【leet-code清晰解题思路💯✅】25. K 个一组翻转链表

71 阅读1分钟

题目描述

给你链表的头节点 head ,每 k **个节点一组进行翻转,请你返回修改后的链表。

k 是一个正整数,它的值小于或等于链表的长度。如果节点总数不是 k **的整数倍,那么请将最后剩余的节点保持原有顺序。

你不能只是单纯的改变节点内部的值,而是需要实际进行节点交换。

示例 1:

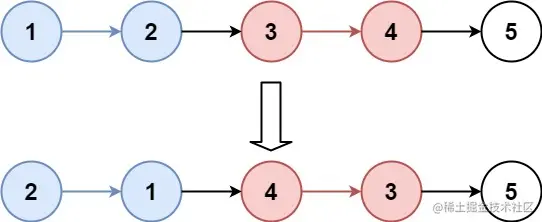
输入: head = [1,2,3,4,5], k = 2
输出: [2,1,4,3,5]

示例 2:

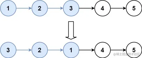
输入: head = [1,2,3,4,5], k = 3
输出: [3,2,1,4,5]

提示:

  • 链表中的节点数目为 n
  • 1 <= k <= n <= 5000
  • 0 <= Node.val <= 1000

进阶: 你可以设计一个只用 O(1) 额外内存空间的算法解决此问题吗?

解题思路

  • 需要先判断是不是够k个。够再反转,这里使用递归的写法,对每一段连接起来。复杂度O(n,1)
func reverseKGroup(head *ListNode, k int) *ListNode {
   t := head
   //判断是否够k个
   for i := 0; i < k; i++ {
      if t == nil {
         return head
      } else {
         t = t.Next
      }
   }
   // 三指针反转
   pre := reverseKGroup(t, k)
   p := head
   next := head.Next
   for i := 0; i < k; i++ {
      p.Next = pre
      pre = p
      p = next
      if next != nil {
         next = next.Next
      }
   }
   return pre
}

image.png