leetcode第70题

83 阅读3分钟

本文已参与「新人创作礼」活动,一起开启掘金创作之路。

leetcode第70题

题目描述(简单难度)

image-20221023235416278

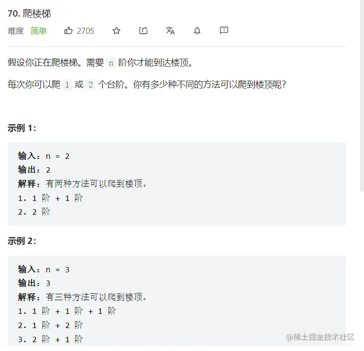
爬楼梯,每次走 1 个或 2 个台阶,n 层的台阶,总共有多少种走法。

解法一 暴力解法

用递归的思路想一下,要求 n 层的台阶的走法,由于一次走 1 或 2 个台阶,所以上到第 n 个台阶之前,一定是停留在第 n - 1 个台阶上,或者 n - 2 个台阶上。所以如果用 f ( n ) 代表 n 个台阶的走法。那么,

f ( n ) = f ( n - 1) + f ( n - 2 )。

f ( 1 ) = 1,f ( 2 ) = 2 。

发现个神奇的事情,这就是斐波那契数列(Fibonacci sequence)。

直接暴力一点,利用递归写出来。

 public int climbStairs(int n) {
     return climbStairsN(n);
 }
 ​
 private int climbStairsN(int n) {
     if (n == 1) {
         return 1;
     }
     if (n == 2) {
         return 2;
     }
     return climbStairsN(n - 1) + climbStairsN(n - 2);
 }
 Copy

时间复杂度:是一个树状图,O(2^n)O(2n)。

空间复杂度:

解法二 暴力解法优化

解法一很慢,leetcode 上报了超时,原因就是先求 climbStairsN ( n - 1 ),然后求 climbStairsN ( n - 2 ) 的时候,其实很多解已经有了,但是它依旧进入了递归。优化方法就是把求出的解都存起来,后边求的时候直接使用,不用再进入递归了。叫做 memoization 技术。

 public int climbStairs(int n) {
     return climbStairsN(n, new HashMap<Integer, Integer>());
 }
 ​
 private int climbStairsN(int n, HashMap<Integer, Integer> hashMap) {
     if (n == 1) {
         return 1;
     }
     if (n == 2) {
         return 2;
     }
     int n1 = 0;
     if (!hashMap.containsKey(n - 1)) {
         n1 = climbStairsN(n - 1, hashMap);
         hashMap.put(n - 1, n1);
     } else {
         n1 = hashMap.get(n - 1);
     }
     int n2 = 0;
     if (!hashMap.containsKey(n - 2)) {
         n2 = climbStairsN(n - 2, hashMap);
         hashMap.put(n - 2, n1);
     } else {
         n2 = hashMap.get(n - 2);
     }
     return n1 + n2;
 }
 Copy

时间复杂度:

空间复杂度:

当然由于 key 都是整数,我们完全可以用一个数组去存储,不需要 Hash。

 public int climbStairs(int n) {
     int memo[] = new int[n + 1];
     return climbStairsN(n, memo);
 }
 private int climbStairsN(int n, int[] memo) {
     if (n == 1) {
         return 1;
     }
     if (n == 2) {
         return 2;
     }
     int n1 = 0;
     //数组的默认值是 0
     if (memo[n - 1] == 0) {
         n1 = climbStairsN(n - 1, memo);
         memo[n - 1] = n1;
     } else {
         n1 = memo[n - 1];
     }
     int n2 = 0;
     if (memo[n - 2] == 0) {
         n2 = climbStairsN(n - 2, memo);
         memo[n - 2] = n2;
 ​
     } else {
         n2 = memo[n - 2];
     }
     return n1 + n2;
 }
 Copy

解法三 迭代

当然递归可以解决,我们可以直接迭代,省去递归压栈的过程。初始值 f ( 1 ) 和 f ( 2 ),然后可以求出 f ( 3 ),然后求出 f ( 4 ) ... 直到 f ( n ),一个循环就够了。其实就是动态规划的思想了。

 public int climbStairs(int n) {
     int n1 = 1;
     int n2 = 2;
     if (n == 1) {
         return n1;
     }
     if (n == 2) {
         return n2;
     }
     //n1、n2 都后移一个位置
     for (int i = 3; i <= n; i++) {
         int temp = n2;
         n2 = n1 + n2;
         n1 = temp;
     }
     return n2;
 }
 Copy

时间复杂度:O(n)。

空间复杂度:O(1)。

以上都是比较常规的方法,下边分享一下 Solution 里给出的其他解法。

解法四 矩阵相乘

Solution5叫做 Binets Method,它利用数学归纳法证明了一下,这里就直接用了,至于怎么想出来的,我也不清楚了。

定义一个矩阵 Q = \begin{matrix} 1 & 1 \ 1 & 0 \end{matrix}Q=1110 ,然后求 f ( n ) 话,我们先让 Q 矩阵求幂,然后取第一行第一列的元素就可以了,也就是 f(n)=Q^n0f(n)=Q**n0

至于怎么更快的求幂,可以看 50 题的解法三。

 public int climbStairs(int n) {
     int[][] Q = {{1, 1}, {1, 0}};
     int[][] res = pow(Q, n);
     return res[0][0];
 }
 public int[][] pow(int[][] a, int n) {
     int[][] ret = {{1, 0}, {0, 1}};
     while (n > 0) {
         //最后一位是 1,加到累乘结果里
         if ((n & 1) == 1) {
             ret = multiply(ret, a);
         }
         //n 右移一位
         n >>= 1;
         //更新 a
         a = multiply(a, a);
     }
     return ret;
 }
 public int[][] multiply(int[][] a, int[][] b) {
     int[][] c = new int[2][2];
     for (int i = 0; i < 2; i++) {
         for (int j = 0; j < 2; j++) {
             c[i][j] = a[i][0] * b[0][j] + a[i][1] * b[1][j];
         }
     }
     return c;
 }
 Copy

时间复杂度:O(log (n))。

空间复杂度:O(1)。

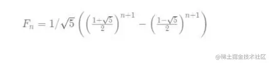
解法五 公式法

直接套用公式

image-20221023235447957

 public int climbStairs(int n) {
     double sqrt5=Math.sqrt(5);
     double fibn=Math.pow((1+sqrt5)/2,n+1)-Math.pow((1-sqrt5)/2,n+1);
     return (int)(fibn/sqrt5);
 }
 Copy

时间复杂度:耗在了求幂的时候,O(log(n))。

空间复杂度:O(1)。

总结

这道题把递归,动态规划的思想都用到了,很经典。此外,矩阵相乘的解法是真的强,直接将时间复杂度优化到 log 层面。