链表&双指针-删除链表的倒数第N个结点

29 阅读1分钟

19. 删除链表的倒数第 N 个结点

给你一个链表,删除链表的倒数第 n **个结点,并且返回链表的头结点。

 

示例 1:

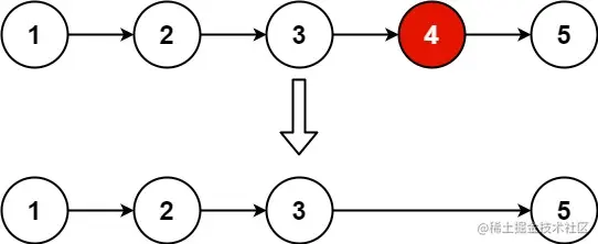
输入: head = [1,2,3,4,5], n = 2
输出: [1,2,3,5]

示例 2:

输入: head = [1], n = 1
输出: []

示例 3:

输入: head = [1,2], n = 1
输出: [1]

 

提示:

  • 链表中结点的数目为 sz
  • 1 <= sz <= 30
  • 0 <= Node.val <= 100
  • 1 <= n <= sz

 

进阶: 你能尝试使用一趟扫描实现吗?

/**
 * Definition for singly-linked list.
 * function ListNode(val, next) {
 *     this.val = (val===undefined ? 0 : val)
 *     this.next = (next===undefined ? null : next)
 * }
 */
/**
 * @param {ListNode} head
 * @param {number} n
 * @return {ListNode}
 */
var removeNthFromEnd = function(head, n) {
  let preLeft = null;
  let left = head;
  let right = head;
  let index = 1;
  while (right) {
    if (index > n) {
      preLeft = left;
      left = left.next ;
    }
    right = right.next;
    index++;
  }

  if (preLeft) {
    preLeft.next = left.next;
  } else {
    head = left.next;
  }
  
  return head;
};