【数据结构与算法】有向图的拓扑排序

2,043 阅读4分钟

数据结构与算法系列学习笔记

前言

在现实生活中,我们经常会同一时间接到很多任务去完成,但是这些任务的完成是有先后次序的。以我们学习java

学科为例,我们需要学习很多知识,但是这些知识在学习的过程中是需要按照先后次序来完成的。从java基础,到

jsp/servlet,到ssm,到springboot等是个循序渐进且有依赖的过程。在学习jsp前要首先掌握java基础和html基

础,学习ssm框架前要掌握jsp/servlet之类才行。

为了简化问题,我们使用整数为顶点编号的标准模型来表示这个案例:

此时如果某个同学要学习这些课程,就需要指定出一个学习的方案,我们只需要对图中的顶点进行排序,让它转换为一个线性序列,就可以解决问题,这时就需要用到一种叫拓扑排序的算法。

拓扑排序介绍

给定一副有向图,将所有的顶点排序,使得所有的有向边均从排在前面的元素指向排在后面的元素,此时就可以明确的表示出每个顶点的优先级。下列是一副拓扑排序后的示意图:

检测有向图中的环

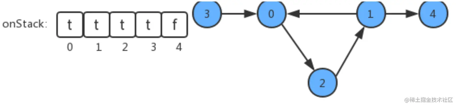
如果学习x课程前必须先学习y课程,学习y课程前必须先学习z课程,学习z课程前必须先学习x课程,那么一定是有问题了,我们就没有办法学习了,因为这三个条件没有办法同时满足。其实这三门课程x、y、z的条件组成了一个环:

因此,如果我们要使用拓扑排序解决优先级问题,首先得保证图中没有环的存在。

实现思路

在API中添加了onStack[] 布尔数组,索引为图的顶点,当我们深度搜索时:

  1. 在如果当前顶点正在搜索,则把对应的onStack数组中的值改为true,标识进栈;
  2. 如果当前顶点搜索完毕,则把对应的onStack数组中的值改为false,标识出栈;
  3. 如果即将要搜索某个顶点,但该顶点已经在栈中,则图中有环;

API设计

类名DirectedCycle
成员变量1.private boolean[] marked: 索引代表顶点,值表示当前顶点是否已经被搜索2.private boolean hasCycle: 记录图中是否有环3.private boolean[] onStack:索引代表顶点,使用栈的思想,记录当前顶点有没有已经处于正在搜索的有向路径上
构造方法DirectedCycle(Digraph G):创建一个检测环对象,检测图G中是否有环
成员方法1.private void dfs(Digraph G,int v):基于深度优先搜索,检测图G中是否有环2.public boolean hasCycle():判断图中是否有环

代码实现

/**
 * 有向图是否存在环
 *
 * @author alvin
 * @date 2022/11/2
 * @since 1.0
 **/
public class DirectedCycle {
    //索引代表顶点,值表示当前顶点是否已经被搜索
    private boolean[] marked;
    //记录图中是否有环
    private boolean hasCycle;
    //索引代表顶点,使用栈的思想,记录当前顶点有没有已经处于正在搜索的有向路径上
    private boolean[] onStack;

    //创建一个检测环对象,检测图G中是否有环
    public DirectedCycle(Digraph G){
        //初始化marked数组
        this.marked = new boolean[G.V()];
        //初始化hasCycle
        this.hasCycle = false;
        //初始化onStack数组
        this.onStack = new boolean[G.V()];

        //找到图中每一个顶点,让每一个顶点作为入口,调用一次dfs进行搜索
        for (int v =0; v<G.V();v++){
            //判断如果当前顶点还没有搜索过,则调用dfs进行搜索
            if (!marked[v]){
                dfs(G,v);
            }
        }
    }

    //基于深度优先搜索,检测图G中是否有环
    private void dfs(Digraph G, int v){
        //把顶点v表示为已搜索
        marked[v] = true;
        //把当前顶点进栈
        onStack[v] = true;

        for(Integer w: G.adj(v)) {
            //判断如果当前顶点w没有被搜索过,则继续递归调用dfs方法完成深度优先搜索
            if(!marked[w]) {
                dfs(G, w);
            }

            //判断当前顶点w是否已经在栈中,如果已经在栈中,证明当前顶点之前处于正在搜索的状态,那么现在又要搜索一次,证明检测到环了
            if (onStack[w]){
                hasCycle = true;
                return;
            }
        }
        //把当前顶点出栈
        onStack[v] = false;
    }

    //判断当前有向图G中是否有环
    public boolean hasCycle(){
        return hasCycle;
    }
}

基于深度优先的顶点排序

实现思路

如果要把图中的顶点生成线性序列其实是一件非常简单的事,之前我们学习并使用了多次深度优先搜索,我们会发现其实深度优先搜索有一个特点,那就是在一个连通子图上,每个顶点只会被搜索一次,如果我们能在深度优先搜索的基础上,添加一行代码,只需要将搜索的顶点放入到线性序列的数据结构中,我们就能完成这件事。

我们添加了一个栈reversePost用来存储顶点,当我们深度搜索图时,每搜索完毕一个顶点,把该顶点放入到reversePost中,这样就可以实现顶点排序。

API设计

类名DepthFirstOrder
成员变量1.private boolean[] marked: 索引代表顶点,值表示当前顶点是否已经被搜索2.private Stack reversePost: 使用栈,存储顶点序列
构造方法DepthFirstOrder(Digraph G):创建一个顶点排序对象,生成顶点线性序列;
成员方法1.private void dfs(Digraph G,int v):基于深度优先搜索,生成顶点线性序列2.public Stack reversePost():获取顶点线性序列

代码实现

/**
 * 顶点排序
 *
 * @author alvin
 * @date 2022/11/2
 * @since 1.0
 **/
public class DepthFirstOrder {
    //索引代表顶点,值表示当前顶点是否已经被搜索
    private boolean[] marked;
    //使用栈,存储顶点序列
    private Stack<Integer> reversePost;

    //创建一个检测环对象,检测图G中是否有环
    public DepthFirstOrder(Digraph G){
        //初始化marked数组
        this.marked = new boolean[G.V()];
        //初始化reversePost栈
        this.reversePost = new Stack<>();

        //遍历图中的每一个顶点,让每个顶点作为入口,完成一次深度优先搜索
        for (int v = 0;v<G.V();v++){
            if (!marked[v]){
                dfs(G,v);
            }
        }
    }

    //基于深度优先搜索,把顶点排序
    private void dfs(Digraph G, int v){
        //标记当前v已经被搜索
        marked[v] = true;
        //通过循环深度搜索顶点v
        for (Integer w : G.adj(v)) {
            //如果当前顶点w没有搜索,则递归调用dfs进行搜索
            if (!marked[w]){
                dfs(G,w);
            }
        }
        //让顶点v进栈
        reversePost.push(v);
    }

    //获取顶点线性序列
    public Stack<Integer>  reversePost(){
        return reversePost;
    }
}

拓扑排序

前面已经实现了环的检测以及顶点排序,那么拓扑排序就很简单了,基于一幅图,先检测有没有环,如果没有环,则调用顶点排序即可。

API设计

类名TopoLogical
成员变量1.private Stack order: 顶点的拓扑排序
构造方法TopoLogical(Digraph G):构造拓扑排序对象
成员方法1.public boolean isCycle():判断图G是否有环2.public Stack order():获取拓扑排序的所有顶点

代码实现

/**
 * 拓扑排序
 *
 * @author alvin
 * @date 2022/11/2
 * @since 1.0
 **/
public class TopoLogical {
    //顶点的拓扑排序
    private Stack<Integer> order;

    //构造拓扑排序对象
    public TopoLogical(Digraph G) {
        //创建一个检测有向环的对象
        DirectedCycle cycle = new DirectedCycle(G);
        //判断G图中有没有环,如果没有环,则进行顶点排序:创建一个顶点排序对象
        if (!cycle.hasCycle()){
            DepthFirstOrder depthFirstOrder = new DepthFirstOrder(G);
            order = depthFirstOrder.reversePost();
        }
    }

    //判断图G是否有环
    private boolean isCycle(){
        return order==null;
    }

    //获取拓扑排序的所有顶点
    public Stack<Integer> order(){
        return order;
    }
}

测试验证

public class TopoLogicalTest {

    @Test
    public void test() {
        //准备有向图
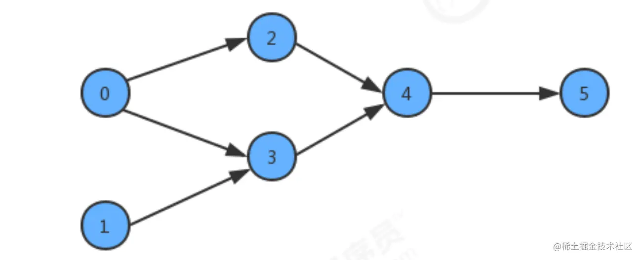
        Digraph digraph = new Digraph(6);
        digraph.addEdge(0,2);
        digraph.addEdge(0,3);
        digraph.addEdge(2,4);
        digraph.addEdge(3,4);
        digraph.addEdge(4,5);
        digraph.addEdge(1,3);

        //通过TopoLogical对象堆有向图中的顶点进行排序
        TopoLogical topoLogical = new TopoLogical(digraph);

        //获取顶点的线性序列进行打印
        Stack<Integer> order = topoLogical.order();
        StringBuilder sb = new StringBuilder();
        while (order.size() != 0) {
            sb.append(order.pop()+"->");
        };
        String str = sb.toString();
        int index = str.lastIndexOf("->");
        str = str.substring(0,index);
        System.out.println(str);
    }
}