【leet-code清晰解题思路💯✅】24. 两两交换链表中的节点

44 阅读1分钟

题目描述

给你一个链表,两两交换其中相邻的节点,并返回交换后链表的头节点。你必须在不修改节点内部的值的情况下完成本题(即,只能进行节点交换)。

示例 1:

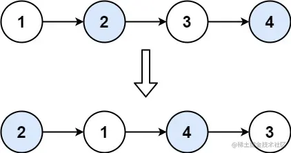
输入: head = [1,2,3,4]
输出: [2,1,4,3]

示例 2:

输入: head = []
输出: []

示例 3:

输入: head = [1]
输出: [1]

提示:

  • 链表中节点的数目在范围 [0, 100] 内
  • 0 <= Node.val <= 100

解题思路

  • 可以用递归的写法,函数返回交换后的链表头。
func swapPairs(head *ListNode) *ListNode {
   if head == nil || head.Next == nil {
      return head
   }
   tail := swapPairs(head.Next.Next)
   h := head.Next
   head.Next = tail
   h.Next = head
   return h
}

image.png