每日一题:链表相交

58 阅读2分钟

持续创作,加速成长!这是我参与「掘金日新计划 · 10 月更文挑战」的第24天,点击查看活动详情

力扣题目链接

给你两个单链表的头节点 headA 和 headB ,请你找出并返回两个单链表相交的起始节点。如果两个链表没有交点,返回 null 。

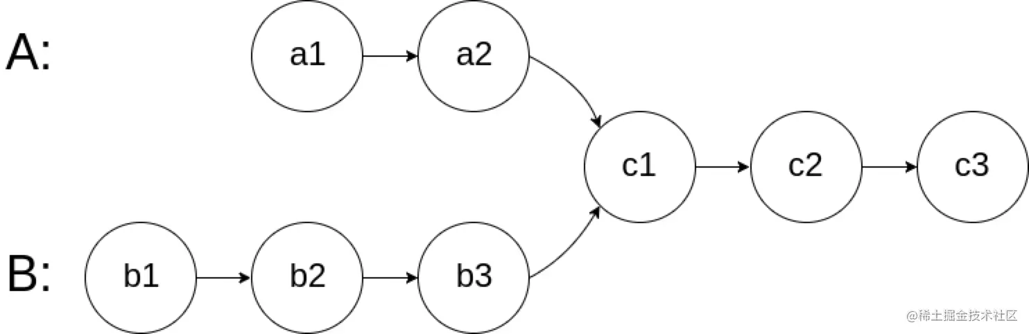
图示两个链表在节点 c1 开始相交

image.png 题目数据 保证 整个链式结构中不存在环。

注意,函数返回结果后,链表必须 保持其原始结构 。

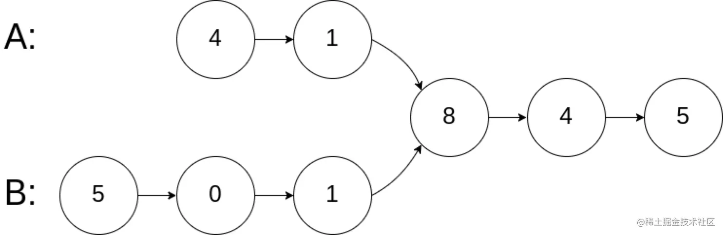
示例一:

image.png

输入: intersectVal = 8, listA = [4,1,8,4,5], listB = [5,0,1,8,4,5], skipA = 2, skipB = 3
输出: Intersected at '8'
解释: 相交节点的值为 8 (注意,如果两个链表相交则不能为 0)。
从各自的表头开始算起,链表 A[4,1,8,4,5],链表 B[5,0,1,8,4,5]。
在 A 中,相交节点前有 2 个节点;在 B 中,相交节点前有 3 个节点。

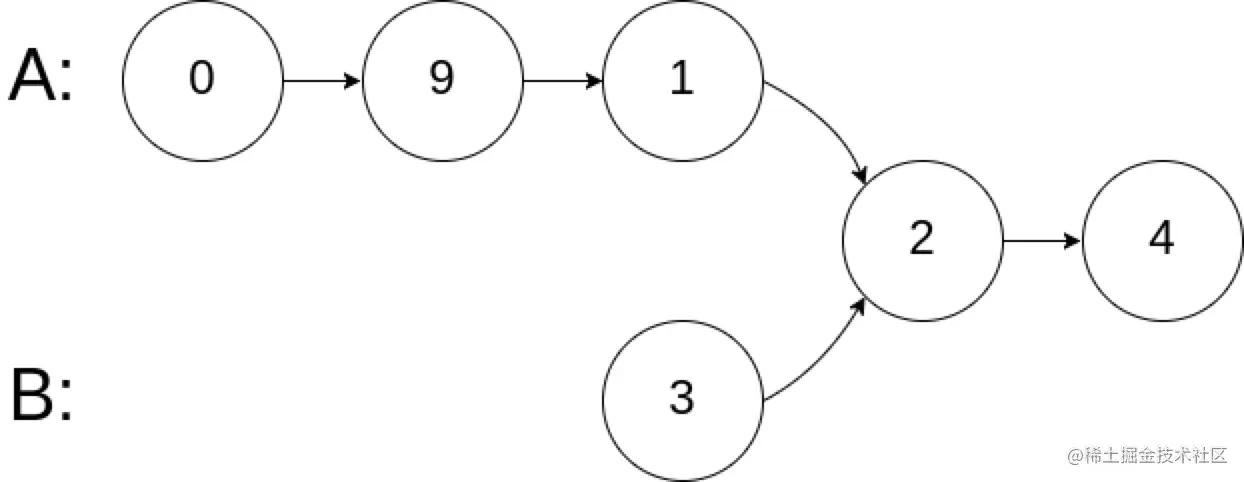
示例二:

image.png

输入: intersectVal = 2, listA = [0,9,1,2,4], listB = [3,2,4], skipA = 3, skipB = 1
输出: Intersected at '2'
解释: 相交节点的值为 2 (注意,如果两个链表相交则不能为 0)。
从各自的表头开始算起,链表 A[0,9,1,2,4],链表 B[3,2,4]。
在 A 中,相交节点前有 3 个节点;在 B 中,相交节点前有 1 个节点。

示例三:

image.png

输入: intersectVal = 0, listA = [2,6,4], listB = [1,5], skipA = 3, skipB = 2
输出: null
解释: 从各自的表头开始算起,链表 A[2,6,4],链表 B[1,5]。
由于这两个链表不相交,所以 intersectVal 必须为 0,而 skipA 和 skipB 可以是任意值。
这两个链表不相交,因此返回 null 。

提示:

  • listA 中节点数目为 m
  • listB 中节点数目为 n
  • 0 <= m, n <= 3 * 104
  • 1 <= Node.val <= 105
  • 0 <= skipA <= m
  • 0 <= skipB <= n
  • 如果 listA 和 listB 没有交点,intersectVal 为 0
  • 如果 listA 和 listB 有交点,intersectVal == listA[skipA + 1] == listB[skipB + 1]

进阶: 你能否设计一个时间复杂度 O(n) 、仅用 O(1) 内存的解决方案

解题思路: (暴力解法)

两个循环,不停的遍历链表,当找到相交的节点就返回结果

代码:(Java实现)

public ListNode getIntersectionNode(ListNode headA, ListNode headB) {
        ListNode tempA = headA;
        ListNode tempB = headB;

        //因为我们不清楚链表的长度,所以用while循环,里面的tempA != null来判断是否到了链表的终点
        while (tempA != null) {
            while (tempB != null) {
                //找到相同节点后,返回结果
                if (tempA == tempB) {
                    return tempB;
                }
                tempB = tempB.next;
            }
            tempA = tempA.next;
            
            //headb遍历完后,需要重置一下tempB的位置
            tempB = headB;
        }
        
        return null;
    }

复杂度分析

  • 时间复杂度:O(n^m),n为链表A的长度,m为链表B的长度
  • 空间复杂度:O(1)

提交结果

image.png

解题思路: (双指针)

设第一个共同节点为node,链表A的长度为a,链表b的长度为b,两个链表的公共尾部节点长度c,则会有:

  • headAnode 的距离为 a-c
  • headBnode 的距离为 b-c

构建两个节点指针A,B分别指向链表头节点headAheadB,进行以下操作:

  • 指针A先遍历完headA,再遍历headB,最后走到node处,它走过的总步数则为 a+(b-c)
  • 指针B先遍历万headB,再遍历headA,最后走到node处,它走过的总步数则为 b+(a-c) 此时AB重合,a+(b-c) == b+(a-c)时,会有两种情况:
  1. 若两链表有公共节点node(c>0),指针 A , B 同时指向「第一个公共节点」node 。
  2. 两链表中没有公共节点node(c==0),指针A,B同时指向null

关于为什么要A遍历headA后,再遍历headB的原因:

  • 遍历两个链表,就是为了让指针A和指针B可以遇到,因为两个链表长度是有限的,而指针A和指针B又都是从头节点开始遍历的,那么它们遍历的次数也就是一样的,不管有没有遇到共同节点,他们都会重合

代码:(Java实现)

public class Solution { 
    public ListNode getIntersectionNode(ListNode headA, ListNode headB) { 
        ListNode A = headA;
        LIstNode B = headB;
        
        while (A != B) {
            //三目运算符,当A不为null时,A = A.next,当为空时,A = headB
            A = A != null ? A.next : headB;
            B = B != null ? B.next : headA;
        }
        
        return A;
    }
}

复杂度分析

  • 时间复杂度:O(a + b):  最差情况下(即 |a - b| = 1 , c = 0),此时需遍历 a + b个节点。
  • 空间复杂度:O(1)

提交结果

image.png