数据分析作业_手写

399 阅读1分钟

第1章 数据描述性分析

第2章 非参数秩方法

手写:2.1(1)、2.7(1)、2.9(n=4)

image.png

image.png

image.png

image.png

image.png

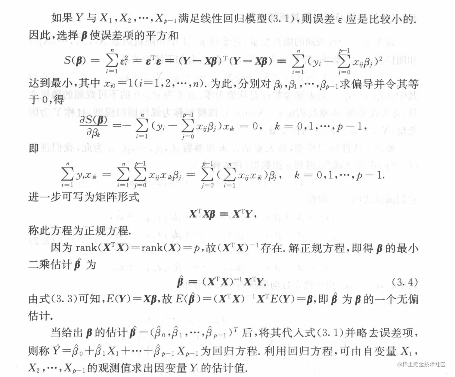
第3章 回归分析

手写:3.1

image.png (1)

image.png

image.png 注:本题X只有两列,即p为2. image.png (2)

image.png

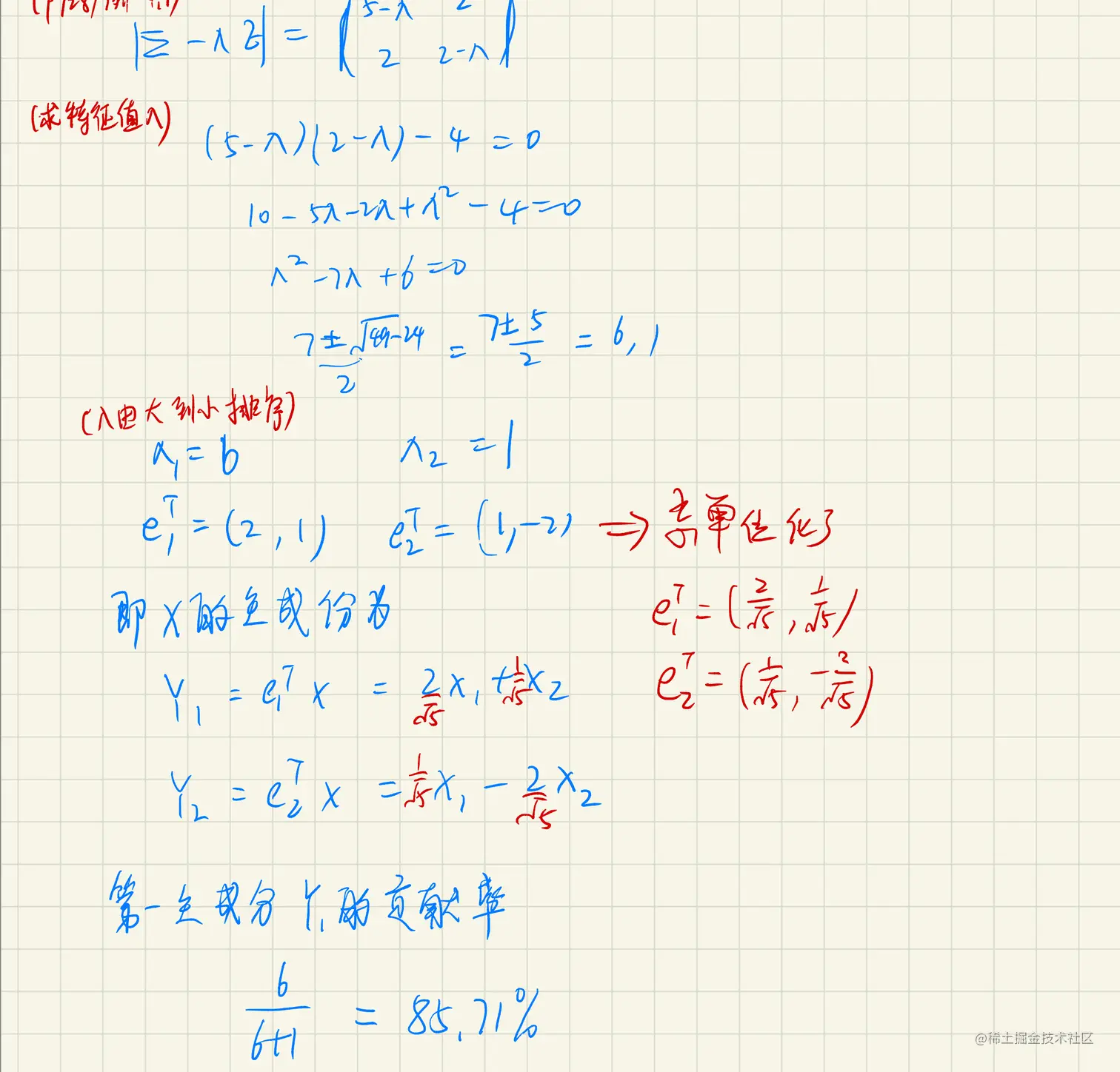
第4章 主成分分析与因子分析

手写:4.1、4.3

image.png

image.png

image.png

cb11d97a2033ce6b451f0a568a2807b.jpg

69b06bdc166e0df7ee504c44ee6de66.jpg

第5章 判别分析

手写:5.5、5.6

image.png

image.png 求矩阵的逆矩阵

一般法

image.png 公式法

image.png

image.png

image.png

第6章 聚类分析

手写:6.4、6.6

image.png

image.png

image.png

image.png 参考例题 image.png

参考公式 image.png

image.png

image.png

21年期末试题补充部分

1.计算马氏平方距离

image.png

image.png

image.png

2.求相应的相关矩阵

image.png

image.png

对于如下矩阵

image.png

协方差

image.png 相关矩阵

image.png image.png

3.次序量、中位数、极差

image.png