; index++)
                if (o.equals(elementData[index])) {//非null值用equals比较
                    fastRemove(index);
                    return true;
                }
        }
        return false;
    }
    private void fastRemove(int index) {
        modCount++;//修改次数加1
        //需要移动的元素个数
        int numMoved = size - index - 1;
        
        //如果需要移动元素,就用System.arraycopy移动元素
        if (numMoved > 0)
            System.arraycopy(elementData, index+1, elementData, index,
                             numMoved);
        
        //将elementData[size-1]位置置空,让GC回收空间,元素个数减少
        elementData[--size] = null; // clear to let GC do its work
    }
    public E remove(int index) {
        rangeCheck(index);//检验index是否合法
​
        modCount++;//修改次数加1
        
        //取出[index]位置的元素,[index]位置的元素就是要被删除的元素,用于最后返回被删除的元素
        E oldValue = elementData(index);
        
        //需要移动的元素个数
        int numMoved = size - index - 1;
        
        //如果需要移动元素,就用System.arraycopy移动元素
        if (numMoved > 0)
            System.arraycopy(elementData, index+1, elementData, index,
                             numMoved);
        //将elementData[size-1]位置置空,让GC回收空间,元素个数减少
        elementData[--size] = null; // clear to let GC do its work
​
        return oldValue;
    }
    public E set(int index, E element) {
        rangeCheck(index);//检验index是否合法
​
        //取出[index]位置的元素,[index]位置的元素就是要被替换的元素,用于最后返回被替换的元素
        E oldValue = elementData(index);
        //用element替换[index]位置的元素
        elementData[index] = element;
        return oldValue;
    }
    public E get(int index) {
        rangeCheck(index);//检验index是否合法
​
        return elementData(index);//返回[index]位置的元素
    }
    public int indexOf(Object o) {
        //分为o是否为空两种情况
        if (o == null) {
            //从前往后找
            for (int i = 0; i < size; i++)
                if (elementData[i]==null)
                    return i;
        } else {
            for (int i = 0; i < size; i++)
                if (o.equals(elementData[i]))
                    return i;
        }
        return -1;
    }
    public int lastIndexOf(Object o) {
         //分为o是否为空两种情况
        if (o == null) {
            //从后往前找
            for (int i = size-1; i >= 0; i--)
                if (elementData[i]==null)
                    return i;
        } else {
            for (int i = size-1; i >= 0; i--)
                if (o.equals(elementData[i]))
                    return i;
        }
        return -1;
    }

13.2.6 链表

1、链表的特点

逻辑结构:线性结构

物理结构:不要求连续的存储空间

存储特点:数据必须封装到“结点”中,结点包含多个数据项,数据值只是其中的一个数据项,其他的数据项用来记录与之有关的结点的地址。

例如:以下列出几种常见的链式存储结构(当然远不止这些)

1563448858180.png

2、自定义双链表(选讲)

package com.atguigu.list;
​
import java.util.Iterator;
​
public class MyLinkedList<E> implements Iterable<E>{
    private Node first;
    private Node last;
    private int total;
​
    public void add(E e){
        Node newNode = new Node(last, e, null);
​
        if(first == null){
            first = newNode;
        }else{
            last.next = newNode;
        }
        last = newNode;
        total++;
    }
​
    public int size(){
        return total;
    }
​
    public void delete(Object obj){
        Node find = findNode(obj);
        if(find != null){
            if(find.prev != null){
                find.prev.next = find.next;
            }else{
                first = find.next;
            }
            if(find.next != null){
                find.next.prev = find.prev;
            }else{
                last = find.prev;
            }
​
            find.prev = null;
            find.next = null;
            find.data = null;
​
            total--;
        }
    }
​
    private Node findNode(Object obj){
        Node node = first;
        Node find = null;
​
        if(obj == null){
            while(node != null){
                if(node.data == null){
                    find = node;
                    break;
                }
                node = node.next;
            }
        }else{
            while(node != null){
                if(obj.equals(node.data)){
                    find = node;
                    break;
                }
                node = node.next;
            }
        }
        return find;
    }
​
    public boolean contains(Object obj){
        return findNode(obj) != null;
    }
​
    public void update(E old, E value){
        Node find = findNode(old);
        if(find != null){
            find.data = value;
        }
    }
​
    @Override
    public Iterator<E> iterator() {
        return new Itr();
    }
​
    private class Itr implements Iterator<E>{
        private Node node = first;
​
        @Override
        public boolean hasNext() {
            return node!=null;
        }
​
        @Override
        public E next() {
            E value = node.data;
            node = node.next;
            return value;
        }
    }
​
    private class Node{
        Node prev;
        E data;
        Node next;
​
        Node(Node prev, E data, Node next) {
            this.prev = prev;
            this.data = data;
            this.next = next;
        }
    }
}

自定义双链表测试:

package com.atguigu.list;
​
public class TestMyLinkedList {
    public static void main(String[] args) {
        MyLinkedList<String> my = new MyLinkedList<>();
        my.add("hello");
        my.add("world");
        my.add(null);
        my.add(null);
        my.add("java");
        my.add("java");
        my.add("atguigu");
​
        System.out.println("一共有:" + my.size());
        System.out.println("所有元素:");
        for (String s : my) {
            System.out.println(s);
        }
        System.out.println("-------------------------------------");
        System.out.println("查找java,null,haha的结果:");
        System.out.println(my.contains("java"));
        System.out.println(my.contains(null));
        System.out.println(my.contains("haha"));
​
        System.out.println("-------------------------------------");
        System.out.println("替换java,null后:");
        my.update("java","JAVA");
        my.update(null,"chai");
        System.out.println("所有元素:");
        for (String s : my) {
            System.out.println(s);
        }
        System.out.println("-------------------------------------");
        System.out.println("删除hello,JAVA,null,atguigu后:");
        my.delete("hello");
        my.delete("JAVA");
        my.delete(null);
        my.delete("atguigu");
        System.out.println("所有元素:");
        for (String s : my) {
            System.out.println(s);
        }
    }
}

3、核心类库中LinkedList源码分析

Java中有双链表的实现:LinkedList,它是List接口的实现类。

    int size = 0;
    Node<E> first;//记录第一个结点的位置
    Node<E> last;//记录最后一个结点的位置
​
    private static class Node<E> {
        E item;//元素数据
        Node<E> next;//下一个结点
        Node<E> prev;//前一个结点
​
        Node(Node<E> prev, E element, Node<E> next) {
            this.item = element;
            this.next = next;
            this.prev = prev;
        }
    }
    public boolean add(E e) {
        linkLast(e);//默认把新元素链接到链表尾部
        return true;
    }
    void linkLast(E e) {
        final Node<E> l = last;//用l 记录原来的最后一个结点
        
        //创建新结点
        final Node<E> newNode = new Node<>(l, e, null);
        //现在的新结点是最后一个结点了
        last = newNode;
        
        //如果l==null,说明原来的链表是空的
        if (l == null)
            //那么新结点同时也是第一个结点
            first = newNode;
        else
            //否则把新结点链接到原来的最后一个结点的next中
            l.next = newNode;
        //元素个数增加
        size++;
        //修改次数增加
        modCount++;
    }
​
    public void add(int index, E element) {
        checkPositionIndex(index);//检查index范围
​
        if (index == size)//如果index==size,连接到当前链表的尾部
            linkLast(element);
        else
            linkBefore(element, node(index));
    }
​
    Node<E> node(int index) {
        // assert isElementIndex(index);
​
        //如果index<size/2,就从前往后找目标结点
        if (index < (size >> 1)) {
            Node<E> x = first;
            for (int i = 0; i < index; i++)
                x = x.next;
            return x;
        } else {//否则从后往前找目标结点
            Node<E> x = last;
            for (int i = size - 1; i > index; i--)
                x = x.prev;
            return x;
        }
    }
​
    //把新结点插入到[index]位置的结点succ前面
    void linkBefore(E e, Node<E> succ) {//succ是[index]位置对应的结点
        // assert succ != null;
        final Node<E> pred = succ.prev; //[index]位置的前一个结点
        
        //新结点的prev是原来[index]位置的前一个结点
        //新结点的next是原来[index]位置的结点
        final Node<E> newNode = new Node<>(pred, e, succ);
        
        //[index]位置对应的结点的prev指向新结点
        succ.prev = newNode;
        
        //如果原来[index]位置对应的结点是第一个结点,那么现在新结点是第一个结点
        if (pred == null)
            first = newNode;
        else
            pred.next = newNode;//原来[index]位置的前一个结点的next指向新结点
        size++;
        modCount++;
    }
    public boolean remove(Object o) {
        //分o是否为空两种情况
        if (o == null) {
            //找到o对应的结点x
            for (Node<E> x = first; x != null; x = x.next) {
                if (x.item == null) {
                    unlink(x);//删除x结点
                    return true;
                }
            }
        } else {
            //找到o对应的结点x
            for (Node<E> x = first; x != null; x = x.next) {
                if (o.equals(x.item)) {
                    unlink(x);//删除x结点
                    return true;
                }
            }
        }
        return false;
    }
    E unlink(Node<E> x) {//x是要被删除的结点
        // assert x != null;
        final E element = x.item;//被删除结点的数据
        final Node<E> next = x.next;//被删除结点的下一个结点
        final Node<E> prev = x.prev;//被删除结点的上一个结点
​
        //如果被删除结点的前面没有结点,说明被删除结点是第一个结点
        if (prev == null) {
            //那么被删除结点的下一个结点变为第一个结点
            first = next;
        } else {//被删除结点不是第一个结点
            //被删除结点的上一个结点的next指向被删除结点的下一个结点
            prev.next = next;
            //断开被删除结点与上一个结点的链接
            x.prev = null;//使得GC回收
        }
​
        //如果被删除结点的后面没有结点,说明被删除结点是最后一个结点
        if (next == null) {
            //那么被删除结点的上一个结点变为最后一个结点
            last = prev;
        } else {//被删除结点不是最后一个结点
            //被删除结点的下一个结点的prev执行被删除结点的上一个结点
            next.prev = prev;
            //断开被删除结点与下一个结点的连接
            x.next = null;//使得GC回收
        }
        //把被删除结点的数据也置空,使得GC回收
        x.item = null;
        //元素个数减少
        size--;
        //修改次数增加
        modCount++;
        //返回被删除结点的数据
        return element;
    }

4、自定义单链表(选讲)

package com.atguigu.list;
​
import java.util.Iterator;
​
public class MyOneWayLinkedList<E>  implements Iterable<E>{
    private Node head;
    private int total;
​
    public void add(E e){
        Node newNode = new Node(e, null);
        if(head == null){
            head = newNode;
        }else{
            Node node = head;
            while(node.next!=null){
                node = node.next;
            }
            node.next = newNode;
        }
        total++;
    }
​
    private Node[] findNodes(Object obj){
        Node[] result = new MyOneWayLinkedList.Node[2];
        Node node = head;
        Node find = null;
        Node beforeFind = null;
​
        if(obj == null){
            while(node != null){
                if(node.data == null){
                    find = node;
                    break;
                }
                beforeFind = node;
                node = node.next;
            }
​
        }else{
            while(node != null){
                if(obj.equals(node.data)){
                    find = node;
                    break;
                }
                beforeFind = node;
                node = node.next;
            }
        }
        result[0] = beforeFind;
        result[1] = find;
        return result;
    }
​
    public void delete(Object obj){
        Node[] nodes = findNodes(obj);
        Node beforeFind = nodes[0];
        Node find = nodes[1];
        if(find != null){
            if(beforeFind == null){
                head = find.next;
            }else {
                beforeFind.next = find.next;
            }
            total--;
        }
    }
​
    private Node findNode(Object obj){
        return findNodes(obj)[1];
    }
​
    public boolean contains(Object obj){
        return findNode(obj) != null;
    }
​
    public void update(E old, E value) {
        Node find = findNode(old);
        if(find != null){
            find.data = value;
        }
    }
​
    public int size() {
        return total;
    }
​
    @Override
    public Iterator<E> iterator() {
        return new Itr();
    }
​
    private class Itr implements Iterator<E>{
        private Node node = head;
​
        @Override
        public boolean hasNext() {
            return node != null;
        }
​
        @Override
        public E next() {
            E value = node.data;
            node = node.next;
            return value;
        }
    }
​
​
    private class Node{
        E data;
        Node next;
​
        Node(E data, Node next) {
            this.data = data;
            this.next = next;
        }
    }
}
package com.atguigu.list;
​
public class TestMyOneWayLinkedList{
    public static void main(String[] args) {
        MyOneWayLinkedList<String> my = new MyOneWayLinkedList<>();
        my.add("hello");
        my.add("world");
        my.add(null);
        my.add(null);
        my.add("java");
        my.add("java");
        my.add("atguigu");
​
        System.out.println("一共有:" + my.size());
        System.out.println("所有元素:");
        for (String s : my) {
            System.out.println(s);
        }
        System.out.println("-------------------------------------");
        System.out.println("查找java,null,haha的结果:");
        System.out.println(my.contains("java"));
        System.out.println(my.contains(null));
        System.out.println(my.contains("haha"));
        System.out.println("-------------------------------------");
        System.out.println("替换java,null后:");
        my.update("java","JAVA");
        my.update(null,"chai");
        System.out.println("所有元素:");
        for (String s : my) {
            System.out.println(s);
        }
        System.out.println("-------------------------------------");
        System.out.println("删除hello,JAVA,null,atguigu后:");
        my.delete("hello");
        my.delete("JAVA");
        my.delete(null);
        my.delete("atguigu");
        System.out.println("所有元素:");
        for (String s : my) {
            System.out.println(s);
        }
    }
}

5、链表与动态数组的区别

动态数组底层的物理结构是数组,因此根据索引访问的效率非常高。但是非末尾位置的插入和删除效率不高,因为涉及到移动元素。另外添加操作时涉及到扩容问题,就会增加时空消耗。

链表底层的物理结构是链表,因此根据索引访问的效率不高,但是插入和删除不需要移动元素,只需要修改前后元素的指向关系即可,而且链表的添加不会涉及到扩容问题。

13.2.7 栈

堆栈是一种先进后出(FILO:first in last out)或后进先出(LIFO:last in first out)的结构。

栈只是逻辑结构,其物理结构可以是数组,也可以是链表,即栈结构分为顺序栈和链式栈。

核心类库中的栈结构有Stack和LinkdeList。Stack就是顺序栈,它是Vector的子类。LinkedList是链式栈。

体现栈结构的操作方法:

  • peek()方法:查看栈顶元素,不弹出
  • pop()方法:弹出栈
  • push(E e)方法:压入栈
package com.atguigu.list;
​
import org.junit.Test;
​
import java.util.LinkedList;
import java.util.Stack;
​
public class TestStack {
    @Test
    public void test1(){
        Stack<Integer> list = new Stack<>();
        list.push(1);
        list.push(2);
        list.push(3);
​
        System.out.println("list = " + list);
​
        System.out.println("list.peek()=" + list.peek());
        System.out.println("list.peek()=" + list.peek());
        System.out.println("list.peek()=" + list.peek());
​
/*
        System.out.println("list.pop() =" + list.pop());
        System.out.println("list.pop() =" + list.pop());
        System.out.println("list.pop() =" + list.pop());
        System.out.println("list.pop() =" + list.pop());//java.util.NoSuchElementException
*/while(!list.empty()){
            System.out.println("list.pop() =" + list.pop());
        }
    }
​
    @Test
    public void test2(){
        LinkedList<Integer> list = new LinkedList<>();
        list.push(1);
        list.push(2);
        list.push(3);
​
        System.out.println("list = " + list);
​
        System.out.println("list.peek()=" + list.peek());
        System.out.println("list.peek()=" + list.peek());
        System.out.println("list.peek()=" + list.peek());
​
/*
        System.out.println("list.pop() =" + list.pop());
        System.out.println("list.pop() =" + list.pop());
        System.out.println("list.pop() =" + list.pop());
        System.out.println("list.pop() =" + list.pop());//java.util.NoSuchElementException
*/
​
        while(!list.isEmpty()){
            System.out.println("list.pop() =" + list.pop());
        }
    }
}

13.3 队列

队列(Queue)是一种(但并非一定)先进先出(FIFO)的结构。

队列是逻辑结构,其物理结构可以是数组,也可以是链表。队列有普通队列、双端队列、并发队列等等,核心类库中的队列实现类有很多(后面会学到很多),LinkdeList是双端队列的实现类。

==Queue==除了基本的 Collection操作外,==队列==还提供其他的插入、提取和检查操作。每个方法都存在两种形式:一种抛出异常(操作失败时),另一种返回一个特殊值(nullfalse,具体取决于操作)。Queue 实现通常不允许插入 元素,尽管某些实现(如 )并不禁止插入 。即使在允许 null 的实现中,也不应该将 插入到 中,因为 也用作 方法的一个特殊返回值,表明队列不包含元素。

抛出异常返回特殊值
插入add(e)offer(e)
移除remove()poll()
检查element()peek()

==Deque==,名称 deque 是“double ended queue==(双端队列)==”的缩写,通常读为“deck”。此接口定义在双端队列两端访问元素的方法。提供插入、移除和检查元素的方法。每种方法都存在两种形式:一种形式在操作失败时抛出异常,另一种形式返回一个特殊值(nullfalse,具体取决于操作)。Deque接口的实现类有ArrayDeque和LinkedList,它们一个底层是使用数组实现,一个使用双向链表实现。

第一个元素(头部)最后一个元素(尾部)
抛出异常特殊值抛出异常特殊值
插入addFirst(e)offerFirst(e)addLast(e)offerLast(e)
移除removeFirst()pollFirst()removeLast()pollLast()
检查getFirst()peekFirst()getLast()peekLast()

此接口扩展了 Queue接口。在将双端队列用作队列时,将得到 FIFO(先进先出)行为。将元素添加到双端队列的末尾,从双端队列的开头移除元素。从 Queue 接口继承的方法完全等效于 Deque 方法,如下表所示:

Queue 方法等效 Deque 方法
add(e)addLast(e)
offer(e)offerLast(e)
remove()removeFirst()
poll()pollFirst()
element()getFirst()
peek()peekFirst()

双端队列也可用作 LIFO(后进先出)堆栈。应优先使用此接口而不是遗留 Stack 类。在将双端队列用作堆栈时,元素被推入双端队列的开头并从双端队列开头弹出。堆栈方法完全等效于 Deque 方法,如下表所示:

堆栈方法等效 Deque 方法
push(e)addFirst(e)
pop()removeFirst()
peek()peekFirst()

结论:Deque接口的实现类既可以用作FILO堆栈使用,又可以用作FIFO队列使用。

package com.atguigu.queue;

import java.util.LinkedList;

public class TestQueue {
    public static void main(String[] args) {
        LinkedList<String> list = new LinkedList<>();
        list.addLast("张三");
        list.addLast("李四");
        list.addLast("王五");
        list.addLast("赵六");

        while (!list.isEmpty()){
            System.out.println("list.removeFirst()=" + list.removeFirst());
        }
    }
}

13.4 Set集合

Set接口是Collection的子接口,set接口没有提供额外的方法。但是比Collection接口更加严格了。

Set 集合不允许包含相同的元素,如果试把两个相同的元素加入同一个 Set 集合中,则添加操作失败。

Set集合支持的遍历方式和Collection集合一样:foreach和Iterator。

Set的常用实现类有:HashSet、TreeSet、LinkedHashSet。

13.4.1 HashSet

HashSet 是 Set 接口的典型实现,大多数时候使用 Set 集合时都使用这个实现类。

java.util.HashSet底层的实现其实是一个java.util.HashMap支持,然后HashMap的底层物理实现是一个Hash表。(什么是哈希表,下一节在HashMap小节在细讲,这里先不展开)

HashSet 按 Hash 算法来存储集合中的元素,因此具有很好的存取和查找性能。HashSet 集合判断两个元素相等的标准:两个对象通过 hashCode() 方法比较相等,并且两个对象的 equals() 方法返回值也相等。因此,存储到HashSet的元素要重写hashCode和equals方法。

package com.atguigu.set;
​
import java.util.Objects;
​
public class MyDate {
    private int year;
    private int month;
    private int day;
​
    public MyDate(int year, int month, int day) {
        this.year = year;
        this.month = month;
        this.day = day;
    }
​
    @Override
    public boolean equals(Object o) {
        if (this == o) return true;
        if (o == null || getClass() != o.getClass()) return false;
        MyDate myDate = (MyDate) o;
        return year == myDate.year &&
                month == myDate.month &&
                day == myDate.day;
    }
​
    @Override
    public int hashCode() {
        return Objects.hash(year, month, day);
    }
​
    @Override
    public String toString() {
        return "MyDate{" +
                "year=" + year +
                ", month=" + month +
                ", day=" + day +
                '}';
    }
}
package com.atguigu.set;
​
import org.junit.Test;
​
import java.util.HashSet;
​
public class TestHashSet {
    @Test
    public void test01(){
        HashSet<String> set = new HashSet<>();
        set.add("张三");
        set.add("张三");
        set.add("李四");
        set.add("王五");
        set.add("王五");
        set.add("赵六");
​
        System.out.println("set = " + set);//不允许重复,无序
    }
​
    @Test
    public void test02(){
        HashSet<MyDate> set = new HashSet<>();
        set.add(new MyDate(2021,1,1));
        set.add(new MyDate(2021,1,1));
        set.add(new MyDate(2022,2,4));
        set.add(new MyDate(2022,2,4));
​
​
        System.out.println("set = " + set);//不允许重复,无序
    }
}

13.4.2 LinkedHashSet

LinkedHashSet是HashSet的子类,它在HashSet的基础上,在结点中增加两个属性before和after维护了结点的前后添加顺序。java.util.LinkedHashSet,它是链表和哈希表组合的一个数据存储结构。LinkedHashSet插入性能略低于 HashSet,但在迭代访问 Set 里的全部元素时有很好的性能。

package com.atguigu.set;
​
import org.junit.Test;
​
import java.util.LinkedHashSet;
​
public class TestLinkedHashSet {
    @Test
    public void test01(){
        LinkedHashSet<String> set = new LinkedHashSet<>();
        set.add("张三");
        set.add("张三");
        set.add("李四");
        set.add("王五");
        set.add("王五");
        set.add("赵六");
​
        System.out.println("set = " + set);//不允许重复,体现添加顺序
    }
}

13.4.3 TreeSet

TreeSet里面维护了一个TreeMap,底层是基于红黑树实现的!

TreeSet特点:

  • 不允许重复
  • 实现排序:自然排序或定制排序

如何实现去重的?

如果使用的是自然排序,则通过调用实现的compareTo方法
如果使用的是定制排序,则通过调用比较器的compare方法

如何排序?

方式一:自然排序
让待添加的元素类型实现Comparable接口,并重写compareTo方法
​
方式二:定制排序
创建Set对象时,指定Comparator比较器接口,并实现compare方法

示例代码:

package com.atguigu.set;
​
import org.junit.Test;
​
import java.text.Collator;
import java.util.Arrays;
import java.util.Locale;
import java.util.TreeSet;
​
public class TestTreeSet {
    @Test
    public void test01(){
        TreeSet<String> set = new TreeSet<>();
        set.add("张三");
        set.add("张三");
        set.add("张飞");
        set.add("李四");
        set.add("王五");
        set.add("王五");
        set.add("赵六");
​
        System.out.println("set = " + set);
        //不允许重复,体现大小顺序,String对象自然排序是依据Unicode编码值大小
        for (String s : set) {
            char[] chars = s.toCharArray();
            int[] codes = new int[chars.length];
            for (int i = 0; i < codes.length; i++) {
                codes[i] = chars[i];
            }
            System.out.println(s + ":" + Arrays.toString(codes));
        }
    }
​
    @Test
    public void test02(){
        //Collator.getInstance(Locale.CHINA)是Comparator接口的实现类对象
        //String对象将按照字典顺序排列
        TreeSet<String> set = new TreeSet<>(Collator.getInstance(Locale.CHINA));
        set.add("张三");
        set.add("张三");
        set.add("张飞");
        set.add("李四");
        set.add("王五");
        set.add("王五");
        set.add("赵六");
​
        System.out.println("set = " + set);
        //不允许重复,体现大小顺序
    }
}

13.5 Collection系列的集合框架图

1563547137571.png

13.6 Map

13.6.1 概述

现实生活中,我们常会看到这样的一种集合:IP地址与主机名,身份证号与个人,系统用户名与系统用户对象等,这种一一对应的关系,就叫做映射。Java提供了专门的集合类用来存放这种对象关系的对象,即java.util.Map<K,V>接口。

我们通过查看Map接口描述,发现Map<K,V>接口下的集合与Collection<E>接口下的集合,它们存储数据的形式不同。

  • Collection中的集合,元素是孤立存在的(理解为单身),向集合中存储元素采用一个个元素的方式存储。
  • Map中的集合,元素是成对存在的(理解为夫妻)。每个元素由键与值两部分组成,通过键可以找对所对应的值。
  • Collection中的集合称为单列集合,Map中的集合称为双列集合。
  • 需要注意的是,Map中的集合不能包含重复的键,值可以重复;每个键只能对应一个值(这个值可以是单个值,也可以是个数组或集合值)。

Collection与Map.bmp

13.6.2 Map常用方法

1、添加操作

  • V put(K key,V value)
  • void putAll(Map<? extends K,? extends V> m)

2、删除

  • void clear()
  • V remove(Object key)

3、元素查询的操作

  • V get(Object key)
  • boolean containsKey(Object key)
  • boolean containsValue(Object value)
  • boolean isEmpty()

4、元视图操作的方法:

  • Set<K> keySet()
  • Collection<V> values()
  • Set<Map.Entry<K,V>> entrySet()

5、其他方法

  • int size()
package com.atguigu.map;

import java.util.HashMap;

public class TestMapMethod {
    public static void main(String[] args) {
        //创建 map对象
        HashMap<String, String> map = new HashMap<String, String>();

        //添加元素到集合
        map.put("黄晓明", "杨颖");
        map.put("文章", "马伊琍");
        map.put("文章", "姚笛");
        map.put("邓超", "孙俪");
        System.out.println(map);

        //String remove(String key)
        System.out.println(map.remove("黄晓明"));
        System.out.println(map);

        // 想要查看 黄晓明的媳妇 是谁
        System.out.println(map.get("黄晓明"));
        System.out.println(map.get("邓超"));
    }
}

tips:

使用put方法时,若指定的键(key)在集合中没有,则没有这个键对应的值,返回null,并把指定的键值添加到集合中;

若指定的键(key)在集合中存在,则返回值为集合中键对应的值(该值为替换前的值),并把指定键所对应的值,替换成指定的新值。

13.6.3 Map集合的遍历

Collection集合的遍历:(1)foreach(2)通过Iterator对象遍历

Map的遍历,不能支持foreach,因为Map接口没有继承java.lang.Iterable<T>接口,也没有实现Iterator iterator()方法。只能用如下方式遍历:

(1)分开遍历:

  • 单独遍历所有key
  • 单独遍历所有value

(2)成对遍历:

  • 遍历的是映射关系Map.Entry类型的对象,Map.Entry是Map接口的内部接口。每一种Map内部有自己的Map.Entry的实现类。在Map中存储数据,实际上是将Key---->value的数据存储在Map.Entry接口的实例中,再在Map集合中插入Map.Entry的实例化对象,如图示:

1563725601891.png

package com.atguigu.map;

import java.util.Collection;
import java.util.HashMap;
import java.util.Map;
import java.util.Set;

public class TestMapIterate {
    public static void main(String[] args) {
        HashMap<String,String> map = new HashMap<>();
        map.put("许仙", "白娘子");
        map.put("董永", "七仙女");
        map.put("牛郎", "织女");
        map.put("许仙", "小青");

        System.out.println("所有的key:");
        Set<String> keySet = map.keySet();
        for (String key : keySet) {
            System.out.println(key);
        }

        System.out.println("所有的value:");
        Collection<String> values = map.values();
        for (String value : values) {
            System.out.println(value);
        }

        System.out.println("所有的映射关系");
        Set<Map.Entry<String,String>> entrySet = map.entrySet();
        for (Map.Entry<String,String> entry : entrySet) {
//			System.out.println(entry);
            System.out.println(entry.getKey()+"->"+entry.getValue());
        }
    }
}

13.6.4 Map的实现类们

Map接口的常用实现类:HashMap、TreeMap、LinkedHashMap和Properties。其中HashMap是 Map 接口使用频率最高的实现类。

1、HashMap和Hashtable

HashMap和Hashtable都是哈希表。HashMap和Hashtable判断两个 key 相等的标准是:两个 key 的hashCode 值相等,并且 equals() 方法也返回 true。因此,为了成功地在哈希表中存储和获取对象,用作键的对象必须实现 hashCode 方法和 equals 方法。

  • Hashtable是线程安全的,任何非 null 对象都可以用作键或值。
  • HashMap是线程不安全的,并允许使用 null 值和 null 键。

示例代码:添加员工姓名为key,薪资为value

package com.atguigu.map;
​
import org.junit.Test;
​
import java.util.HashMap;
import java.util.Hashtable;
import java.util.Map;
import java.util.Set;
​
public class TestHashMap {
    @Test
    public void test01(){
        HashMap<String,Double> map = new HashMap<>();
        map.put("张三", 10000.0);
        //key相同,新的value会覆盖原来的value
        //因为String重写了hashCode和equals方法
        map.put("张三", 12000.0);
        map.put("李四", 14000.0);
        //HashMap支持key和value为null值
        String name = null;
        Double salary = null;
        map.put(name, salary);
​
        Set<Map.Entry<String, Double>> entrySet = map.entrySet();
        for (Map.Entry<String, Double> entry : entrySet) {
            System.out.println(entry);
        }
    }
​
    @Test
    public void test02(){
        Hashtable<String,Double> map = new Hashtable<>();
        map.put("张三", 10000.0);
        //key相同,新的value会覆盖原来的value
        //因为String重写了hashCode和equals方法
        map.put("张三", 12000.0);
        map.put("李四", 14000.0);
        //Hashtable不支持key和value为null值
        /*String name = null;
        Double salary = null;
        map.put(name, salary);*/
​
        Set<Map.Entry<String, Double>> entrySet = map.entrySet();
        for (Map.Entry<String, Double> entry : entrySet) {
            System.out.println(entry);
        }
    }
}

2、LinkedHashMap

LinkedHashMap 是 HashMap 的子类。此实现与 HashMap 的不同之处在于,后者维护着一个运行于所有条目的双重链接列表。此链接列表定义了迭代顺序,该迭代顺序通常就是将键插入到映射中的顺序(插入顺序)。

示例代码:添加员工姓名为key,薪资为value

package com.atguigu.map;
​
import java.util.LinkedHashMap;
import java.util.Map;
import java.util.Set;
​
public class TestLinkedHashMap {
    public static void main(String[] args) {
        LinkedHashMap<String,Double> map = new LinkedHashMap<>();
        map.put("张三", 10000.0);
        //key相同,新的value会覆盖原来的value
        //因为String重写了hashCode和equals方法
        map.put("张三", 12000.0);
        map.put("李四", 14000.0);
        //HashMap支持key和value为null值
        String name = null;
        Double salary = null;
        map.put(name, salary);
​
        Set<Map.Entry<String, Double>> entrySet = map.entrySet();
        for (Map.Entry<String, Double> entry : entrySet) {
            System.out.println(entry);
        }
    }
}

3、TreeMap

基于红黑树(Red-Black tree)的 NavigableMap 实现。该映射根据其键的自然顺序进行排序,或者根据创建映射时提供的 Comparator 进行排序,具体取决于使用的构造方法。

代码示例:添加员工姓名为key,薪资为value

package com.atguigu.map;
​
import java.util.Comparator;
import java.util.Map.Entry;
import java.util.Set;
import java.util.TreeMap;
​
import org.junit.Test;
​
public class TestTreeMap {
    @Test
    public void test1() {
        TreeMap<String,Integer> map = new TreeMap<>();
        map.put("Jack", 11000);
        map.put("Alice", 12000);
        map.put("zhangsan", 13000);
        map.put("baitao", 14000);
        map.put("Lucy", 15000);
        
        //String实现了Comparable接口,默认按照Unicode编码值排序
        Set<Entry<String, Integer>> entrySet = map.entrySet();
        for (Entry<String, Integer> entry : entrySet) {
            System.out.println(entry);
        }
    }
    @Test
    public void test2() {
        //指定定制比较器Comparator,按照Unicode编码值排序,但是忽略大小写
        TreeMap<String,Integer> map = new TreeMap<>(new Comparator<String>() {
​
            @Override
            public int compare(String o1, String o2) {
                return o1.compareToIgnoreCase(o2);
            }
        });
        map.put("Jack", 11000);
        map.put("Alice", 12000);
        map.put("zhangsan", 13000);
        map.put("baitao", 14000);
        map.put("Lucy", 15000);
        
        Set<Entry<String, Integer>> entrySet = map.entrySet();
        for (Entry<String, Integer> entry : entrySet) {
            System.out.println(entry);
        }
    }
}

4、Properties

Properties 类是 Hashtable 的子类,Properties 可保存在流中或从流中加载。属性列表中每个键及其对应值都是一个字符串。

存取数据时,建议使用setProperty(String key,String value)方法和getProperty(String key)方法。

代码示例:

package com.atguigu.map;

import org.junit.Test;

import java.util.Properties;

public class TestProperties {
    @Test
    public void test01() {
        Properties properties = System.getProperties();
        String fileEncoding = properties.getProperty("file.encoding");//当前源文件字符编码
        System.out.println("fileEncoding = " + fileEncoding);
    }
    @Test
    public void test02() {
        Properties properties = new Properties();
        properties.setProperty("user","chai");
        properties.setProperty("password","123456");
        System.out.println(properties);
    }

}

13.6.5 Set集合与Map集合的关系

Set的内部实现其实是一个Map。即HashSet的内部实现是一个HashMap,TreeSet的内部实现是一个TreeMap,LinkedHashSet的内部实现是一个LinkedHashMap。

部分源代码摘要:

HashSet源码:

    public HashSet() {
        map = new HashMap<>();
    }

    public HashSet(Collection<? extends E> c) {
        map = new HashMap<>(Math.max((int) (c.size()/.75f) + 1, 16));
        addAll(c);
    }

    public HashSet(int initialCapacity, float loadFactor) {
        map = new HashMap<>(initialCapacity, loadFactor);
    }

    public HashSet(int initialCapacity) {
        map = new HashMap<>(initialCapacity);
    }

	//这个构造器是给子类LinkedHashSet调用的
    HashSet(int initialCapacity, float loadFactor, boolean dummy) {
        map = new LinkedHashMap<>(initialCapacity, loadFactor);
    }

LinkedHashSet源码:

    public LinkedHashSet(int initialCapacity, float loadFactor) {
        super(initialCapacity, loadFactor, true);//调用HashSet的某个构造器
    }

    public LinkedHashSet(int initialCapacity) {
        super(initialCapacity, .75f, true);//调用HashSet的某个构造器
    }

    public LinkedHashSet() {
        super(16, .75f, true);
    }

    public LinkedHashSet(Collection<? extends E> c) {
        super(Math.max(2*c.size(), 11), .75f, true);//调用HashSet的某个构造器
        addAll(c);
    }

TreeSet源码:

    public TreeSet() {
        this(new TreeMap<E,Object>());
    }
​
    public TreeSet(Comparator<? super E> comparator) {
        this(new TreeMap<>(comparator));
    }
​
    public TreeSet(Collection<? extends E> c) {
        this();
        addAll(c);
    }
​
    public TreeSet(SortedSet<E> s) {
        this(s.comparator());
        addAll(s);
    }

但是,咱们存到Set中只有一个元素,又是怎么变成(key,value)的呢?

以HashSet中的源码为例:

private static final Object PRESENT = new Object();
public boolean add(E e) {
    return map.put(e, PRESENT)==null;
}
public Iterator<E> iterator() {
    return map.keySet().iterator();
}

原来是,把添加到Set中的元素作为内部实现map的key,然后用一个常量对象PRESENT对象,作为value。

这是因为Set的元素不可重复和Map的key不可重复有相同特点。Map有一个方法keySet()可以返回所有key。

13.7 集合框架

20200423210229.png

13.8 Collections工具类

参考操作数组的工具类:Arrays。

Collections 是一个操作 Set、List 和 Map 等集合的工具类。Collections 中提供了一系列静态的方法对集合元素进行排序、查询和修改等操作,还提供了对集合对象设置不可变、对集合对象实现同步控制等方法:

  • public static <T> boolean addAll(Collection<? super T> c,T... elements)将所有指定元素添加到指定 collection 中。
  • public static <T> int binarySearch(List<? extends Comparable<? super T>> list,T key)在List集合中查找某个元素的下标,但是List的元素必须是T或T的子类对象,而且必须是可比较大小的,即支持自然排序的。而且集合也事先必须是有序的,否则结果不确定。
  • public static <T> int binarySearch(List<? extends T> list,T key,Comparator<? super T> c)在List集合中查找某个元素的下标,但是List的元素必须是T或T的子类对象,而且集合也事先必须是按照c比较器规则进行排序过的,否则结果不确定。
  • public static <T extends Object & Comparable<? super T>> T max(Collection<? extends T> coll)在coll集合中找出最大的元素,集合中的对象必须是T或T的子类对象,而且支持自然排序
  • public static <T> T max(Collection<? extends T> coll,Comparator<? super T> comp)在coll集合中找出最大的元素,集合中的对象必须是T或T的子类对象,按照比较器comp找出最大者
  • public static void reverse(List<?> list)反转指定列表List中元素的顺序。
  • public static void shuffle(List<?> list) List 集合元素进行随机排序,类似洗牌
  • public static <T extends Comparable<? super T>> void sort(List list)根据元素的自然顺序对指定 List 集合元素按升序排序
  • public static void sort(List list,Comparator<? super T> c)根据指定的 Comparator 产生的顺序对 List 集合元素进行排序
  • public static void swap(List<?> list,int i,int j)将指定 list 集合中的 i 处元素和 j 处元素进行交换
  • public static int frequency(Collection<?> c,Object o)返回指定集合中指定元素的出现次数
  • public static <T> void copy(List<? super T> dest,List<? extends T> src)将src中的内容复制到dest中
  • public static <T> boolean replaceAll(List<T> list,T oldVal,T newVal):使用新值替换 List 对象的所有旧值
  • Collections 类中提供了多个 synchronizedXxx() 方法,该方法可使将指定集合包装成线程同步的集合,从而可以解决多线程并发访问集合时的线程安全问题
  • Collections类中提供了多个unmodifiableXxx()方法,该方法返回指定 Xxx的不可修改的视图。
package com.atguigu.collections;
​
import org.junit.Test;
​
import java.text.Collator;
import java.util.*;
​
public class TestCollections {
    @Test
    public void test11(){
        /*
        public static <T> boolean replaceAll(List<T> list,T oldVal,T newVal):使用新值替换 List 对象的所有旧值
         */
        List<String> list = new ArrayList<>();
        Collections.addAll(list,"hello","java","world","hello","hello");
​
        Collections.replaceAll(list, "hello","chai");
        System.out.println(list);
    }
​
    @Test
    public void test10(){
        List<Integer> list = new ArrayList<>();
        for(int i=1; i<=5; i++){//1-5
            list.add(i);
        }
​
        List<Integer> list2 = new ArrayList<>();
        for(int i=11; i<=13; i++){//11-13
            list2.add(i);
        }
​
        list.addAll(list2);
        System.out.println(list);//[1, 2, 3, 4, 5, 11, 12, 13]
    }
​
    @Test
    public void test09(){
        /*
         * public static <T> void copy(List<? super T> dest,List<? extends T> src)将src中的内容复制到dest中
         */
        List<Integer> list = new ArrayList<>();
        for(int i=1; i<=5; i++){//1-5
            list.add(i);
        }
​
        List<Integer> list2 = new ArrayList<>();
        for(int i=11; i<=13; i++){//11-13
            list2.add(i);
        }
​
        Collections.copy(list, list2);
        System.out.println(list);
​
        List<Integer> list3 = new ArrayList<>();
        for(int i=11; i<=20; i++){//11-20
            list3.add(i);
        }
​
        Collections.copy(list, list3);//java.lang.IndexOutOfBoundsException: Source does not fit in dest
        System.out.println(list);
​
    }
    @Test
    public void test08(){
        /*
        public static int frequency(Collection<?> c,Object o)返回指定集合中指定元素的出现次数
         */
        List<String> list = new ArrayList<>();
        Collections.addAll(list,"hello","java","world","hello","hello");
        int count = Collections.frequency(list, "hello");
        System.out.println("count = " + count);
    }
​
    @Test
    public void test07(){
        /*
        public static void swap(List<?> list,int i,int j)将指定 list 集合中的 i 处元素和 j 处元素进行交换
​
         */
        List<String> list = new ArrayList<>();
        Collections.addAll(list,"hello","java","world");
​
        Collections.swap(list,0,2);
        System.out.println(list);
    }
    @Test
    public void test06() {
        /*
         * public static <T extends Comparable<? super T>> void sort(List<T> list)根据元素的自然顺序对指定 List 集合元素按升序排序
         * public static <T> void sort(List<T> list,Comparator<? super T> c)根据指定的 Comparator 产生的顺序对 List 集合元素进行排序
         */
        List<Man> list = new ArrayList<>();
        list.add(new Man("张三",23));
        list.add(new Man("李四",24));
        list.add(new Man("王五",25));
​
        Collections.sort(list);
        System.out.println(list);
​
        Collections.sort(list, new Comparator<Man>() {
            @Override
            public int compare(Man o1, Man o2) {
                return Collator.getInstance(Locale.CHINA).compare(o1.getName(),o2.getName());
            }
        });
        System.out.println(list);
    }
​
    @Test
    public void test05(){
        /*
        public static void shuffle(List<?> list) List 集合元素进行随机排序,类似洗牌,打乱顺序
         */
        List<String> list = new ArrayList<>();
        Collections.addAll(list,"hello","java","world");
​
        Collections.shuffle(list);
        System.out.println(list);
    }
​
    @Test
    public void test04(){
        /*
        public static void reverse(List<?> list)反转指定列表List中元素的顺序。
         */
        List<String> list = new ArrayList<>();
        Collections.addAll(list,"hello","java","world");
        System.out.println(list);
​
        Collections.reverse(list);
        System.out.println(list);
    }
​
    @Test
    public void test03(){
        /*
         * public static <T extends Object & Comparable<? super T>> T max(Collection<? extends T> coll)
         *      <T extends Object & Comparable<? super T>>:要求T必须继承Object,又实现Comparable接口,或者T的父类实现Comparable接口
         *      在coll集合中找出最大的元素,集合中的对象必须是T或T的子类对象,而且支持自然排序
         * public static <T> T max(Collection<? extends T> coll,Comparator<? super T> comp)
         *      在coll集合中找出最大的元素,集合中的对象必须是T或T的子类对象,按照比较器comp找出最大者
         *
         */
        List<Man> list = new ArrayList<>();
        list.add(new Man("张三",23));
        list.add(new Man("李四",24));
        list.add(new Man("王五",25));
​
        /*Man max = Collections.max(list);//要求Man实现Comparable接口,或者父类实现
        System.out.println(max);*/
​
        Man max = Collections.max(list, new Comparator<Man>() {
            @Override
            public int compare(Man o1, Man o2) {
                return o2.getAge()-o2.getAge();
            }
        });
        System.out.println(max);
    }
​
    @Test
    public void test02(){
        /*
         * public static <T> int binarySearch(List<? extends Comparable<? super T>> list,T key)
         *      要求List集合的元素类型 实现了 Comparable接口,这个实现可以是T类型本身也可以T的父类实现这个接口。
         *      说明List中的元素支持自然排序功能。
         *      在List集合中查找某个元素的下标,但是List的元素必须是T或T的子类对象,而且必须是可比较大小的,即支持自然排序的。而且集合也事先必须是有序的,否则结果不确定。
         * public static <T> int binarySearch(List<? extends T> list,T key,Comparator<? super T> c)
         *      说明List集合中元素的类型<=T,Comparator<? super T>说明要传入一个Comparator接口的实现类对象,实现类泛型的指定要求>=T
         *      例如:List中存储的是Man(男)对象,T可以是Person类型,实现Comparator的时候可以是 Comparator<Person>
         *      例如:List中存储的是Man(男)对象,T可以是Man类型,实现Comparator的时候可以是 Comparator<Person>
         *     在List集合中查找某个元素的下标,但是List的元素必须是T或T的子类对象,而且集合也事先必须是按照c比较器规则进行排序过的,否则结果不确定。
         *
         * 二分查找要求数组或List必须是“有大小顺序”。
         * 二分查找的思路: 和[mid]元素比较,如果相同,就找到了,不相同要看大小关系,决定去左边还是右边继续查找。
         */
        List<Man> list = new ArrayList<>();
        list.add(new Man("张三",23));
        list.add(new Man("李四",24));
        list.add(new Man("王五",25));
​
//        int index = Collections.binarySearch(list, new Man("王五", 25));//要求实现Comparable接口
//        System.out.println(index);
​
        int index = Collections.binarySearch(list, new Man("王五", 25), new Comparator<Person>() {
            @Override
            public int compare(Person o1, Person o2) {
                return o1.getAge() - o2.getAge();
            }
        });
        System.out.println(index);
    }
​
    @Test
    public void test01(){
        /*
        public static <T> boolean addAll(Collection<? super T> c,T... elements)将所有指定元素添加到指定 collection 中。
        Collection的集合的元素类型必须>=T类型
         */
        Collection<Object> coll = new ArrayList<>();
        Collections.addAll(coll, "hello","java");
        Collections.addAll(coll, 1,2,3,4);
​
        Collection<String> coll2 = new ArrayList<>();
        Collections.addAll(coll2, "hello","java");
//        Collections.addAll(coll2, 1,2,3,4);//String和Integer之间没有父子类关系
    }
}
​

13.9 二叉树了解

13.9.1 二叉树的基本概念

二叉树(Binary tree)是树形结构的一个重要类型。二叉树特点是每个结点最多只能有两棵子树,且有左右之分。许多实际问题抽象出来的数据结构往往是二叉树形式,二叉树的存储结构及其算法都较为简单,因此二叉树显得特别重要。

1563449427345.png

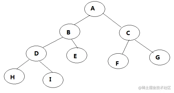
13.9.2 二叉树的遍历

  • 前序遍历:中左右(根左右)
  • 中序遍历:左中右(左根右)
  • 后序遍历:左右中(左右根)

1574575739236.png

前序遍历:ABDHIECFG

中序遍历:HDIBEAFCG

后序遍历:HIDEBFGCA

13.9.3 经典二叉树

1、满二叉树: 除最后一层无任何子节点外,每一层上的所有结点都有两个子结点的二叉树。 第n层的结点数是2的n-1次方,总的结点个数是2的n次方-1

1574575163883.png 2、完全二叉树: 叶结点只能出现在最底层的两层,且最底层叶结点均处于次底层叶结点的左侧。

1574575180247.png

3、平衡二叉树:平衡二叉树(Self-balancing binary search tree)又被称为AVL树(有别于AVL算法),且具有以下性质:它是一 棵空树或它的左右两个子树的高度差的绝对值不超过1,并且左右两个子树都是一棵平衡二叉树, 但不要求非叶节点都有两个子结点 。平衡二叉树的常用实现方法有红黑树、AVL、替罪羊树、Treap、伸展树等。例如红黑树的要求:

  • 节点是红色或者黑色
  • 根节点是黑色
  • 每个叶子的节点都是黑色的空节点(NULL)
  • 每个红色节点的两个子节点都是黑色的。
  • 从任意节点到其每个叶子的所有路径都包含相同的黑色节点数量。

当我们插入或删除节点时,可能会破坏已有的红黑树,使得它不满足以上5个要求,那么此时就需要进行处理:

1、recolor :将某个节点变红或变黑

2、rotation :将红黑树某些结点分支进行旋转(左旋或右旋)

使得它继续满足以上以上的5个要求。

红黑树.jpeg

例如:插入了结点21之后,红黑树处理成:

红黑树2.jpeg

13.9.4 二叉树及其结点的表示

普通二叉树:

public class BinaryTree<E>{
    private Node root; //二叉树的根结点
    private int total;//结点总个数
    
    private class Node{
        Node parent;
        Node left;
        E data;
        Node right;
        
        public Node(Node parent, Node left, E data, Node right) {
            this.parent = parent;
            this.left = left;
            this.data = data;
            this.right = right;
        }
    }
}

TreeMap红黑树:

public class TreeMap<K,V> {
    private transient Entry<K,V> root;
    private transient int size = 0;
    
    static final class Entry<K,V> implements Map.Entry<K,V> {
        K key;
        V value;
        Entry<K,V> left;
        Entry<K,V> right;
        Entry<K,V> parent;
        boolean color = BLACK;
​
        /**
         * Make a new cell with given key, value, and parent, and with
         * {@code null} child links, and BLACK color.
         */
        Entry(K key, V value, Entry<K,V> parent) {
            this.key = key;
            this.value = value;
            this.parent = parent;
        }
    }
}

13.10 哈希表

HashMap和Hashtable都是哈希表。

13.10.1 hashCode值

hash算法是一种可以从任何数据中提取出其“指纹”的数据摘要算法,它将任意大小的数据映射到一个固定大小的序列上,这个序列被称为hash code、数据摘要或者指纹。比较出名的hash算法有MD5、SHA。hash是具有唯一性且不可逆的,唯一性是指相同的“对象”产生的hash code永远是一样的。

1563797150134.png

13.10.2 哈希表的物理结构

HashMap和Hashtable是散列表,其中维护了一个长度为2的幂次方的Entry类型的数组table,数组的每一个元素被称为一个桶(bucket),你添加的映射关系(key,value)最终都被封装为一个Map.Entry类型的对象,放到了某个table[index]桶中。使用数组的目的是查询和添加的效率高,可以根据索引直接定位到某个table[index]。

1、数组元素类型:Map.Entry

JDK1.7:

映射关系被封装为HashMap.Entry类型,而这个类型实现了Map.Entry接口。

观察HashMap.Entry类型是个结点类型,即table[index]下的映射关系可能串起来一个链表。因此我们把table[index]称为“桶bucket"。

public class HashMap<K,V>{
    transient Entry<K,V>[] table = (Entry<K,V>[]) EMPTY_TABLE;
    static class Entry<K,V> implements Map.Entry<K,V> {
            final K key;
            V value;
            Entry<K,V> next;
            int hash;
            //...省略
    }
    //...
}

1563799072234.png

JDK1.8:

映射关系被封装为HashMap.Node类型或HashMap.TreeNode类型,它俩都直接或间接的实现了Map.Entry接口。

存储到table数组的可能是Node结点对象,也可能是TreeNode结点对象,它们也是Map.Entry接口的实现类。即table[index]下的映射关系可能串起来一个链表或一棵红黑树。

public class HashMap<K,V>{
    transient Node<K,V>[] table;
    static class Node<K,V> implements Map.Entry<K,V> {
            final int hash;
            final K key;
            V value;
            Node<K,V> next;
            //...省略
    }
    static final class TreeNode<K,V> extends LinkedHashMap.Entry<K,V> {
        TreeNode<K,V> parent;  // red-black tree links
        TreeNode<K,V> left;
        TreeNode<K,V> right;
        TreeNode<K,V> prev;
        boolean red;//是红结点还是黑结点
        //...省略
    }
    //....
}
public class LinkedHashMap<K,V>{
    static class Entry<K,V> extends HashMap.Node<K,V> {
        Entry<K,V> before, after;
        Entry(int hash, K key, V value, Node<K,V> next) {
            super(hash, key, value, next);
        }
    }
    //...
}

1563799238793.png

2、那么HashMap是如何决定某个映射关系存在哪个桶的呢?

因为hash值是一个整数,而数组的长度也是一个整数,有两种思路:

①hash 值 % table.length会得到一个[0,table.length-1]范围的值,正好是下标范围,但是用%运算效率没有位运算符&高。

②hash 值 & (table.length-1),任何数 & (table.length-1)的结果也一定在[0, table.length-1]范围。

hashCode值是   ?
table.length10
table.length-19

?   ????????
9	 00001001
&_____________
	 00000000	[0]
	 00000001	[1]
	 00001000	[8]
	 00001001	[9]
	 一定[0]~[9]
hashCode值是   ?
table.length16
table.length-115

?   ????????
15	 00001111
&_____________
	 00000000	[0]
	 00000001	[1]
	 00000010	[2]
	 00000011	[3]
	 ...
	 00001111    [15]
	 范围是[0,15],一定在[0,table.length-1]范围内

JDK1.7:

    static int indexFor(int h, int length) {
        // assert Integer.bitCount(length) == 1 : "length must be a non-zero power of 2";
        return h & (length-1); //此处h就是hash
    }

JDK1.8:

    final V putVal(int hash, K key, V value, boolean onlyIfAbsent, boolean evict) {
        Node<K,V>[] tab; Node<K,V> p; int n, i;
        if ((tab = table) == null || (n = tab.length) == 0)
            n = (tab = resize()).length;
        if ((p = tab[i = (n - 1) & hash]) == null)  // i = (n - 1) & hash
            tab[i] = newNode(hash, key, value, null);
        //....省略大量代码
}

3、数组的长度始终是2的n次幂

table数组的默认初始化长度:

static final int DEFAULT_INITIAL_CAPACITY = 1 << 4;

如果你手动指定的table长度不是2的n次幂,会通过如下方法给你纠正为2的n次幂

JDK1.7:

HashMap处理容量方法:

    private static int roundUpToPowerOf2(int number) {
        // assert number >= 0 : "number must be non-negative";
        return number >= MAXIMUM_CAPACITY
                ? MAXIMUM_CAPACITY
                : (number > 1) ? Integer.highestOneBit((number - 1) << 1) : 1;
    }

Integer包装类:

    public static int highestOneBit(int i) {
        // HD, Figure 3-1
        i |= (i >>  1);
        i |= (i >>  2);
        i |= (i >>  4);
        i |= (i >>  8);
        i |= (i >> 16);
        return i - (i >>> 1);
    }

JDK1.8:

    static final int tableSizeFor(int cap) {
        int n = cap - 1;
        n |= n >>> 1;
        n |= n >>> 2;
        n |= n >>> 4;
        n |= n >>> 8;
        n |= n >>> 16;
        return (n < 0) ? 1 : (n >= MAXIMUM_CAPACITY) ? MAXIMUM_CAPACITY : n + 1;
    }

如果数组不够了,扩容了怎么办?扩容了还是2的n次幂,因为每次数组扩容为原来的2倍

JDK1.7:

    void addEntry(int hash, K key, V value, int bucketIndex) {
        if ((size >= threshold) && (null != table[bucketIndex])) {
            resize(2 * table.length);//扩容为原来的2倍
            hash = (null != key) ? hash(key) : 0;
            bucketIndex = indexFor(hash, table.length);
        }
        createEntry(hash, key, value, bucketIndex);
    }

JDK1.8:

    final Node<K,V>[] resize() {
        Node<K,V>[] oldTab = table;
        int oldCap = (oldTab == null) ? 0 : oldTab.length;//oldCap原来的容量
        int oldThr = threshold;
        int newCap, newThr = 0;
        if (oldCap > 0) {
            if (oldCap >= MAXIMUM_CAPACITY) {
                threshold = Integer.MAX_VALUE;
                return oldTab;
            }//newCap = oldCap << 1  新容量=旧容量扩容为原来的2倍
            else if ((newCap = oldCap << 1) < MAXIMUM_CAPACITY &&
                     oldCap >= DEFAULT_INITIAL_CAPACITY)
                newThr = oldThr << 1; // double threshold
            }
        //......此处省略其他代码
    }

那么为什么要保持table数组一直是2的n次幂呢?

因为如果数组的长度为2的n次幂,那么table.length-1的二进制就是一个高位全是0,低位全是1的数字,这样才能保证每一个下标位置都有机会被用到。
    
hashCode值是   ?
table.length10
table.length-19
​
?   ????????
9    00001001
&_____________
     00000000   [0]
     00000001   [1]
     00001000   [8]
     00001001   [9]
     一定[0]~[9]
hashCode值是   ?
table.length16
table.length-115

?   ????????
15	 00001111
&_____________
	 00000000	[0]
	 00000001	[1]
	 00000010	[2]
	 00000011	[3]
	 ...
	 00001111    [15]
	 范围是[0,15],一定在[0,table.length-1]范围内

4、hash是hashCode的再运算

不管是JDK1.7还是JDK1.8中,都不是直接用key的hashCode值直接与table.length-1计算求下标的,而是先对key的hashCode值进行了一个运算,JDK1.7和JDK1.8关于hash()的实现代码不一样,但是不管怎么样都是为了提高hash code值与 (table.length-1)的按位与完的结果,尽量的均匀分布。

JDK1.7:

    final int hash(Object k) {
        int h = hashSeed;
        if (0 != h && k instanceof String) {
            return sun.misc.Hashing.stringHash32((String) k);
        }

        h ^= k.hashCode();
        h ^= (h >>> 20) ^ (h >>> 12);
        return h ^ (h >>> 7) ^ (h >>> 4);
    }

JDK1.8:

    static final int hash(Object key) {
        int h;
        return (key == null) ? 0 : (h = key.hashCode()) ^ (h >>> 16);
    }

虽然算法不同,但是思路都是将hashCode值的高位二进制与低位二进制值进行了异或,然高位二进制参与到index的计算中。

为什么要hashCode值的二进制的高位参与到index计算呢?

因为一个HashMap的table数组一般不会特别大,至少在不断扩容之前,那么table.length-1的大部分高位都是0,直接用hashCode和table.length-1进行&运算的话,就会导致总是只有最低的几位是有效的,那么就算你的hashCode()实现的再好也难以避免发生碰撞,这时让高位参与进来的意义就体现出来了。它对hashcode的低位添加了随机性并且混合了高位的部分特征,显著减少了碰撞冲突的发生。

5、解决[index]冲突问题

虽然从设计hashCode()到上面HashMap的hash()函数,都尽量减少冲突,但是仍然存在两个不同的对象返回的hashCode值相同,或者hashCode值就算不同,通过hash()函数计算后,得到的index也会存在大量的相同,因此key分布完全均匀的情况是不存在的。那么发生碰撞冲突时怎么办?

JDK1.8之间使用:数组+链表的结构。

JDK1.8之后使用:数组+链表/红黑树的结构。

即hash相同或hash&(table.lengt-1)的值相同,那么就存入同一个“桶”table[index]中,使用链表或红黑树连接起来。

1563802656661.png

1563802665708.png

6、为什么JDK1.8会出现红黑树和链表共存呢?

因为当冲突比较严重时,table[index]下面的链表就会很长,那么会导致查找效率大大降低,而如果此时选用二叉树可以大大提高查询效率。

但是二叉树的结构又过于复杂,如果结点个数比较少的时候,那么选择链表反而更简单。

所以会出现红黑树和链表共存。

7、什么时候树化?什么时候反树化?

static final int TREEIFY_THRESHOLD = 8;//树化阈值
static final int UNTREEIFY_THRESHOLD = 6;//反树化阈值
static final int MIN_TREEIFY_CAPACITY = 64;//最小树化容量
  • 当某table[index]下的链表的结点个数达到8,并且table.length>=64,那么如果新Entry对象还添加到该table[index]中,那么就会将table[index]的链表进行树化。

  • 当某table[index]下的红黑树结点个数少于6个,此时,

    • 当继续删除table[index]下的树结点,最后这个根结点的左右结点有null,或根结点的左结点的左结点为null,会反树化
    • 当重新添加新的映射关系到map中,导致了map重新扩容了,这个时候如果table[index]下面还是小于等于6的个数,那么会反树化
package com.atguigu.map;
​
public class MyKey{
    int num;
​
    public MyKey(int num) {
        super();
        this.num = num;
    }
​
    @Override
    public int hashCode() {
        if(num<=20){
            return 1;
        }else{
            final int prime = 31;
            int result = 1;
            result = prime * result + num;
            return result;
        }
    }
​
    @Override
    public boolean equals(Object obj) {
        if (this == obj)
            return true;
        if (obj == null)
            return false;
        if (getClass() != obj.getClass())
            return false;
        MyKey other = (MyKey) obj;
        if (num != other.num)
            return false;
        return true;
    }
​
}
​
package com.atguigu.map;

import org.junit.Test;

import java.util.HashMap;

public class TestHashMapMyKey {
    @Test
    public void test1(){
        //这里为了演示的效果,我们造一个特殊的类,这个类的hashCode()方法返回固定值1
        //因为这样就可以造成冲突问题,使得它们都存到table[1]中
        HashMap<MyKey, String> map = new HashMap<>();
        for (int i = 1; i <= 11; i++) {
            map.put(new MyKey(i), "value"+i);//树化演示
        }
    }
    @Test
    public void test2(){
        HashMap<MyKey, String> map = new HashMap<>();
        for (int i = 1; i <= 11; i++) {
            map.put(new MyKey(i), "value"+i);
        }
        for (int i = 1; i <=11; i++) {
            map.remove(new MyKey(i));//反树化演示
        }
    }
    @Test
    public void test3(){
        HashMap<MyKey, String> map = new HashMap<>();
        for (int i = 1; i <= 11; i++) {
            map.put(new MyKey(i), "value"+i);
        }

        for (int i = 1; i <=5; i++) {
            map.remove(new MyKey(i));
        }//table[1]下剩余6个结点

        for (int i = 21; i <= 100; i++) {
            map.put(new MyKey(i), "value"+i);//添加到扩容时,反树化
        }
    }
}

13.10.3 JDK1.7的put方法源码分析

(1)几个关键的常量和变量值的作用:

初始化容量:

int DEFAULT_INITIAL_CAPACITY = 1 << 4;//16  目的是体现2的n次方

①默认负载因子

static final float DEFAULT_LOAD_FACTOR = 0.75f;

②阈值:扩容的临界值

int threshold;
threshold = table.length * loadFactor;

③负载因子

final float loadFactor;

负载因子的值大小有什么关系?

如果太大,threshold就会很大,那么如果冲突比较严重的话,就会导致table[index]下面的结点个数很多,影响效率。

如果太小,threshold就会很小,那么数组扩容的频率就会提高,数组的使用率也会降低,那么会造成空间的浪费。

    public HashMap() {
        //DEFAULT_INITIAL_CAPACITY:默认初始容量16
        //DEFAULT_LOAD_FACTOR:默认加载因子0.75
        this(DEFAULT_INITIAL_CAPACITY, DEFAULT_LOAD_FACTOR);
    }
    public HashMap(int initialCapacity, float loadFactor) {
        //校验initialCapacity合法性
        if (initialCapacity < 0)
            throw new IllegalArgumentException("Illegal initial capacity: " +
        //校验initialCapacity合法性                                       initialCapacity);
        if (initialCapacity > MAXIMUM_CAPACITY)
            initialCapacity = MAXIMUM_CAPACITY;
        //校验loadFactor合法性
        if (loadFactor <= 0 || Float.isNaN(loadFactor))
            throw new IllegalArgumentException("Illegal load factor: " +
                                               loadFactor);
        //加载因子,初始化为0.75
        this.loadFactor = loadFactor;
        // threshold 初始为初始容量                                  
        threshold = initialCapacity;
        init();
    }
public V put(K key, V value) {
        //如果table数组是空的,那么先创建数组
        if (table == EMPTY_TABLE) {
            //threshold一开始是初始容量的值
            inflateTable(threshold);
        }
        //如果key是null,单独处理,存储到table[0]中,如果有另一个key为null,value覆盖
        if (key == null)
            return putForNullKey(value);
        
        //对key的hashCode进行干扰,算出一个hash值
    /*
    hashCode值      xxxxxxxxxx
   table.length-1   000001111
   
   hashCode值 xxxxxxxxxx  无符号右移几位和原来的hashCode值做^运算,使得hashCode高位二进制值参与计算,也发挥作用,降低index冲突的概率。
    */
        int hash = hash(key);
        
        //计算新的映射关系应该存到table[i]位置,
        //i = hash & table.length-1,可以保证i在[0,table.length-1]范围内
        int i = indexFor(hash, table.length);
        
        //检查table[i]下面有没有key与我新的映射关系的key重复,如果重复替换value
        for (Entry<K,V> e = table[i]; e != null; e = e.next) {
            Object k;
            if (e.hash == hash && ((k = e.key) == key || key.equals(k))) {
                V oldValue = e.value;
                e.value = value;
                e.recordAccess(this);
                return oldValue;
            }
        }
​
        modCount++;
        //添加新的映射关系
        addEntry(hash, key, value, i);
        return null;
    }
    private void inflateTable(int toSize) {
        // Find a power of 2 >= toSize
        int capacity = roundUpToPowerOf2(toSize);//容量是等于toSize值的最接近的2的n次方
        //计算阈值 = 容量 * 加载因子
        threshold = (int) Math.min(capacity * loadFactor, MAXIMUM_CAPACITY + 1);
        //创建Entry[]数组,长度为capacity
        table = new Entry[capacity];
        initHashSeedAsNeeded(capacity);
    }
    //如果key是null,直接存入[0]的位置
    private V putForNullKey(V value) {
        //判断是否有重复的key,如果有重复的,就替换value
        for (Entry<K,V> e = table[0]; e != null; e = e.next) {
            if (e.key == null) {
                V oldValue = e.value;
                e.value = value;
                e.recordAccess(this);
                return oldValue;
            }
        }
        modCount++;
        //把新的映射关系存入[0]的位置,而且key的hash值用0表示
        addEntry(0, null, value, 0);
        return null;
    }
    void addEntry(int hash, K key, V value, int bucketIndex) {
        //判断是否需要库容
        //扩容:(1)size达到阈值(2)table[i]正好非空
        if ((size >= threshold) && (null != table[bucketIndex])) {
            //table扩容为原来的2倍,并且扩容后,会重新调整所有映射关系的存储位置
            resize(2 * table.length);
            //新的映射关系的hash和index也会重新计算
            hash = (null != key) ? hash(key) : 0;
            bucketIndex = indexFor(hash, table.length);
        }
        //存入table中
        createEntry(hash, key, value, bucketIndex);
    }
    void createEntry(int hash, K key, V value, int bucketIndex) {
        Entry<K,V> e = table[bucketIndex];
        //原来table[i]下面的映射关系作为新的映射关系next
        table[bucketIndex] = new Entry<>(hash, key, value, e);
        size++;//个数增加
    }

1、put(key,value)

(1)当第一次添加映射关系时,数组初始化为一个长度为16的**HashMapEntry的数组,这个HashMapEntry**的数组,这个HashMapEntry类型是实现了java.util.Map.Entry接口

(2)特殊考虑:如果key为null,index直接是[0],hash也是0

(3)如果key不为null,在计算index之前,会对key的hashCode()值,做一个hash(key)再次哈希的运算,这样可以使得Entry对象更加散列的存储到table中

(4)计算index = table.length-1 & hash;

(5)如果table[index]下面,已经有映射关系的key与我要添加的新的映射关系的key相同了,会用新的value替换旧的value。

(6)如果没有相同的,会把新的映射关系添加到链表的头,原来table[index]下面的Entry对象连接到新的映射关系的next中。

(7)添加之前先判断if(size >= threshold && table[index]!=null)如果该条件为true,会扩容

if(size >= threshold  &&  table[index]!=null){
​
    ①会扩容
​
    ②会重新计算key的hash
​
    ③会重新计算index
​
}

(8)size++

1563804039202.png

2、get(key)

(1)计算key的hash值,用这个方法hash(key)

(2)找index = table.length-1 & hash;

(3)如果table[index]不为空,那么就挨个比较哪个Entry的key与它相同,就返回它的value

3、remove(key)

(1)计算key的hash值,用这个方法hash(key)

(2)找index = table.length-1 & hash;

(3)如果table[index]不为空,那么就挨个比较哪个Entry的key与它相同,就删除它,把它前面的Entry的next的值修改为被删除Entry的next

13.10.4 JDK1.8的put方法源码分析

几个常量和变量:
(1)DEFAULT_INITIAL_CAPACITY:默认的初始容量 162)MAXIMUM_CAPACITY:最大容量  1 << 303)DEFAULT_LOAD_FACTOR:默认加载因子 0.754)TREEIFY_THRESHOLD:默认树化阈值8,当链表的长度达到这个值后,要考虑树化
(5)UNTREEIFY_THRESHOLD:默认反树化阈值6,当树中的结点的个数达到这个阈值后,要考虑变为链表
(6)MIN_TREEIFY_CAPACITY:最小树化容量64
        当单个的链表的结点个数达到8,并且table的长度达到64,才会树化。
        当单个的链表的结点个数达到8,但是table的长度未达到64,会先扩容
(7)Node<K,V>[] table:数组
(8)size:记录有效映射关系的对数,也是Entry对象的个数
(9int threshold:阈值,当size达到阈值时,考虑扩容
(10double loadFactor:加载因子,影响扩容的频率
    public HashMap() {
        this.loadFactor = DEFAULT_LOAD_FACTOR; 
        // all other fields defaulted,其他字段都是默认值
    }
    public V put(K key, V value) {
        return putVal(hash(key), key, value, false, true);
    }
    //目的:干扰hashCode值
    static final int hash(Object key) {
        int h;
        //如果key是null,hash是0
        //如果key非null,用key的hashCode值 与 key的hashCode值高16进行异或
        //      即就是用key的hashCode值高16位与低16位进行了异或的干扰运算
        
        /*
        index = hash & table.length-1
        如果用key的原始的hashCode值  与 table.length-1 进行按位与,那么基本上高16没机会用上。
        这样就会增加冲突的概率,为了降低冲突的概率,把高16位加入到hash信息中。
        */
        return (key == null) ? 0 : (h = key.hashCode()) ^ (h >>> 16);
    }
    final V putVal(int hash, K key, V value, boolean onlyIfAbsent, boolean evict) {
        Node<K,V>[] tab; //数组
        Node<K,V> p; //一个结点
        int n, i;//n是数组的长度   i是下标
        
        //tab和table等价
        //如果table是空的
        if ((tab = table) == null || (n = tab.length) == 0){
            n = (tab = resize()).length;
            /*
            tab = resize();
            n = tab.length;*/
            /*
            如果table是空的,resize()完成了①创建了一个长度为16的数组②threshold = 12
            n = 16
            */
        }
        //i = (n - 1) & hash ,下标 = 数组长度-1 & hash
        //p = tab[i] 第1个结点
        //if(p==null) 条件满足的话说明 table[i]还没有元素
        if ((p = tab[i = (n - 1) & hash]) == null){
            //把新的映射关系直接放入table[i]
            tab[i] = newNode(hash, key, value, null);
            //newNode()方法就创建了一个Node类型的新结点,新结点的next是null
        }else {
            Node<K,V> e; 
            K k;
            //p是table[i]中第一个结点
            //if(table[i]的第一个结点与新的映射关系的key重复)
            if (p.hash == hash &&
                ((k = p.key) == key || (key != null && key.equals(k)))){
                e = p;//用e记录这个table[i]的第一个结点
            }else if (p instanceof TreeNode){//如果table[i]第一个结点是一个树结点
                //单独处理树结点
                //如果树结点中,有key重复的,就返回那个重复的结点用e接收,即e!=null
                //如果树结点中,没有key重复的,就把新结点放到树中,并且返回null,即e=null
                e = ((TreeNode<K,V>)p).putTreeVal(this, tab, hash, key, value);
            }else {
                //table[i]的第一个结点不是树结点,也与新的映射关系的key不重复
                //binCount记录了table[i]下面的结点的个数
                for (int binCount = 0; ; ++binCount) {
                    //如果p的下一个结点是空的,说明当前的p是最后一个结点
                    if ((e = p.next) == null) {
                        //把新的结点连接到table[i]的最后
                        p.next = newNode(hash, key, value, null);
                        
                        //如果binCount>=8-1,达到7个时
                        if (binCount >= TREEIFY_THRESHOLD - 1){ // -1 for 1st
                            //要么扩容,要么树化
                            treeifyBin(tab, hash);
                        }
                        break;
                    }
                    //如果key重复了,就跳出for循环,此时e结点记录的就是那个key重复的结点
            if (e.hash == hash &&((k = e.key) == key || (key != null && key.equals(k)))){
                        break;
                    }
                    p = e;//下一次循环,e=p.next,就类似于e=e.next,往链表下移动
                }
            }
            //如果这个e不是null,说明有key重复,就考虑替换原来的value
            if (e != null) { // existing mapping for key
                V oldValue = e.value;
                if (!onlyIfAbsent || oldValue == null){
                    e.value = value;
                }
                afterNodeAccess(e);//什么也没干
                return oldValue;
            }
        }
        ++modCount;
        
        //元素个数增加
        //size达到阈值
        if (++size > threshold){
            resize();//一旦扩容,重新调整所有映射关系的位置
        }
        afterNodeInsertion(evict);//什么也没干
        return null;
    }   
    
   final Node<K,V>[] resize() {
        Node<K,V>[] oldTab = table;//oldTab原来的table
        //oldCap:原来数组的长度
        int oldCap = (oldTab == null) ? 0 : oldTab.length;
        
        //oldThr:原来的阈值
        int oldThr = threshold;//最开始threshold是0
        
        //newCap,新容量
        //newThr:新阈值
        int newCap, newThr = 0;
        if (oldCap > 0) {//说明原来不是空数组
            if (oldCap >= MAXIMUM_CAPACITY) {//是否达到数组最大限制
                threshold = Integer.MAX_VALUE;
                return oldTab;
            }else if ((newCap = oldCap << 1) < MAXIMUM_CAPACITY &&
                     oldCap >= DEFAULT_INITIAL_CAPACITY){
                //newCap = 旧的容量*2 ,新容量<最大数组容量限制
                //新容量:32,64,...
                //oldCap >= 初始容量16
                //新阈值重新算 = 24,48 ....
                newThr = oldThr << 1; // double threshold
            }
        }else if (oldThr > 0){ // initial capacity was placed in threshold
            newCap = oldThr;
        }else {               // zero initial threshold signifies using defaults
            newCap = DEFAULT_INITIAL_CAPACITY;//新容量是默认初始化容量16
            //新阈值= 默认的加载因子 * 默认的初始化容量 = 0.75*16 = 12
            newThr = (int)(DEFAULT_LOAD_FACTOR * DEFAULT_INITIAL_CAPACITY);
        }
        if (newThr == 0) {
            float ft = (float)newCap * loadFactor;
            newThr = (newCap < MAXIMUM_CAPACITY && ft < (float)MAXIMUM_CAPACITY ?
                      (int)ft : Integer.MAX_VALUE);
        }
        threshold = newThr;//阈值赋值为新阈值12,24.。。。
        
        //创建了一个新数组,长度为newCap,16,32,64.。。
        @SuppressWarnings({"rawtypes","unchecked"})
            Node<K,V>[] newTab = (Node<K,V>[])new Node[newCap];
        table = newTab;
        
        
        if (oldTab != null) {//原来不是空数组
            //把原来的table中映射关系,倒腾到新的table中
            for (int j = 0; j < oldCap; ++j) {
                Node<K,V> e;
                if ((e = oldTab[j]) != null) {//e是table下面的结点
                    oldTab[j] = null;//把旧的table[j]位置清空
                    if (e.next == null)//如果是最后一个结点
                        newTab[e.hash & (newCap - 1)] = e;//重新计算e的在新table中的存储位置,然后放入
                    else if (e instanceof TreeNode)//如果e是树结点
                        //把原来的树拆解,放到新的table
                        ((TreeNode<K,V>)e).split(this, newTab, j, oldCap);
                    else { // preserve order
                        Node<K,V> loHead = null, loTail = null;
                        Node<K,V> hiHead = null, hiTail = null;
                        Node<K,V> next;
                        /*
                        把原来table[i]下面的整个链表,重新挪到了新的table中
                        */
                        do {
                            next = e.next;
                            if ((e.hash & oldCap) == 0) {
                                if (loTail == null)
                                    loHead = e;
                                else
                                    loTail.next = e;
                                loTail = e;
                            }
                            else {
                                if (hiTail == null)
                                    hiHead = e;
                                else
                                    hiTail.next = e;
                                hiTail = e;
                            }
                        } while ((e = next) != null);
                        if (loTail != null) {
                            loTail.next = null;
                            newTab[j] = loHead;
                        }
                        if (hiTail != null) {
                            hiTail.next = null;
                            newTab[j + oldCap] = hiHead;
                        }
                    }
                }
            }
        }
        return newTab;
    }   
    
    Node<K,V> newNode(int hash, K key, V value, Node<K,V> next) {
        //创建一个新结点
       return new Node<>(hash, key, value, next);
    }
​
    final void treeifyBin(Node<K,V>[] tab, int hash) {
        int n, index; 
        Node<K,V> e;
        //MIN_TREEIFY_CAPACITY:最小树化容量64
        //如果table是空的,或者  table的长度没有达到64
        if (tab == null || (n = tab.length) < MIN_TREEIFY_CAPACITY)
            resize();//先扩容
        else if ((e = tab[index = (n - 1) & hash]) != null) {
            //用e记录table[index]的结点的地址
            TreeNode<K,V> hd = null, tl = null;
            /*
            do...while,把table[index]链表的Node结点变为TreeNode类型的结点
            */
            do {
                TreeNode<K,V> p = replacementTreeNode(e, null);
                if (tl == null)
                    hd = p;//hd记录根结点
                else {
                    p.prev = tl;
                    tl.next = p;
                }
                tl = p;
            } while ((e = e.next) != null);
            
            //如果table[index]下面不是空
            if ((tab[index] = hd) != null)
                hd.treeify(tab);//将table[index]下面的链表进行树化
        }
    }   

1、添加过程

A. 先计算key的hash值,如果key是null,hash值就是0,如果为null,使用(h = key.hashCode()) ^ (h >>> 16)得到hash值;

B. 如果table是空的,先初始化table数组;

C. 通过hash值计算存储的索引位置index = hash & (table.length-1)

D. 如果table[index]==null,那么直接创建一个Node结点存储到table[index]中即可

E. 如果table[index]!=null

a) 判断table[index]的根结点的key是否与新的key“相同”(hash值相同并且(满足key的地址相同或key的equals返回true)),如果是那么用e记录这个根结点

b) 如果table[index]的根结点的key与新的key“不相同”,而且table[index]是一个TreeNode结点,说明table[index]下是一棵红黑树,如果该树的某个结点的key与新的key“相同”(hash值相同并且(满足key的地址相同或key的equals返回true)),那么用e记录这个相同的结点,否则将(key,value)封装为一个TreeNode结点,连接到红黑树中

c) 如果table[index]的根结点的key与新的key“不相同”,并且table[index]不是一个TreeNode结点,说明table[index]下是一个链表,如果该链表中的某个结点的key与新的key“相同”,那么用e记录这个相同的结点,否则将新的映射关系封装为一个Node结点直接链接到链表尾部,并且判断table[index]下结点个数达到TREEIFY_THRESHOLD(8) 个,如果table[index]下结点个数已经达到,那么再判断table.length是否达到MIN_TREEIFY_CAPACITY(64) ,如果没达到,那么先扩容,扩容会导致所有元素重新计算index,并调整位置,如果table[index]下结点个数已经达到TREEIFY_THRESHOLD(8) 个并table.length也已经达到MIN_TREEIFY_CAPACITY(64) ,那么会将该链表转成一棵自平衡的红黑树。

F. 如果在table[index]下找到了新的key“相同”的结点,即e不为空,那么用新的value替换原来的value,并返回旧的value,结束put方法

G. 如果新增结点而不是替换,那么size++,并且还要重新判断size是否达到threshold阈值,如果达到,还要扩容。

if(size > threshold ){
    ①会扩容
​
    ②会重新计算key的hash
​
    ③会重新计算index
​
}

1572870448458.png

2、remove(key)

(1)计算key的hash值,用这个方法hash(key)

(2)找index = table.length-1 & hash;

(3)如果table[index]不为空,那么就挨个比较哪个Entry的key与它相同,就删除它,把它前面的Entry的next的值修改为被删除Entry的next

(4)如果table[index]下面原来是红黑树,结点删除后,个数小于等于6,会把红黑树变为链表

13.10.5 关于映射关系的key是否可以修改?

映射关系存储到HashMap中会存储key的hash值,这样就不用在每次查找时重新计算每一个Entry或Node(TreeNode)的hash值了,因此如果已经put到Map中的映射关系,再修改key的属性,而这个属性又参与hashcode值的计算,那么会导致匹配不上。

这个规则也同样适用于LinkedHashMap、HashSet、LinkedHashSet、Hashtable等所有散列存储结构的集合。

JDK1.7:

public class HashMap<K,V>{
    transient Entry<K,V>[] table = (Entry<K,V>[]) EMPTY_TABLE;
    static class Entry<K,V> implements Map.Entry<K,V> {
            final K key;
            V value;
            Entry<K,V> next;
            int hash; //记录Entry映射关系的key的hash(key.hashCode())值
            //...省略
    }
    //...
}

JDK1.8:

public class HashMap<K,V>{
    transient Node<K,V>[] table;
    static class Node<K,V> implements Map.Entry<K,V> {
            final int hash;//记录Node映射关系的key的hash(key.hashCode())值
            final K key;
            V value;
            Node<K,V> next;
            //...省略
    }
    //....
}

示例代码:

package com.atguigu.map;
​
public class ID{
    private int id;
​
    public ID(int id) {
        super();
        this.id = id;
    }
​
    @Override
    public int hashCode() {
        final int prime = 31;
        int result = 1;
        result = prime * result + id;
        return result;
    }
​
    @Override
    public boolean equals(Object obj) {
        if (this == obj)
            return true;
        if (obj == null)
            return false;
        if (getClass() != obj.getClass())
            return false;
        ID other = (ID) obj;
        if (id != other.id)
            return false;
        return true;
    }
​
    public int getId() {
        return id;
    }
​
    public void setId(int id) {
        this.id = id;
    }
​
}
package com.atguigu.map;
​
import java.util.HashMap;
​
public class TestHashMapID{
    public static void main(String[] args) {
        HashMap<ID,String> map = new HashMap<>();
        ID i1 = new ID(1);
        ID i2 = new ID(2);
        ID i3 = new ID(3);
​
        map.put(i1, "haha");
        map.put(i2, "hehe");
        map.put(i3, "xixi");
​
        System.out.println(map.get(i1));//haha
        i1.setId(10);
        System.out.println(map.get(i1));//null
    }
}
​
​

所以实际开发中,经常选用String,Integer等作为key,因为它们都是不可变对象。