Python习题七

320 阅读3分钟

7-1 基础数据类型的输入(3)字符型

在最初问候了“Hello World!”之后,我们接触了C语言的若干基本数据类型,我们逐个打声招呼吧。然后是字符型数据。要求:输入三个字符数据。

输入格式:

输入三个字符数据。

输出格式:

按照格式输出。

输入样例:

在这里给出一组输入。例如:

xyz

输出样例:

在这里给出相应的输出。例如:

hello , x , y and z!

代码长度限制 16 KB

时间限制 1000 ms

内存限制 64 MB

参考答案

#方法一
a=input()
print("hello , {} , {} and {}!".format(a[0],a[1],a[2]))
#方法二
a,b,c=input()
print("hello , {} , {} and {}!".format(a,b,c))

7-2 基础数据类型的输入(2)浮点型

在最初问候了“Hello World!”之后,我们接触了C语言的若干基本数据类型,我们逐个打声招呼吧。再来是浮点型数据。要求:输入两个浮点数据,输出的格式为保留小数点后两位。

输入格式:

两个浮点数。

输出格式:

按照样例输出。

输入样例:

在这里给出一组输入。例如:

1.414 1.732

输出样例:

在这里给出相应的输出。例如:

hello , 1.41 and 1.73!

代码长度限制 16 KB

时间限制 1000 ms

内存限制 64 MB

参考答案

#方法一
a=list(map(float,input().split(" ")))
print("hello , {:.2f} and {:.2f}!".format(a[0],a[1]))
#方法二
a,b=map(eval,input().split())
print("hello , {:.2f} and {:.2f}!".format(a,b))

7-3 又见A+B(1)

求两个整数之和。

输入格式:

首先输入一个正整数T,表示测试数据的组数,然后是T组测试数据。每组测试输入两个整数a、b。

输出格式:

对于每组测试,输出一行,包含一个整数,表示a、b之和。

输入样例:

3
1 2
3 4
5 6

输出样例:

3
7
11

代码长度限制 16 KB

时间限制 1000 ms

内存限制 64 MB

参考答案

#方法一
a=int(input())
for i in range(a):
    b=list(map(int,input().split(" ")))
    print(b[0]+b[1])
#方法二
n=int(input())
for i in range(n):
    a,b=map(int,input().split())
    print(a+b)

7-4 输入输出练习(2)

测试数据有多组,处理到文件尾。每组测试求n个整数之和。

输入格式:

测试数据有多组,处理到文件尾。每组测试数据在一行上先输入数据个数n,然后再输入n个整数,数据之间以一个空格间隔。

输出格式:

对于每组测试,在一行上输出n个整数之和。

输入样例:

4 1 2 3 4
5 1 8 3 4 5

输出样例:

10
21

代码长度限制 16 KB

时间限制 1000 ms

内存限制 64 MB

参考答案

#方法一
while True:
    try:
        a=list(map(int,input().split(" ")))
        a.pop(0)
        print(sum(a))
    except:
        break
#方法二
while True:
    try:
        x=list(map(int,input().split()))
        print(sum(x[1:]))
    except:
        break

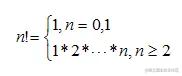
7-5 求n!

image.png

输入格式:

首先输入一个正整数T,表示测试数据的组数,然后是T组测试数据。每组测试数据输入一个正整数n(n≤12)。

输出格式:

对于每组测试,输出整数n的阶乘。

输入样例:

1
5

输出样例:

120

代码长度限制 16 KB

时间限制 1000 ms

内存限制 64 MB

参考答案

#方法一
def su(n):
    if n <1:
        return 1
    else:
        return n*su(n-1)
a=int(input())
for i in range(a):
    b=int(input())
    print(su(b))
#方法二
def jc(n):
    if n==0 or n==1:
        return 1
    else:
        return n*jc(n-1)

t=int(input())

for i in range(t):
    n=int(input())
    print(jc(n))

7-6 奇数的和

输入n,求[1,n]范围内的所有奇数之和。

输入格式:

测试数据有多组。每组测试数据输入一个整数n(0<n<1000)。若n=0,则输入结束。

输出格式:

对于每组测试,求[1,n]中的奇数之和。

输入样例:

10
9
0

输出样例:

25
25

代码长度限制 16 KB

时间限制 1000 ms

内存限制 64 MB

参考答案

#方法一
while True:
    try:
        a=int(input())
        if a == 0:
            break
        else:
            sum=0
            for i in range(1,a+1):
                if i % 2 !=0:
                    sum+=i
            print(sum)
    except:
        break
#方法二
while True:
    n=int(input())
    if n==0:
        break
    else:
        print(sum(range(1,n+1,2)))

7-7 分苹果 - 实验3 简单的计算及输入输出

现有n个苹果,均分给5位同学,剩下的苹果交还老师。请编写程序,解决下述问题:

  1. 每位同学能分得几个苹果?
  2. 一共分出去多少个苹果?
  3. 交还老师的苹果有几个?

输入样例:

输入苹果总数n。例如:

17

输出样例:

每人分得3个苹果.
一共分出去15个苹果.
交还老师2个苹果.

代码长度限制 16 KB

时间限制 1000 ms

内存限制 64 MB

参考答案

#方法一
n=int(input())
a=n%5
b=n-a
c=b/5
print("每人分得{:.0f}个苹果.\n一共分出去{}个苹果.\n交还老师{}个苹果.".format(c,b,a))
#方法二
n=int(input())

print("每人分得{}个苹果.".format(n//5))
print("一共分出去{}个苹果.".format(n//5*5))
print("交还老师{}个苹果.".format(n-n//5*5))

7-8 橡皮泥 - 实验3 简单的计算及输入输出

将两块球形橡皮泥揉在一起,捏成一个正方体。请编程,完成下述功能:

  1. 从键盘读入第1个球形橡皮泥的直径,该直径为浮点数;
  2. 从键盘读入第2个球形橡皮泥的直径,该直径仍为浮点数;
  3. 求正方体的边长,并保留两位小数输出;

输入格式:

第一个球的直径

第二个球的直径

输出格式:

请参考输出样例。

输入样例:

3.2
5.553

输出样例:

正方体边长为:4.74.

提示:圆球的体积 V = 4/3 * π r3

代码长度限制 16 KB

时间限制 1000 ms

内存限制 64 MB

参考答案

#方法一
a=float(input())
b=float(input())
V1 = (4/3) * (3.1415)*((a/2)**3)
V2= (4/3) * (3.1415)*((b/2)**3)
V3=V1+V2
l=pow(V3, 1/3)
print("正方体边长为:%.2f."%l)
#方法二
import math
r1=eval(input())/2
r2=eval(input())/2
v1=4/3* math.pi *r1**3
v2=4/3* math.pi *r2**3
print("正方体边长为:{:.2f}.".format(pow((v1+v2),1/3)))

7-9 简单print输出 - 实验2 神奇的print

请使用print( )函数在屏幕上输出输出样例所示的内容,限一行代码。

输入样例:

说明:本题无输入。

输出样例:

刘慈欣在小说《三体》中写道:"不要轻视简单,简单意味着坚固,
整个数学大厦,都是建立在这种简单到不能再简单,但在逻辑上坚如
磐石的公理的基础上。"

代码长度限制 16 KB

时间限制 1000 ms

内存限制 64 MB

参考答案

#方法一
print('''刘慈欣在小说《三体》中写道:"不要轻视简单,简单意味着坚固,
整个数学大厦,都是建立在这种简单到不能再简单,但在逻辑上坚如
磐石的公理的基础上。"''')
#方法二
print('刘慈欣在小说三体中写道:"不要轻视简单,简单意味着坚固,\n整个数学大厦,都是建立在这种简单到不能再简单,但在逻辑上坚如\n磐石的公理的基础上。"')

7-10 象限判定 - 实验6 条件与分支

image.png

[平面坐标系象限图]

请编程实现下述功能:

  1. 使用代码x,y = eval(input())从键盘读入不为零的两个坐标值(浮点数);注意两个坐标值应使用英文逗号分隔;
  2. 结合上图,判定点(x,y)所在的象限。

说明:程序约定x和y值不为0。

输入格式:

x,y

输出格式:

第1象限 或 第2象限 或 第3象限 或 第4象限

输入样例:

15.2,-11.3

输出样例:

第4象限

代码长度限制 16 KB

时间限制 1000 ms

内存限制 64 MB

参考答案

#方法一
x,y = eval(input())
if x >0:
    if y>0:
        print("第1象限")
    elif y <0:
        print("第4象限")
if x <0:
    if y>0:
        print("第2象限")
    elif y <0:
        print("第3象限")
#方法二
a,b=map(eval,input().split(","))
if a>0 and b>0:
    print("第1象限")
elif a>0 and b<0:
    print("第4象限")
elif a<0 and b<0:
    print("第3象限")
elif a<0 and b>0:
    print("第2象限")