系列文章| R语言分布滞后线性和非线性模型DLM和DLNM建模应用|附代码数据

138 阅读7分钟

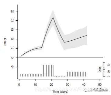
有时特定暴露事件的影响并不局限于观察到的那段时间,而是在时间上有所滞后。这就带来了一个问题,即对暴露事件与未来一系列结果之间的关系进行建模,指定事件发生后不同时间的影响分布(定义的滞后期)。最终,这一步需要定义暴露-反应关系的额外滞后维度,描述影响的时间结构 点击文末“阅读原文”获取完整代码数据****** 。**

在评估环境应激源的短期影响时,这种情况经常发生:一些时间序列研究报告称,暴露在高水平的空气污染或极端温度下,会在发生后的几天内影响健康。此外,当一个应激源主要影响一批脆弱的个体时,就会出现这样的现象,这些个体的事件只因暴露的影响而提前了短暂的时间。

在已经提出的处理之后效应的各种方法中,分布式滞后模型(DLM)发挥了主要作用,最近在空气污染和温度研究中被用来量化健康效应。这种方法的主要优点是,它允许模型包含暴露-反应关系的时间过程的详细表述,这反过来又提供了对存在滞后贡献或收获的总体效应的估计。

相关视频

**

拓端

,赞12

R语言分布滞后非线性模型(DLNM)空气污染研究温度对死亡率影响建模应用

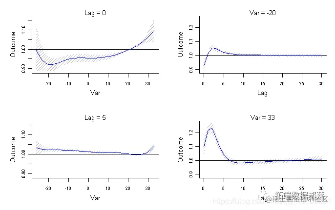
环境应激源往往表现出时间上的滞后效应,这就要求使用足够灵活的统计模型来描述暴露-反应关系的时间维度。在此,我们开发了分布式滞后非线性模型(DLNM),这是一个可以同时代表非线性暴露-反应依赖性和滞后效应的建模框架。这种方法是基于 "交叉基准 "的定义,这是一个双维的函数空间,它同时描述了沿预测空间和其发生的滞后维度的关系形状。


点击标题查阅内容

图片

R语言分布滞后非线性模型(DLNM)空气污染研究温度对死亡率影响建模应用

图片

左右滑动查看更多

图片

01

图片

02

图片

03

图片

04

图片

R语言分布滞后线性和非线性模型(DLM和DLNM)建模

本文说明了R语言中实现分布滞后线性和非线性模型(DLM和DLNM)的建模。首先,本文描述了除时间序列数据之外的DLM / DLNM的一般化方法,在Gasparrini [2014]中有更详细的描述。


点击标题查阅内容

图片

R语言分布滞后线性和非线性模型(DLM和DLNM)建模

图片

左右滑动查看更多

图片

01

图片

02

图片

03

图片

04

图片

**R语言分布滞后非线性模型(DLNM)研究发病率,死亡率和空气污染示例
**

本文提供了运行分布滞后非线性模型的示例,同时描述了预测变量和结果之间的非线性和滞后效应,这种相互关系被定义为暴露-滞后-反应关联。


点击标题查阅内容

图片

R语言分布滞后非线性模型(DLNM)研究发病率,死亡率和空气污染示例

图片

左右滑动查看更多

图片

01

图片

02

图片

03

图片

04

图片

R语言分布滞后线性和非线性模型(DLMs和DLNMs)分析时间序列数据

本文演示了在时间序列分析中应用分布滞后线性和非线性模型(DLMs和DLNMs)。Gasparrini等人[2010]和Gasparrini[2011]阐述了DLMs和DLNMs的发展以及时间序列数据的实现。本文描述的示例涵盖了时间序列数据DLNM方法的大多数标准应用,并探讨了DLNM包用于指定、总结和绘制此类模型。尽管这些例子在空气污染和温度对健康的影响方面有具体的应用,但它们很容易被推广到不同的主题,并为分析这些数据集或其他时间序列数据源奠定了基础。


点击标题查阅内容

图片

R语言分布滞后线性和非线性模型(DLMs和DLNMs)分析时间序列数据

图片

左右滑动查看更多

图片

01

图片

02

图片

03

图片

04

图片

分布滞后线性和非线性模型(DLNM)分析空气污染(臭氧)、温度对死亡率时间序列数据的影响

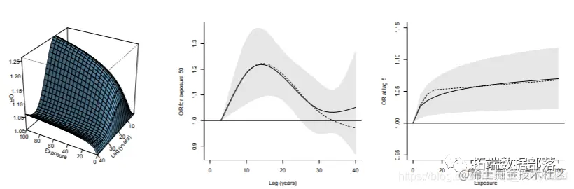
分布滞后非线性模型(DLNM)表示一个建模框架,可以灵活地描述在时间序列数据中显示潜在非线性和滞后影响的关联。该方法论基于交叉基的定义,交叉基是由两组基础函数的组合表示的二维函数空间,它们分别指定了预测变量和滞后变量的关系。本文在R软件实现DLNM,然后帮助解释结果,并着重于图形表示。本文提供指定和解释DLNM的概念和实践步骤,并举例说明了对实际数据的应用。


点击标题查阅内容

图片

分布滞后线性和非线性模型(DLNM)分析空气污染(臭氧)、温度对死亡率时间序列数据的影响

图片

左右滑动查看更多

图片

01

图片

02

图片

03

图片

04

图片

图片

DLNM类代表描述描述非线性效应和滞后效应的现象的统一框架。该模型系列的主要优点是在一个独特的框架中统一了许多以前的方法来处理滞后效应,还为关系提供了更灵活的选择。

图片


图片

点击文末 “阅读原文”

获取全文完整代码数据资料。

本文选自《分布滞后线性和非线性模型(DLNM)系列文章》。

点击标题查阅往期内容

R语言分布滞后非线性模型(DLNM)空气污染研究温度对死亡率影响建模应用
R语言分布滞后线性和非线性模型(DLM和DLNM)建模
分布滞后线性和非线性模型(DLNM)分析空气污染(臭氧)、温度对死亡率时间序列数据的影响
R语言中的分布滞后非线性模型DLNM与发病率和空气污染示例
【视频】R语言中的分布滞后非线性模型(DLNM)与发病率,死亡率和空气污染示例
R语言分布滞后线性和非线性模型(DLNM)分析空气污染(臭氧)、温度对死亡率时间序列数据的影响
R语言分布滞后线性和非线性模型(DLMs和DLNMs)分析时间序列数据
R语言分布滞后非线性模型(DLNM)空气污染研究温度对死亡率影响建模应用R语言分布滞后非线性模型(DLNM)研究发病率,死亡率和空气污染示例
R语言分布滞后线性和非线性模型(DLM和DLNM)建模
R语言广义相加模型 (GAMs)分析预测CO2时间序列数据
Python | ARIMA时间序列模型预测航空公司的乘客数量
R语言中生存分析模型的时间依赖性ROC曲线可视化
R语言ARIMA,SARIMA预测道路交通流量时间序列分析:季节性、周期性
ARIMA模型预测CO2浓度时间序列-python实现
R语言基于递归神经网络RNN的温度时间序列预测
R语言用多元ARMA,GARCH ,EWMA, ETS,随机波动率SV模型对金融时间序列数据建模
R语言神经网络模型预测车辆数量时间序列
卡尔曼滤波器:用R语言中的KFAS建模时间序列
在Python中使用LSTM和PyTorch进行时间序列预测
R语言从经济时间序列中用HP滤波器,小波滤波和经验模态分解等提取周期性成分分析
使用PYTHON中KERAS的LSTM递归神经网络进行时间序列预测
Python中的ARIMA模型、SARIMA模型和SARIMAX模型对时间序列预测
R语言k-Shape时间序列聚类方法对股票价格时间序列聚类
R语言多元Copula GARCH 模型时间序列预测