面试官最喜欢问的几个react相关问题

110 阅读20分钟

除了在构造函数中绑定 this,还有其它方式吗

你可以使用属性初始值设定项(property initializers)来正确绑定回调,create-react-app 也是默认支持的。在回调中你可以使用箭头函数,但问题是每次组件渲染时都会创建一个新的回调。

一般可以用哪些值作为key

  • 最好使用每一条数据中的唯一标识作为key,比如:手机号,id值,身份证号,学号等

  • 也可以用数据的索引值(可能会出现一些问题)

React 性能优化

  • shouldCompoentUpdate
  • pureComponent 自带shouldCompoentUpdate的浅比较优化
  • 结合Immutable.js达到最优

diff 算法?

  • 把树形结构按照层级分解,只比较同级元素
  • 给列表结构的每个单元添加唯一的 key 属性,方便比较
  • React 只会匹配相同 class 的 component(这里面的 class 指的是组件的名字)
  • 合并操作,调用 component 的 setState 方法的时候, React 将其标记为 dirty.到每一个 事件循环结束, React 检查所有标记 dirty 的 component 重新绘制.
  • 选择性子树渲染。开发人员可以重写 shouldComponentUpdate 提高 diff 的性能。

参考:前端react面试题详细解答

refs的作用是什么,你在什么样的业务场景下使用refs

  • 操作DOM,为什么操作DOM?
  • 场景
    • 图片渲染好后,操作图片宽高。比如做个放大镜功能

setState

在了解setState之前,我们先来简单了解下 React 一个包装结构: Transaction:

事务 (Transaction)

是 React 中的一个调用结构,用于包装一个方法,结构为: initialize - perform(method) - close。通过事务,可以统一管理一个方法的开始与结束;处于事务流中,表示进程正在执行一些操作

  • setState: React 中用于修改状态,更新视图。它具有以下特点:

异步与同步: setState并不是单纯的异步或同步,这其实与调用时的环境相关:

  • 合成事件生命周期钩子 (除 componentDidUpdate) 中,setState是"异步"的;
    • 原因: 因为在setState的实现中,有一个判断: 当更新策略正在事务流的执行中时,该组件更新会被推入dirtyComponents队列中等待执行;否则,开始执行batchedUpdates队列更新;
      • 在生命周期钩子调用中,更新策略都处于更新之前,组件仍处于事务流中,而componentDidUpdate是在更新之后,此时组件已经不在事务流中了,因此则会同步执行;
      • 在合成事件中,React 是基于 事务流完成的事件委托机制 实现,也是处于事务流中;
    • 问题: 无法在setState后马上从this.state上获取更新后的值。
    • 解决: 如果需要马上同步去获取新值,setState其实是可以传入第二个参数的。setState(updater, callback),在回调中即可获取最新值;
  • 原生事件 和 setTimeout 中,setState是同步的,可以马上获取更新后的值;
    • 原因: 原生事件是浏览器本身的实现,与事务流无关,自然是同步;而setTimeout是放置于定时器线程中延后执行,此时事务流已结束,因此也是同步;
  • 批量更新 : 在 合成事件 和 生命周期钩子 中,setState更新队列时,存储的是 合并状态(Object.assign)。因此前面设置的 key 值会被后面所覆盖,最终只会执行一次更新;
  • 函数式 : 由于 Fiber 及 合并 的问题,官方推荐可以传入 函数 的形式。setState(fn),在fn中返回新的state对象即可,例如this.setState((state, props) => newState);
    • 使用函数式,可以用于避免setState的批量更新的逻辑,传入的函数将会被 顺序调用;

注意事项:

  • setState 合并,在 合成事件 和 生命周期钩子 中多次连续调用会被优化为一次;
  • 当组件已被销毁,如果再次调用setState,React 会报错警告,通常有两种解决办法
    • 将数据挂载到外部,通过 props 传入,如放到 Redux 或 父级中;
    • 在组件内部维护一个状态量 (isUnmounted),componentWillUnmount中标记为 true,在setState前进行判断;

新版生命周期

在新版本中,React 官方对生命周期有了新的 变动建议:

  • 使用getDerivedStateFromProps替换componentWillMount;
  • 使用getSnapshotBeforeUpdate替换componentWillUpdate;
  • 避免使用componentWillReceiveProps

其实该变动的原因,正是由于上述提到的 Fiber。首先,从上面我们知道 React 可以分成 reconciliationcommit两个阶段,对应的生命周期如下:

reconciliation

  • componentWillMount
  • componentWillReceiveProps
  • shouldComponentUpdate
  • componentWillUpdate

commit

  • componentDidMount
  • componentDidUpdate
  • componentWillUnmount

Fiber 中,reconciliation 阶段进行了任务分割,涉及到 暂停 和 重启,因此可能会导致 reconciliation 中的生命周期函数在一次更新渲染循环中被 多次调用 的情况,产生一些意外错误

新版的建议生命周期如下:

class Component extends React.Component {
  // 替换 `componentWillReceiveProps` ,
  // 初始化和 update 时被调用
  // 静态函数,无法使用 this
  static getDerivedStateFromProps(nextProps, prevState) {}

  // 判断是否需要更新组件
  // 可以用于组件性能优化
  shouldComponentUpdate(nextProps, nextState) {}

  // 组件被挂载后触发
  componentDidMount() {}

  // 替换 componentWillUpdate
  // 可以在更新之前获取最新 dom 数据
  getSnapshotBeforeUpdate() {}

  // 组件更新后调用
  componentDidUpdate() {}

  // 组件即将销毁
  componentWillUnmount() {}

  // 组件已销毁
  componentDidUnMount() {}
}

使用建议:

  • constructor初始化 state
  • componentDidMount中进行事件监听,并在componentWillUnmount中解绑事件;
  • componentDidMount中进行数据的请求,而不是在componentWillMount
  • 需要根据 props 更新 state 时,使用getDerivedStateFromProps(nextProps, prevState)
    • 旧 props 需要自己存储,以便比较;
public static getDerivedStateFromProps(nextProps, prevState) {
    // 当新 props 中的 data 发生变化时,同步更新到 state 上
    if (nextProps.data !== prevState.data) {
        return {
            data: nextProps.data
        }
    } else {
        return null1
    }
}

可以在componentDidUpdate监听 props 或者 state 的变化,例如:

componentDidUpdate(prevProps) {
    // 当 id 发生变化时,重新获取数据
    if (this.props.id !== prevProps.id) {
        this.fetchData(this.props.id);
    }
}
  • 在componentDidUpdate使用setState时,必须加条件,否则将进入死循环;
  • getSnapshotBeforeUpdate(prevProps, prevState)可以在更新之前获取最新的渲染数据,它的调用是在 render 之后, update 之前;
  • shouldComponentUpdate: 默认每次调用setState,一定会最终走到 diff 阶段,但可以通过shouldComponentUpdate的生命钩子返回false来直接阻止后面的逻辑执行,通常是用于做条件渲染,优化渲染的性能。

调用 setState 之后发生了什么

在代码中调用 setState 函数之后,React 会将传入的参数与之前的状态进行合并,然后触发所谓的调和过程(Reconciliation)。经过调和过程,React 会以相对高效的方式根据新的状态构建 React 元素树并且着手重新渲染整个 UI 界面。在 React 得到元素树之后,React 会计算出新的树和老的树之间的差异,然后根据差异对界面进行最小化重新渲染。通过 diff 算法,React 能够精确制导哪些位置发生了改变以及应该如何改变,这就保证了按需更新,而不是全部重新渲染。

  • 在 setState 的时候,React 会为当前节点创建一个 updateQueue 的更新列队。
  • 然后会触发 reconciliation 过程,在这个过程中,会使用名为 Fiber 的调度算法,开始生成新的 Fiber 树, Fiber 算法的最大特点是可以做到异步可中断的执行。
  • 然后 React Scheduler 会根据优先级高低,先执行优先级高的节点,具体是执行 doWork 方法。
  • 在 doWork 方法中,React 会执行一遍 updateQueue 中的方法,以获得新的节点。然后对比新旧节点,为老节点打上 更新、插入、替换 等 Tag。
  • 当前节点 doWork 完成后,会执行 performUnitOfWork 方法获得新节点,然后再重复上面的过程。
  • 当所有节点都 doWork 完成后,会触发 commitRoot 方法,React 进入 commit 阶段。
  • 在 commit 阶段中,React 会根据前面为各个节点打的 Tag,一次性更新整个 dom 元素

shouldComponentUpdate有什么用?为什么它很重要?

组件状态数据或者属性数据发生更新的时候,组件会进入存在期,视图会渲染更新。在生命周期方法 should ComponentUpdate中,允许选择退出某些组件(和它们的子组件)的和解过程。 和解的最终目标是根据新的状态,以最有效的方式更新用户界面。如果我们知道用户界面的某一部分不会改变,那么没有理由让 React弄清楚它是否应该更新渲染。通过在 shouldComponentUpdate方法中返回 false, React将让当前组件及其所有子组件保持与当前组件状态相同。

diff算法?

  • 把树形结构按照层级分解,只比较同级元素。
  • 给列表结构的每个单元添加唯一的key属性,方便比较。
  • React 只会匹配相同 classcomponent(这里面的class指的是组件的名字)
  • 合并操作,调用 componentsetState 方法的时候, React 将其标记为 - dirty.到每一个事件循环结束, React 检查所有标记 dirtycomponent重新绘制.
  • 选择性子树渲染。开发人员可以重写shouldComponentUpdate提高diff的性能

react性能优化是哪个周期函数

shouldComponentUpdate 这个方法用来判断是否需要调用render方法重新描绘dom。因为dom的描绘非常消耗性能,如果我们能在shouldComponentUpdate方法中能够写出更优化的dom diff算法,可以极大的提高性能

说说 React组件开发中关于作用域的常见问题。

在 EMAScript5语法规范中,关于作用域的常见问题如下。 (1)在map等方法的回调函数中,要绑定作用域this(通过bind方法)。 (2)父组件传递给子组件方法的作用域是父组件实例化对象,无法改变。 (3)组件事件回调函数方法的作用域是组件实例化对象(绑定父组件提供的方法就是父组件实例化对象),无法改变。 在 EMAScript6语法规范中,关于作用域的常见问题如下。 (1)当使用箭头函数作为map等方法的回调函数时,箭头函数的作用域是当前组件的实例化对象(即箭头函数的作用域是定义时的作用域),无须绑定作用域。 (2)事件回调函数要绑定组件作用域。 (3)父组件传递方法要绑定父组件作用域。 总之,在 EMAScript6语法规范中,组件方法的作用域是可以改变的。

react 的渲染过程中,兄弟节点之间是怎么处理的?也就是key值不一样的时候

通常我们输出节点的时候都是map一个数组然后返回一个ReactNode,为了方便react内部进行优化,我们必须给每一个reactNode添加key,这个key prop在设计值处不是给开发者用的,而是给react用的,大概的作用就是给每一个reactNode添加一个身份标识,方便react进行识别,在重渲染过程中,如果key一样,若组件属性有所变化,则react只更新组件对应的属性;没有变化则不更新,如果key不一样,则react先销毁该组件,然后重新创建该组件

createElement 与 cloneElement 的区别是什么

createElement 函数是 JSX 编译之后使用的创建 React Element 的函数,而 cloneElement 则是用于复制某个元素并传入新的 Props

在 ReactNative中,如何解决8081端口号被占用而提示无法访问的问题?

在运行 react-native start时添加参数port 8082;在 package.json中修改“scripts”中的参数,添加端口号;修改项目下的 node_modules \react-native\local- cli\server\server.js文件配置中的 default端口值。

react hooks,它带来了那些便利

  • 代码逻辑聚合,逻辑复用
  • HOC嵌套地狱
  • 代替class

React 中通常使用 类定义 或者 函数定义 创建组件:

在类定义中,我们可以使用到许多 React 特性,例如 state、 各种组件生命周期钩子等,但是在函数定义中,我们却无能为力,因此 React 16.8 版本推出了一个新功能 (React Hooks),通过它,可以更好的在函数定义组件中使用 React 特性。

好处:

  1. 跨组件复用: 其实 render props / HOC 也是为了复用,相比于它们,Hooks 作为官方的底层 API,最为轻量,而且改造成本小,不会影响原来的组件层次结构和传说中的嵌套地狱;

  2. 类定义更为复杂

  • 不同的生命周期会使逻辑变得分散且混乱,不易维护和管理;

  • 时刻需要关注this的指向问题;

  • 代码复用代价高,高阶组件的使用经常会使整个组件树变得臃肿;

  1. 状态与UI隔离: 正是由于 Hooks 的特性,状态逻辑会变成更小的粒度,并且极容易被抽象成一个自定义 Hooks,组件中的状态和 UI 变得更为清晰和隔离。

注意:

  • 避免在 循环/条件判断/嵌套函数 中调用 hooks,保证调用顺序的稳定;
  • 只有 函数定义组件 和 hooks 可以调用 hooks,避免在 类组件 或者 普通函数 中调用;
  • 不能在useEffect中使用useState,React 会报错提示;
  • 类组件不会被替换或废弃,不需要强制改造类组件,两种方式能并存;

重要钩子

  1. 状态钩子 (useState): 用于定义组件的 State,其到类定义中this.state的功能;
// useState 只接受一个参数: 初始状态
// 返回的是组件名和更改该组件对应的函数
const [flag, setFlag] = useState(true);
// 修改状态
setFlag(false)

// 上面的代码映射到类定义中:
this.state = {
    flag: true    
}
const flag = this.state.flag
const setFlag = (bool) => {
    this.setState({
        flag: bool,
    })
}
  1. 生命周期钩子 (useEffect):

类定义中有许多生命周期函数,而在 React Hooks 中也提供了一个相应的函数 (useEffect),这里可以看做componentDidMount、componentDidUpdate和componentWillUnmount的结合。

useEffect(callback, [source])接受两个参数

  • callback: 钩子回调函数;
  • source: 设置触发条件,仅当 source 发生改变时才会触发;
  • useEffect钩子在没有传入[source]参数时,默认在每次 render 时都会优先调用上次保存的回调中返回的函数,后再重新调用回调;
useEffect(() => {
    // 组件挂载后执行事件绑定
    console.log('on')
    addEventListener()

    // 组件 update 时会执行事件解绑
    return () => {
        console.log('off')
        removeEventListener()
    }
}, [source]);


// 每次 source 发生改变时,执行结果(以类定义的生命周期,便于大家理解):
// --- DidMount ---
// 'on'
// --- DidUpdate ---
// 'off'
// 'on'
// --- DidUpdate ---
// 'off'
// 'on'
// --- WillUnmount --- 
// 'off'

通过第二个参数,我们便可模拟出几个常用的生命周期:

  • componentDidMount: 传入[]时,就只会在初始化时调用一次
const useMount = (fn) => useEffect(fn, [])
  • componentWillUnmount: 传入[],回调中的返回的函数也只会被最终执行一次
const useUnmount = (fn) => useEffect(() => fn, [])
  • mounted: 可以使用 useState 封装成一个高度可复用的 mounted 状态;
const useMounted = () => {
    const [mounted, setMounted] = useState(false);
    useEffect(() => {
        !mounted && setMounted(true);
        return () => setMounted(false);
    }, []);
    return mounted;
}
  • componentDidUpdate: useEffect每次均会执行,其实就是排除了 DidMount 后即可;
const mounted = useMounted() 
useEffect(() => {
    mounted && fn()
})
  1. 其它内置钩子:
  • useContext: 获取 context 对象

  • useReducer: 类似于 Redux 思想的实现,但其并不足以替代 Redux,可以理解成一个组件内部的 redux:

    • 并不是持久化存储,会随着组件被销毁而销毁;
    • 属于组件内部,各个组件是相互隔离的,单纯用它并无法共享数据;
    • 配合useContext`的全局性,可以完成一个轻量级的 Redux;(easy-peasy)
  • useCallback: 缓存回调函数,避免传入的回调每次都是新的函数实例而导致依赖组件重新渲染,具有性能优化的效果;

  • useMemo: 用于缓存传入的 props,避免依赖的组件每次都重新渲染;

  • useRef: 获取组件的真实节点;

  • useLayoutEffect

    • DOM更新同步钩子。用法与useEffect类似,只是区别于执行时间点的不同
    • useEffect属于异步执行,并不会等待 DOM 真正渲染后执行,而useLayoutEffect则会真正渲染后才触发;
    • 可以获取更新后的 state;
  1. 自定义钩子(useXxxxx): 基于 Hooks 可以引用其它 Hooks 这个特性,我们可以编写自定义钩子,如上面的useMounted。又例如,我们需要每个页面自定义标题:
function useTitle(title) {
  useEffect(
    () => {
      document.title = title;
    });
}

// 使用:
function Home() {
    const title = '我是首页'
    useTitle(title)

    return (
        <div>{title}</div>
    )
}

HOC(高阶组件)

HOC(Higher Order Componennt) 是在 React 机制下社区形成的一种组件模式,在很多第三方开源库中表现强大。

简述:

  • 高阶组件不是组件,是 增强函数,可以输入一个元组件,返回出一个新的增强组件;
  • 高阶组件的主要作用是 代码复用,操作 状态和参数;

用法:

  • 属性代理 (Props Proxy): 返回出一个组件,它基于被包裹组件进行 功能增强;
  1. 默认参数: 可以为组件包裹一层默认参数;
function proxyHoc(Comp) {
    return class extends React.Component {
        render() {
            const newProps = {
                name: 'tayde',
                age: 1,
            }
            return <Comp {...this.props} {...newProps} />
        }
    }
}
  1. 提取状态: 可以通过 props 将被包裹组件中的 state 依赖外层,例如用于转换受控组件:
function withOnChange(Comp) {
    return class extends React.Component {
        constructor(props) {
            super(props)
            this.state = {
                name: '',
            }
        }
        onChangeName = () => {
            this.setState({
                name: 'dongdong',
            })
        }
        render() {
            const newProps = {
                value: this.state.name,
                onChange: this.onChangeName,
            }
            return <Comp {...this.props} {...newProps} />
        }
    }
}

使用姿势如下,这样就能非常快速的将一个 Input 组件转化成受控组件。

const NameInput = props => (<input name="name" {...props} />)
export default withOnChange(NameInput)

包裹组件: 可以为被包裹元素进行一层包装,

function withMask(Comp) {
  return class extends React.Component {
      render() {
          return (
              <div>
                  <Comp {...this.props} />
                    <div style={{
                      width: '100%',
                      height: '100%',
                      backgroundColor: 'rgba(0, 0, 0, .6)',
                  }} 
              </div>
          )
      }
  }
}

反向继承 (Inheritance Inversion): 返回出一个组件,继承于被包裹组件,常用于以下操作

function IIHoc(Comp) {
    return class extends Comp {
        render() {
            return super.render();
        }
    };
}

渲染劫持 (Render Highjacking)

条件渲染: 根据条件,渲染不同的组件

function withLoading(Comp) {
    return class extends Comp {
        render() {
            if(this.props.isLoading) {
                return <Loading />
            } else {
                return super.render()
            }
        }
    };
}

可以直接修改被包裹组件渲染出的 React 元素树

操作状态 (Operate State) : 可以直接通过 this.state 获取到被包裹组件的状态,并进行操作。但这样的操作容易使 state 变得难以追踪,不易维护,谨慎使用。

应用场景:

权限控制,通过抽象逻辑,统一对页面进行权限判断,按不同的条件进行页面渲染:

function withAdminAuth(WrappedComponent) {
    return class extends React.Component {
        constructor(props){
            super(props)
            this.state = {
                isAdmin: false,
            }
        } 
        async componentWillMount() {
            const currentRole = await getCurrentUserRole();
            this.setState({
                isAdmin: currentRole === 'Admin',
            });
        }
        render() {
            if (this.state.isAdmin) {
                return <Comp {...this.props} />;
            } else {
                return (<div>您没有权限查看该页面,请联系管理员!</div>);
            }
        }
    };
}

性能监控 ,包裹组件的生命周期,进行统一埋点:

function withTiming(Comp) {
    return class extends Comp {
        constructor(props) {
            super(props);
            this.start = Date.now();
            this.end = 0;
        }
        componentDidMount() {
            super.componentDidMount && super.componentDidMount();
            this.end = Date.now();
            console.log(`${WrappedComponent.name} 组件渲染时间为 ${this.end - this.start} ms`);
        }
        render() {
            return super.render();
        }
    };
}

代码复用,可以将重复的逻辑进行抽象。

使用注意:

  • 纯函数: 增强函数应为纯函数,避免侵入修改元组件;
  • 避免用法污染: 理想状态下,应透传元组件的无关参数与事件,尽量保证用法不变;
  • 命名空间: 为 HOC 增加特异性的组件名称,这样能便于开发调试和查找问题;
  • 引用传递 : 如果需要传递元组件的 refs 引用,可以使用React.forwardRef;
  • 静态方法 : 元组件上的静态方法并无法被自动传出,会导致业务层无法调用;解决:
    • 函数导出
    • 静态方法赋值
  • 重新渲染: 由于增强函数每次调用是返回一个新组件,因此如果在 Render中使用增强函数,就会导致每次都重新渲染整个HOC,而且之前的状态会丢失;

React的虚拟DOM和Diff算法的内部实现

传统 diff 算法的时间复杂度是 O(n^3),这在前端 render 中是不可接受的。为了降低时间复杂度,react 的 diff 算法做了一些妥协,放弃了最优解,最终将时间复杂度降低到了 O(n)。

那么 react diff 算法做了哪些妥协呢?,参考如下:

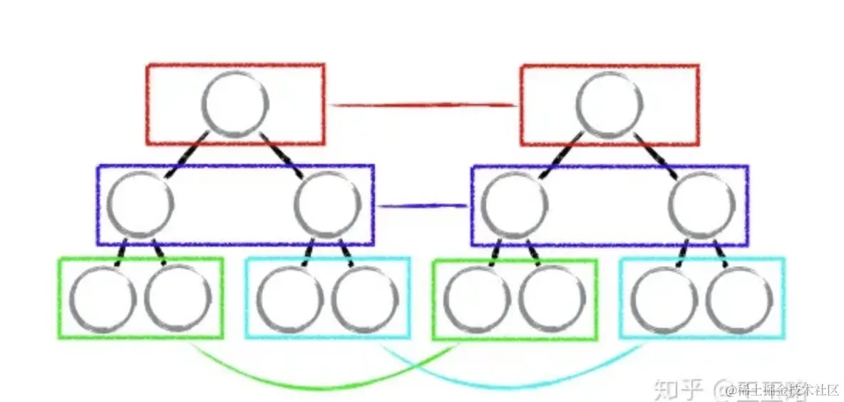
  1. tree diff:只对比同一层的 dom 节点,忽略 dom 节点的跨层级移动

如下图,react 只会对相同颜色方框内的 DOM 节点进行比较,即同一个父节点下的所有子节点。当发现节点不存在时,则该节点及其子节点会被完全删除掉,不会用于进一步的比较。

这样只需要对树进行一次遍历,便能完成整个 DOM 树的比较。

image-20210302195610674

这就意味着,如果 dom 节点发生了跨层级移动,react 会删除旧的节点,生成新的节点,而不会复用。

  1. component diff:如果不是同一类型的组件,会删除旧的组件,创建新的组件

image-20210302195654736

  1. element diff:对于同一层级的一组子节点,需要通过唯一 id 进行来区分
  • 如果没有 id 来进行区分,一旦有插入动作,会导致插入位置之后的列表全部重新渲染
  • 这也是为什么渲染列表时为什么要使用唯一的 key。

redux有什么缺点

  • 一个组件所需要的数据,必须由父组件传过来,而不能像flux中直接从store取。
  • 当一个组件相关数据更新时,即使父组件不需要用到这个组件,父组件还是会重新render,可能会有效率影响,或者需要写复杂的shouldComponentUpdate进行判断。

约束性组件( controlled component)与非约束性组件( uncontrolled component)有什么区别?

在 React中,组件负责控制和管理自己的状态。 如果将HTML中的表单元素( input、 select、 textarea等)添加到组件中,当用户与表单发生交互时,就涉及表单数据存储问题。根据表单数据的存储位置,将组件分成约東性组件和非约東性组件。 约束性组件( controlled component)就是由 React控制的组件,也就是说,表单元素的数据存储在组件内部的状态中,表单到底呈现什么由组件决定。 如下所示, username没有存储在DOM元素内,而是存储在组件的状态中。每次要更新 username时,就要调用 setState更新状态;每次要获取 username的值,就要获取组件状态值。

class App extends Component {
  //初始化状态
  constructor(props) {
    super(props);
    this.state = {
      username: "有课前端网",
    };
  }
  //查看结果
  showResult() {
    //获取数据就是获取状态值
    console.log(this.state.username);
  }
  changeUsername(e) {
    //原生方法获取
    var value = e.target.value;
    //更新前,可以进行脏值检测
    //更新状态
    this.setState({
      username: value,
    });
  }
  //渲染组件
  render() {
    //返回虚拟DOM
    return (
      <div>
        <p>
          {/*输入框绑定va1ue*/}
          <input type="text" onChange={this.changeUsername.bind(this)} value={this.state.username} />
        </p>
        <p>
          <button onClick={this.showResult.bind(this)}>查看结果</button>
        </p>
      </div>
    );
  }
}

非约束性组件( uncontrolled component)就是指表单元素的数据交由元素自身存储并处理,而不是通过 React组件。表单如何呈现由表单元素自身决定。 如下所示,表单的值并没有存储在组件的状态中,而是存储在表单元素中,当要修改表单数据时,直接输入表单即可。有时也可以获取元素,再手动修改它的值。当要获取表单数据时,要首先获取表单元素,然后通过表单元素获取元素的值。 注意:为了方便在组件中获取表单元素,通常为元素设置ref属性,在组件内部通过refs属性获取对应的DOM元素。

class App extends Component {
  //查看结果
  showResult() {
    //获取值
    console.log(this.refs.username.value);
    //修改值,就是修改元素自身的值
    this.refs.username.value = "专业前端学习平台";
    //渲染组件
    //返回虚拟DOM
    return (
      <div>
        <p>
          {/*非约束性组件中,表单元素通过 defaultvalue定义*/}
          <input type="text" ref=" username" defaultvalue="有课前端网" />
        </p>
        <p>
          <button onClick={this.showResult.bind(this)}>查看结果</button>
        </p>
      </div>
    );
  }
}

虽然非约東性组件通常更容易实现,可以通过refs直接获取DOM元素,并获取其值,但是 React建议使用约束性组件。主要原因是,约東性组件支持即时字段验证,允许有条件地禁用/启用按钮,强制输入格式等。