第一章 行列式

299 阅读3分钟

第一章 行列式

二阶与三阶行列式

  1. 二阶行列式
    在这里插入图片描述
  2. 三阶行列式
    在这里插入图片描述

全排列和对换

排列及其逆序数

  1. 把 n 个不同的元素排成一列,叫做这 n 个元素的全排列
  2. 逆序
    2.1 一个排列中所有逆序的总数叫做这个排列的逆序数
    2.2 逆序数为奇数的排列叫奇排列
    2.3 逆序数为偶数的排列叫偶排列
    在这里插入图片描述

对换

定理1 一个排列中的任意两个元素对换,排列改变奇偶性

还是要强调一下排列是n个不同元素,不存在有两个相同的数在同一个排列中

推论 奇排列对换成标准排列的对换次数为奇数,偶排列对换成标准排列的对换次数为偶数

n阶行列式的定义

在这里插入图片描述
在这里插入图片描述

  1. 一些注解
    1.1 n阶行列式是由n! 项组成的(利用对角线法就可以清楚的看出来)
    1.2 行列式一定是 n * n(n >= 1),不存在 m * n(m ≠ n)
    1.3 当 n = 1,|a| = a,不要与绝对值混淆
  2. 特殊的行列式
    2.1
    在这里插入图片描述
    2.2 范德蒙行列式
    在这里插入图片描述
    在这里插入图片描述
    2.3 拉普拉斯行列式
    在这里插入图片描述

行列式的性质⭐

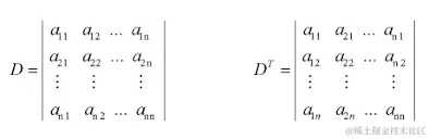
  1. 转置行列式
    在这里插入图片描述

性质1 行列式与它的转置行列式相等

性质2 对换行列式的两行(列),行列式变号

推论 如果行列式有两行(列)完全相同,则此行列式等于零

性质3 行列式的某一行(列)中所有元素都乘同一数k,等于用数k乘该行列式
在这里插入图片描述
推论 行列式中某一行(列)的所有元素的公因子可以提到行列式记号的外面

性质4 行列式中如果有两行(列)元素成比例,则此行列式等于零

性质5 若行列式的某一行(列)的元素都是两数之和,则此行列式可按该行(列)拆成两个行列式之和
在这里插入图片描述
性质6 把行列式的某一行(列)的各元素乘同一数然后加到另一行(列)对应的元素上去,行列式不变

各性质的证明过程

行列式按行(列)展开⭐

  1. 余子式
    在n阶行列式中,划去 元aij 所在的第 i 行与第 j 列的元,剩下的元不改变原来的顺序所构成的 n-1 阶行列式称为 元aij 的余子式。记作:
    在这里插入图片描述
  2. 代数余子式
    在这里插入图片描述
    引理 一个 n 阶行列式,如果其中第 i 行所有元素除 (i, j)元aij 外都为零,那么这行列式等于 aij 与它的代数余子式的乘积,即 D = aij * Aij
  3. 行列式按行(列)展开
    定理2 行列式等于它的任一行(列)的各元素与其对应的代数余子式乘积之和
D = ai1Ai1 + ai2Ai2 + ... + ainAin (i=1,2,3,......n)
D = a1jA1j + a2jA2j + ... + anjAnj (j=1,2,3,......n)

推论 行列式某一行(列)的元素与另一行(列)的对应元素的代数余子式乘积之和等于零