【算法39天:Day39】第九章动态规划 不同路径(62)

121 阅读2分钟

题目一:

image.png

深搜

这道题目,刚一看最直观的想法就是用图论里的深搜,来枚举出来有多少种路径。

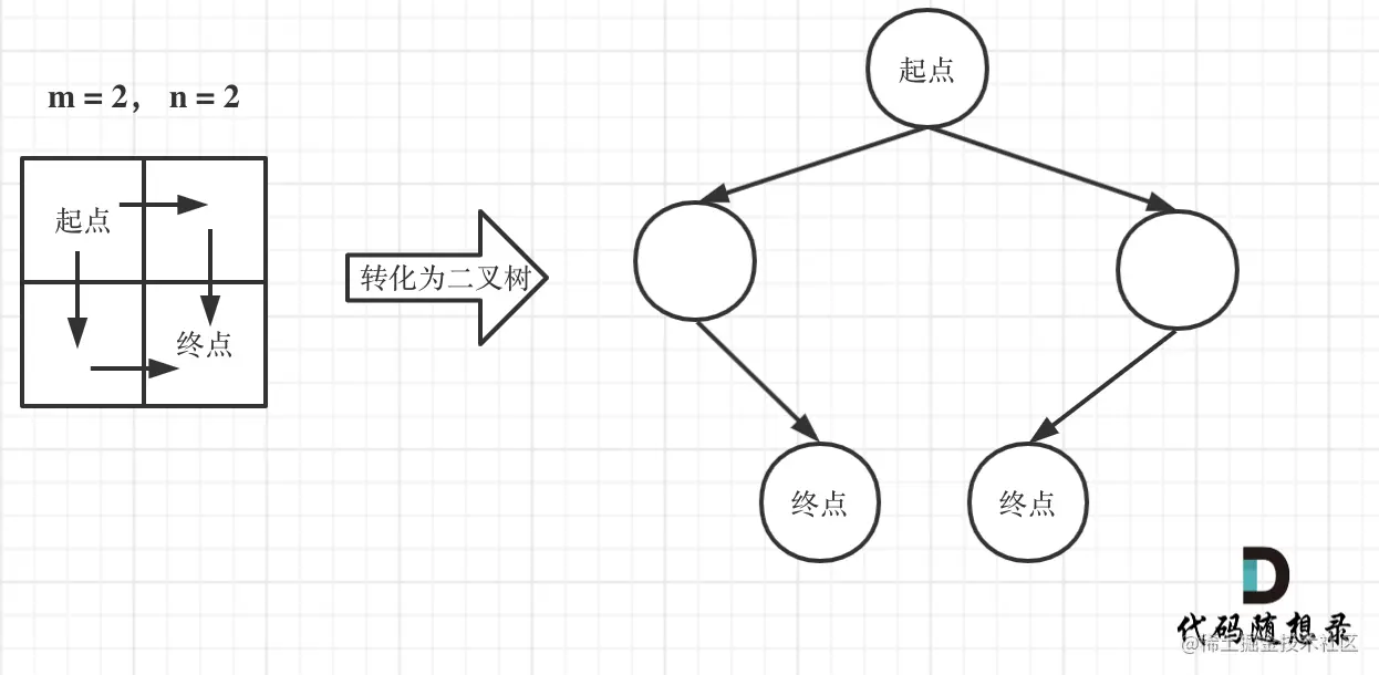
注意题目中说机器人每次只能向下或者向右移动一步,那么其实机器人走过的路径可以抽象为一棵二叉树,而叶子节点就是终点!

如图举例:

62.不同路径

此时问题就可以转化为求二叉树叶子节点的个数,代码如下:

var uniquePaths = function(m, n) {
    const dfs = (i, j, m, n) => {
        if (i > m || j > n) {
            return 0
        }
        if (i == m && j == n) {
            return 1
        }
        return dfs(i + 1, j, m, n) + dfs(i, j + 1, m, n)
    }
    return dfs(1, 1, m, n)
};

大家如果提交了代码就会发现超时了!

来分析一下时间复杂度,这个深搜的算法,其实就是要遍历整个二叉树。

这棵树的深度其实就是m+n-1(深度按从1开始计算)。

那二叉树的节点个数就是 2^(m + n - 1) - 1。可以理解深搜的算法就是遍历了整个满二叉树(其实没有遍历整个满二叉树,只是近似而已)

所以上面深搜代码的时间复杂度为O(2^(m + n - 1) - 1),可以看出,这是指数级别的时间复杂度,是非常大的。

动态规划

机器人从(0 , 0) 位置出发,到(m - 1, n - 1)终点。

按照动规五部曲来分析:

  1. 确定dp数组(dp table)以及下标的含义

dp[i][j] :表示从(0 ,0)出发,到(i, j) 有dp[i][j]条不同的路径。

  1. 确定递推公式

想要求dp[i][j],只能有两个方向来推导出来,即dp[i - 1][j] 和 dp[i][j - 1]。

此时在回顾一下 dp[i - 1][j] 表示啥,是从(0, 0)的位置到(i - 1, j)有几条路径,dp[i][j - 1]同理。

那么很自然,dp[i][j] = dp[i - 1][j] + dp[i][j - 1],因为dp[i][j]只有这两个方向过来。

  1. dp数组的初始化

如何初始化呢,首先dp[i][0]一定都是1,因为从(0, 0)的位置到(i, 0)的路径只有一条,那么dp[0][j]也同理。

所以初始化代码为:

for (let i = 0; i < m; i++) dp[i][0] = 1;
for (let j = 0; j < n; j++) dp[0][j] = 1;
  1. 确定遍历顺序

这里要看一下递归公式dp[i][j] = dp[i - 1][j] + dp[i][j - 1],dp[i][j]都是从其上方和左方推导而来,那么从左到右一层一层遍历就可以了。

这样就可以保证推导dp[i][j]的时候,dp[i - 1][j] 和 dp[i][j - 1]一定是有数值的。

  1. 举例推导dp数组

如图所示:

62.不同路径1

以上动规五部曲分析完毕,JS代码如下:

var uniquePaths = function(m, n) {
    // 表示从(0,0)出发,到(i,j)有dp[i][j]条不同的路径
    const dp = new Array(m).fill(0).map(item => new Array(n).fill(0))
    // dp[i][0]一定都是1,因为从(0, 0)的位置到(i, 0)的路径只有一条,那么dp[0][j]也同理
    for (let i = 0; i < m; i++) {
        dp[i][0] = 1
    }
    for (let j = 0; j < n; j++) {
        dp[0][j] = 1
    }
    for (let i = 1; i < m; i++) {
        for (let j = 1; j < n; j++) {
            // 要求dp[i][j],只能有两个方向来推导出来,即dp[i - 1][j] 和 dp[i][j - 1]。
            dp[i][j] = dp[i - 1][j] + dp[i][j - 1]
        }
    }
    return dp[m-1][n-1]
};