leetcode算法606. 根据二叉树创建字符串

82 阅读1分钟

持续创作,加速成长!这是我参与「掘金日新计划 · 10 月更文挑战」的第26天,点击查看活动详情

一、题目描述:

606. 根据二叉树创建字符串 - 力扣(LeetCode)

给你二叉树的根节点 root ,请你采用前序遍历的方式,将二叉树转化为一个由括号和整数组成的字符串,返回构造出的字符串。

空节点使用一对空括号对 "()" 表示,转化后需要省略所有不影响字符串与原始二叉树之间的一对一映射关系的空括号对。

 

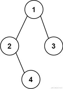
示例 1:

image.png

输入:root = [1,2,3,4]
输出:"1(2(4))(3)"
解释:初步转化后得到 "1(2(4)())(3()())" ,但省略所有不必要的空括号对后,字符串应该是"1(2(4))(3)" 。

示例 2:

image.png

输入:root = [1,2,3,null,4]
输出:"1(2()(4))(3)"
解释:和第一个示例类似,但是无法省略第一个空括号对,否则会破坏输入与输出一一映射的关系。

提示:

  • 树中节点的数目范围是 [1, 104]
  • -1000 <= Node.val <= 1000

二、思路分析:

  • 首先,明确一点,是前序遍历
  • 然后,关于括号的处理,本来想着可以是再遍历完之后再处理的,但是,看样例二可以得到并不是只要是()就得剔除,而是要根据树的结构进行有选择的剔除
  • 所以,可以直接在遍历的过程中去添加括号
  • 分析题意可得:以下情况需要加括号()
    • 就是当它的左子树没有,而右子树存在时,需要加括号来实现一对一的对应关系

三、AC 代码:

class Solution {
public:
    string  node = "";
    void backtracking(TreeNode* root)
    {
        if(root==nullptr)
        {
            return ;
        }
        node = node + to_string(root->val);
        if(root->left!=nullptr)
        {
            node.push_back('(');
            backtracking(root->left);
            node.push_back(')');
        }
        else if(root->left==nullptr&&root->right!=nullptr)
        {
            node.push_back('(');
            node.push_back(')');
        }
        if(root->right!=nullptr)
        {
            node.push_back('(');
            backtracking(root->right);
            node.push_back(')');
        }
    }
    string tree2str(TreeNode* root) {
        backtracking(root);
        return node;
    }
};

参考

前序递归实现,只需要加一个标志位监控左节点是否为空即可 - 根据二叉树创建字符串 - 力扣(LeetCode)