Web入门
在学习web开发之前,我们需要了解什么是web,以及web开发在其中扮演的角色。
什么是网络(Web),什么是互联网(Internet)?
当两台电脑需要通信的时候,你必须要连接他们,无论通过有线方式 (通常是网线) 还是无线方式(比如 WiFi 或 蓝牙 )。所有现代电脑都支持这些连接。
这里这展示有线连接的网络,无线连接也是一样的原理。
如果需要将多台电脑连接起来,通过两两相连的方式,就需要更多的网络:
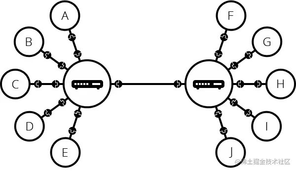
为了解决这个问题,网络直接可以设计一个中转站路由器(router),它只做一件事:转发网络数据。比如将电脑A的信息转发给电脑B,同样也能将电脑B的信息转发给电脑A,就像这样:
这样,网络的布局已经好了很多了,但是当电脑数量增多,物理距离变远,一台路由器显然无法满足,那么我们可以增加多台路由器来简化模型:
我们把电脑连接路由器,接着路由器连接路由器,我们就会有无穷的规模。
这样网络越来越接近我们所说的互联网,但是我们遗漏了一些东西。当我们的电脑已经相互连接连接起来之后,我们如何相互交流呢?为了连接电话这种网络我们需要一种基础设备叫做调制解调器(modem),调制解调器可以把网络信息变成电话设施可以处理的信息,反之亦然。
这样,我们可以通过电话基础设施相互连接。下一步是把信息从我们的网络发送到我们想要到达的地方。为了做这些,我们需要把我们的网络连接到互联网服务提供商(ISP)。ISP 是一家可以管理一些特殊的路由器的公司,这些路由器连接其他 ISP 的路由器。你的网络消息可以被 ISP 捕获并发送到相应的网络。互联网就是由这些所有的网络设施所组成。
如果你想给一台电脑发送一条信息,你必须指明它是哪台电脑。因此,任何连接到网络中的电脑都需要有一个唯一的地址来标记它,叫做 "IP 地址" (IP 代表网络协议)。这个地址由四部分被点分隔的数字序列组成,比如:192.168.2.10。
对于电脑这样已经很好了,但是人类却很难记忆这一串地址。为了简单处理,我们给 IP 地址取一个容易阅读的别名:域名。比如,google.com 被用于 IP 地址 172.217.7.14。这样我们通过这些域名可以很容易的通过网络连接到电脑。
当我们通过浏览器上网的时候,我们通常是用域名去到达一个网站,那么,互联网(Internet)和网络(web)是否就是一个东西?我们可以粗略的这样认为,但实际上,互联网是一种基础技术,它允许我们把成千上万的电脑连接在一起,互联网是基础设施,而网络是建立在这种基础设施之上的服务,即我们所说的万维网:
web(World Wide Web)即全球广域网,也称为万维网,它是一种基于超文本和HTTP的、全球性的、动态交互的、跨平台的分布式图形信息系统。web(World Wide Web)即全球广域网,也称为万维网,它是一种基于超文本和HTTP的、全球性的、动态交互的、跨平台的分布式图形信息系统。
这一套系统中就涉及了各种为了实现最终信息传递的技术:网络连接、网络传输协议、域名解析、HTTP超文本传输协议等等。
为了让信息能够在互联网中自由穿梭,各种规范协议是其稳定运行的基础,而这里的信息,也就是我们看到的各种网页、邮件等等服务,以及看不到的网络拨号等等。
而Web开发,就是为实现这些信息传输服务而进行的一系列编程工作。其中,最为常见、应用最为广泛的就是网页的开发,即我们常说的web前端(front end)。
一个网页包含了什么
互联网的出现,让信息爆炸式发展,随着计算机的出现和逐步的普及,信息对整个社会的影响逐步提高到一种绝对重要的地位。信息量、信息传播的速度、信息处理的速度以及应用信息的程度等都以几何级数的方式在增长。
而这些网络传播的信息,绝大部分都以网页(Web Page)的形式展现在人们眼前,人类从原子时代进入了信息时代。
如今的网页五花八门,不仅可以浏览信息,也能进行各种复杂计算,为人们提供了各种便利。
但网页再复杂,也不外乎文字、图片、声音、视频等各种媒体信息,**如何将这些媒体信息组织起来,并呈现出不同的网页效果呢?**这就需要专门定义一种的语言来规定这些媒体信息的组织逻辑,即html语言。
HTML英文全称是 Hyper Text Markup Language,即超文本标记语言。HTML是由Web的发明者 [Tim Berners-Lee](baike.baidu.com/item/Tim Berners-Lee/1836386?fromModule=lemma_inlink)和同事 Daniel W. Connolly于1990年创立的一种标记语言,它是标准通用化标记语言SGML的应用。用HTML编写的超文本文档称为HTML文档。
HTML不算是一种真正意义上的编程语言,只能算是一种记录网页媒体信息的特定文档。
那何为编程语言呢?
何为编程语言
编程语言(programming language)?可以简单为计算机和人类之间进行交流的语言,好比不同不同国家的人通过不同的语言交流,计算机虽然只是人类发明的一种工具,但由于其底层构造的特殊性:当计算机工作的时候,电路通电工作,于是每个输出端就有了电压。电压的高低通过模数转换即转换成了二进制:高电平是由1表示,低电平由0表示。也就是说将模拟电路转换成为数字电路。
17世纪至18世纪的德国数学家莱布尼茨,是世界上第一个提出二进制记数法的人。用二进制记数,只用0和1两个符号,无需其他符号 ,逢2进1。
数字电子电路中,逻辑门的实现直接应用了二进制,现代的计算机和依赖计算机的设备里都使用二进制。所以说二进制的语言是计算机语言的本质。
计算机发明之初,人们为了去控制计算机完成自己的任务或者项目,只能去编写“0”、“ 1”这样的二进制数字串去控制电脑,其实就是控制计算机硬件的高低电平或通路开路,这种语言就是机器语言,也就是第一代编程语言。
不难看出机器语言作为一种编程语言, 灵活性较差可阅读性也很差,为了减轻机器语言带给软件工程师的不适应,人们对机器语言进行了升级和改进:用一些容易理解和记忆的字母,单词来代替一个特定的指令。通过这种方法,人们很容易去阅读 已经完成的程序或者理解程序正在执行的功能,对现有程序的bug修复以及运营维护都变得更加简单方便,这种语言就是我们所说的汇编语言, 即第二代计算机语言。
比起机器语言,汇编语言具有更高的机器相关性,更加便于记忆和书写,但又同时保留了机器语言高速度和高效率的特点。汇编语言仍是面向机器的语言,很难从其代码上理解程序设计意图,设计出来的程序不易被移植,故不像其他大多数的高级计算机语言一样被广泛应用。所以在高级语言高度发展的今天,它通常被用在底层,通常是程序优化或硬件操作的场合。
在编程语言经历了机器语言,汇编语言等更新之后,人们发现了限制程序推广的关键因素——程序的可移植性。需要设计一个能够不依赖于计算机硬件,能够在不同机器上运行的程序。这样可以免去很多编程的重复过程,提高效率,同时这种语言又要接近于数学语言或人的自然语言。在计算机还很稀缺的50年代,诞生了第一个高级编程语言。当时计算机的造价不菲,但是每天的计算量又有限,如何有效的利用计算机有限的计算能力成为了当时人们面对的问题。同时,因为资源的稀缺, 计算机的运行效率也成为了那个年代工程师追寻的目标。为了更高效的使用计算机,人们设计出了高级编程语言,来满足人们对于高效简洁的编程语言的追求。
随着计算机的发展,其计算能力的逐步提高,编程语言的发展也让这种强大的计算能力得到发挥,成为人类新时代生产力的代表。
前端三剑客
上面说到HTML其实只是一种用来编写网页的文档,但实际上网页的发展离不开另外两种语言,CSS和JavaScript。
CSS
CSS,英文全称:Cascading Style Sheets,即层叠样式表,是专门用来修饰HTML文档的一种样式表,CSS 能够对网页中元素位置的排版进行像素级精确控制,支持几乎所有的字体字号样式,拥有对网页对象和模型样式编辑的能力。
1990年,Tim Berners-Lee和Robert Cailliau共同发明了Web。1994年,Web真正走出实验室。从HTML被发明开始,样式就以各种形式存在。不同的浏览器结合它们各自的样式语言为用户提供页面效果的控制。最初的HTML只包含很少的显示属性。
随着HTML的成长,为了满足页面设计者的要求,HTML添加了很多显示功能。但是随着这些功能的增加,HTML变的越来越杂乱,而且HTML页面也越来越臃肿。于是CSS便诞生了。
CSS的出现,让HTML专注于页面结构和内容的表达,而CSS则专注于网页样式,让同样内容的网页展现出千变万化的能力。比如说,网页需要如何布局,网页需要什么样的背景色,需要什么样的字体,各种复杂特效都可以交给CSS来完成。
JavaScript
而JavaScript是什么做什么的呢,JavaScript(简称“JS”) 是一种具有函数优先的轻量级,解释型或即时编译型的编程语言。相对于HTML和CSS这种”文档“语言,JS是真正意义上的高级编程语言。
JavaScript作为一种脚本语言,可以嵌入HTML文档中以实现静态界面的各种交互效果,让网页具备除了展示信息的基本功能外更多可交互的功能:比如动态更新网页信息、监听用户的鼠标、键盘等动作,并动态做出响应。
编程任务
作为一个程序员,需要了解各种各样的概念,但我觉得更重要的是,需要动手写出来,并让写出来的代码能在计算机上执行出你需要的效果。
下面是会介绍HTML、CSS的基础知识,并介绍三种语言如何组织起来,来展现出一个真实的网页。(这里暂不介绍JS,因为我们现在只需要实现网页的传递信息的基本功能就够了)。
HTML做了什么?
HTML中文名超文本标记语言,是用来定义网页内容和结构的语言。何谓标记语言?标记语言,就是一种将文本以及文本相关的其他信息结合起来,展现出关于文档结构和数据处理细节的电脑文字编码。
有点拗口,简单来说,就是用特定的标记来标识特定的含义,比如在html文档中,h1用来标识一级标题,p用来标记一个段落。这样的标记称之为标签,而html文档就是由这些不同含义的标签组合起来的。
html标签
HTML的标签有特定的结构,比如我们需要在网页中写一个段落文子,就可以使用段落标签p来这样标识:
<p>My name is Jinx, I am 18 years old.</p>
其中,p标签我们使用了<>和</>包裹起来,这分别叫起始标签和结束标签,用来标识标签的开始和结束,而标签内部的文字就是标签内容,这就是标签的基本结构:
<开始标签>标签内容</结束标签>
标签标识(比如上面的p)用于表示这段信息的意义,p就表示段落(paragraph的缩写),不会直接显示在网页上。
标签内容就表示标签内实际的信息,比如上面的My name is Jinx, I am 18 years old.,就是这个段落的实际内容,会直接展示到网页上。
html文档的基本结构
html除了标签有基本结构,整个文档也是有基本结构的,我们需要熟记它,这是html文档的固定结构:
<!DOCTYPE html>
<html>
<head>
<meta charset="utf-8">
<title>Page Tile</title>
</head>
<body>
</body>
</html>
可以看到,这个html文档有很多标签组成。先看第一句:
<!DOCTYPE html>
这是文档类型的标记,DOCTYPE是文档类型的意思,这句代码的意思就是:这个文档的文档类型为html。
我们看下一句,也是第一个用到的标签html:
<html>
...
</html>
这是整个html文档的开始标签和结束标签,表示这个html文档的开始和结束。
在html标签内,有两个子标签:head和body:
<head>
...
</head>
<body>
...
</body>
head是头的意思,表示html文档的头部,body是身体的意思,表示html文档的内容区域。
然后再看head标签内的meta标签,这是专门用于记录html文档信息的一种标签,此处暂时不需要深入了解。(另外,你可能注意到这个标签没有结束标签,这是没问题的,在html中某些特殊标签是不需要结束的,因为这些标签不需要标签内容,自然不需要写结束标签,当然,你写了结束标签也没有任何问题)
最后还有一个title标签,title是标题的意思,这个标签自然就表示html文档的标题,也就是网页中,会显示在标签页上的那段文字:
如果我们需要编写网页内容,就在body标签内编写需要的标签即可,比如我们需要用网页展示一首李商隐的古诗:
无题
昨夜星辰昨夜风,画楼西畔桂堂东。
身无彩凤双飞翼,心有灵犀一点通。
隔座送钩春酒暖,分曹射覆蜡灯红。
嗟余听鼓应官去,走马兰台类转蓬。
我们可以直接将这段文字复制到body标签内看看效果。
为了在本地能直接预览效果,我们复制上面的代码到一个新建的文档中,将文档后缀改为.html,然后用浏览器打开,就能看到网络上看到的网页的实际效果:
<!DOCTYPE html>
<html>
<head>
<meta charset="utf-8">
<title>Page Tile</title>
</head>
<body>
无题
昨夜星辰昨夜风,画楼西畔桂堂东。
身无彩凤双飞翼,心有灵犀一点通。
隔座送钩春酒暖,分曹射覆蜡灯红。
嗟余听鼓应官去,走马兰台类转蓬。
</body>
</html>
用浏览器打开后,我们发现,显示的网页是这样的:
我们发现,所有文字都跑到一行去了,这不是我们设想的效果,我们喜欢文字有换行效果,看起来更像是一首古诗,而换行我们可以用段落标签<p>来实现(当然也有很多换行效果的标签,这里用段落也符合我们的需求),而标题我们用表示标题的标签h1来实现,这样,body内的代码就变成了这样:
<body>
<h1>无题</h1>
<p>昨夜星辰昨夜风,画楼西畔桂堂东。</p>
<p>身无彩凤双飞翼,心有灵犀一点通。</p>
<p>隔座送钩春酒暖,分曹射覆蜡灯红。</p>
<p>嗟余听鼓应官去,走马兰台类转蓬。</p>
</body>
保存本地文档,刷新浏览器,就能看到显著的变化:

很明显,这个网页已经有诗歌的结构和样式了,这就是标签的真正意义:为内容赋予特定的意义。
好比无题这两个字用h1标签标识后,无题就是一个标题了,就不是一个普通的文字了,浏览器自然会将这两个文字解析为标题的样子,并展现到你的屏幕上。另外四句诗句也是一样的道理,因为有了p标签的标识,就有了段落的效果,浏览器就会将这些段落文字换行显示。
现在,我们再来回忆一下html的定义:超本文标记语言,就能知道为何叫标记语言了,至于为何是超文本,我的理解是这些网页信息已经超越了我们日常所见的文字,网页不只是能展现文字,还能展示图片、声音、视频等媒体信息,因此称为超文本。
html内置的标签还有很多,能满足我们不同的需求,这里不再赘述,后面会慢慢学到。
CSS做了什么?
当我们的html写好之后,可能会略显单调,因为我们平常所见的网页都是五光十色,绚丽多姿的,而CSS(层叠样式表)就是专门用来处理网页样式的一种语言。
既然是一种语言,就有一定的规范,css也是如此,我们要为网页定义样式,首先需要定位到网页上的具体目标,比如我希望修改上文网页中标题的颜色,首先需要定位到这个标题,这个标题使用的标签为h1,在css中,可以直接用标签名来定位标签,所以可以直接这样定位:
h1
定位到这个h1标签后,我们就要修改样式,这里我们需要修改文字颜色,我们需要使用特定的语法标记来实现,比如定义字体颜色的标识为color,颜色值可以用英文中的各种颜色值,如red(红色)、blue(蓝色)、yellow(黄色)等等。这样,css代码就可以这样写:
h1 {color: red}
前面的h1用来定位网页中标签的位置,称为选择器。
后面color: red用来设置文字的颜色,称为样式声明。样式声明要用{}包裹起来,如果有多条样式声明,需要用;分隔开。
而css就是这样一条一条语句组成的代码,基本结构就是:
选择器 {样式名: 样式值; 样式名: 样式值;}
写好的选择器可以内嵌到html文档的style样式标签中,style一般放在head标签内,就像这样:
<!DOCTYPE html>
<html>
<head>
<meta charset="utf-8">
<title>Page Tile</title>
<style>
h1 {color: blue;}
</style>
</head>
<body>
<h1>无题</h1>
<p>昨夜星辰昨夜风,画楼西畔桂堂东。</p>
<p>身无彩凤双飞翼,心有灵犀一点通。</p>
<p>隔座送钩春酒暖,分曹射覆蜡灯红。</p>
<p>嗟余听鼓应官去,走马兰台类转蓬。</p>
</body>
</html>
然后我们刷新一下网页,就可以看到标题颜色发生了变化:
比如我们需要将诗句的颜色换成绿色,也是一样的思路。首先,定位到诗句的位置,诗句使用的是p标签,所以选择器就是p(会定位到html内所有的p标签),修改颜色的样式名为color,颜色值为green,所以,完整的样式声明为:
p {color: green;}
我们将这个句子放到style标签中,再刷新网页,就能看到这样的效果:
除了颜色,能定义样式的样式名也有很多,这里同样不展开赘述,后续再深入了解。
现在,我们需要自己动手实现上文所展示的网页效果,并理解这些代码所起到的作用。