leetcode 99. Recover Binary Search Tree (python)

178 阅读1分钟

持续创作,加速成长!这是我参与「掘金日新计划 · 10 月更文挑战」的第25天,点击查看活动详情

描述

You are given the root of a binary search tree (BST), where the values of exactly two nodes of the tree were swapped by mistake. Recover the tree without changing its structure.

Example 1:

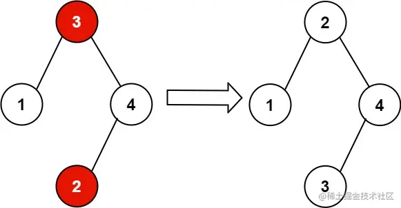
Input: root = [1,3,null,null,2]
Output: [3,1,null,null,2]
Explanation: 3 cannot be a left child of 1 because 3 > 1. Swapping 1 and 3 makes the BST valid.

Example 2:

Input: root = [3,1,4,null,null,2]
Output: [2,1,4,null,null,3]
Explanation: 2 cannot be in the right subtree of 3 because 2 < 3. Swapping 2 and 3 makes the BST valid.

Note:

The number of nodes in the tree is in the range [2, 1000].
-2^31 <= Node.val <= 2^31 - 1

解析

根据题意,给定二叉搜索树 (BST) 的 root ,其中树恰好两个节点的值被错误地交换了。 在不改变其结构的情况下恢复树正确的样子。

其实这道题考察的就是二叉树的中序遍历,因为树种正好有一对节点错误地交换了值,如例子一中,我们发现使用中序遍历的正常结果应该为 :1-2-3 ,但是此时却成了 3-2-1 ,我会发现中序遍历的正常规律是升序状态的,所以我们只要找到某个值比前一个值小,说明违反了升序规律,那么肯定是发生错误的节点。

这里有难度的是有两种情况,如某个树的正确中序为:3-5-8-10-13 ,可以出现 5-3-8-10-13 的错误序列(两个错误的位置刚好相邻),可能出现 3-13-8-10-5 的错误序列(两个错误的位置不相邻),所以我们使用常规的解法将所有节点的值按照中序遍历放入列表中,找错误的对即可,但是大可不必,我们使用 O(1) 的空间来解决,只要定义一个 pre 保存前一个节点,如果 pre.val > root.val 就是错误的地方,找到第一个错误点,再找第二个错误的点即可,最后将这两个节点的值交换即可。

时间复杂度为 O(N) ,空间复杂度为 O(H) ,H 为递归栈的深度。

解答

class Solution(object):
    def __init__(self):
        self.pre = TreeNode(float('-inf'))
        self.first = self.second = None

    def recoverTree(self, root):
        self.inorder(root)
        self.first.val, self.second.val = self.second.val, self.first.val

    def inorder(self, root):
        if not root: return
        self.inorder(root.left)
        if not self.first and self.pre.val > root.val:
            self.first = self.pre
        if self.first and self.pre.val > root.val:
            self.second = root
        self.pre = root
        self.inorder(root.right)	

运行结果

Runtime: 61 ms, faster than 85.84% of Python online submissions for Recover Binary Search Tree.
Memory Usage: 13.9 MB, less than 52.31% of Python online submissions for Recover Binary Search Tree.

原题链接

leetcode.com/problems/re…

您的支持是我最大的动力