计算机网络——IPv4地址概述

227 阅读2分钟

持续创作,加速成长!这是我参与「掘金日新计划 · 10 月更文挑战」的第30天,点击查看活动详情

IPv4地址概述

  • 在TCP/IP体系中,IP地址是一个最基本的概念,我们必须把它弄清楚

  • IPv4地址就是给因特网(Internet)上的每一台主机(或路由器)的每一个接口分配一个在全世界范围内是唯一的32比特位的标识符

  • IP地址由因特网名字和数字分配机构ICANN(Internet Corporation for Assigned Names and Numbers )进行分配

  • 我国用户可向亚太网络信息中心APNIC(Asia Pacific Network Information Center ) 申请IP地址,需要缴费

  • 2011年2月3日,互联网号码分配管理局IANA(由 ICANN行驶职能)宣布,IPV4地址已经分配完毕

  • 我国在2014年至2015年也逐步停止了向新用户和应用分配IPv4地址。同时全面开展商用部署IPv6

  • IPv4地址的编制方法经历了如下三个阶段

image.png

  • 32位比特的IPv4地址不方便阅读、记录以及输入法等,因此IPv4地址采用点十进制表示方法以方便用户使用

image.png

image.png

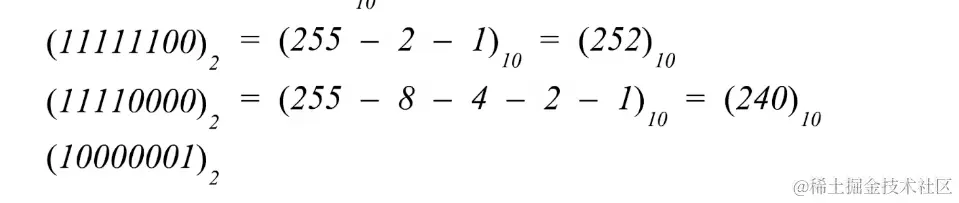
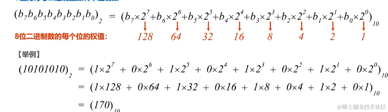
8位无符号二进制整数转十进制数

image.png

image.png

十进制正整数转8位无符号二进制数 除2取余法 (130)10 = (10000010)2 130 / 2 = 65 余 0 65 / 2 = 32 余 1 32 / 2 = 16 余 0 16 / 2 = 8 余 0 8 / 2 = 4 余 0 4 / 2 = 2 余 0 2 / 2 = 1 余 0 1 / 2 = 0 余 0 凑值法 (必须熟记8位二进制各位的权值 128 64 32 16 8 4 2 1)

举例 (171)10 = (10101011)2 = (1 x 128 + 0 x 64 + 1 x 32 + 0 x 16 + 1 x 8 + 0 x 4 + 1 x 2 + 1 x 1)10

image.png image.png