Java算法训练08-409. 最长回文串 -144. 二叉树的前序遍历-589. N 叉树的前序遍历

83 阅读5分钟

持续创作,加速成长!这是我参与「掘金日新计划 · 10 月更文挑战」的第 天,点击查看活动详情

题目一、409. 最长回文串

原题链接:409. 最长回文串

题目描述:

给定一个包含大写字母和小写字母的字符串 s ,返回 通过这些字母构造成的 最长的回文串 。

在构造过程中,请注意 区分大小写 。比如 "Aa" 不能当做一个回文字符串。 / 示例 1: 输入:s = "abccccdd" 输出:7 解释: 我们可以构造的最长的回文串是"dccaccd", 它的长度是 7。 / 示例 2: 输入:s = "a" 输入:1

解题思路: 对于字符串出现的每个字符,我们可以使用该字符 v / 2 * 2 次,回文串平分两半,每半分得 v / 2 个字符 ,其中 / 为整数除法。如:9 / 2 = 4;1 / 2 = 0(v为字符出现的次数)

如果有任何一个字符出现奇数次,我们选出现的第一个字符,取其一个单字符作为唯一的回文中心,因为最多只能有一个字符作为回文中心。

为了做到出现的首个奇数次元素作为唯一回文中心,我们需要满足条件:回文长度为偶数,且字符出现奇数次; 满足条件,回文长度加一,回文长度就变成奇数,保证只有一个或没有回文中心。

我用了HashMap集合来记录字符出现的次数,再用迭代器遍历。(用时和内存都比较多)

代码:

class Solution {
    public int longestPalindrome(String s) {
        char[] arr = s.toCharArray();//字符串转为数组,每个元素都是字符串中的一个字符
        Map<Character,Integer> map = new HashMap<>();//创建双列集合map
        for(char c :arr ){//增强for循环,遍历数组
            if(map.containsKey(c)){//如果字符存在,出现次数value值+1
                map.replace(c,map.get(c).intValue()+1);
            }else{//如果字符不在集合中,创建集合,主键为字符,value值为出现次数1
                map.put(c,1);
            }
        }

        int len = 0;//表示回文串长度
        //实用迭代器Iterator遍历集合元素
        Iterator<Map.Entry<Character,Integer>> iterator = map.entrySet().iterator();
        while(iterator.hasNext()){
            Map.Entry<Character,Integer> entry = iterator.next();
            len += entry.getValue()/2*2;//可以使用该字符 v / 2 * 2 次
            if(len%2==0 && entry.getValue()%2 ==1)//第一个出现的奇数次的元素作为回文串唯一中心
            len++;
        }
        return len;
    }
}

提交结果:

在这里插入图片描述

。。。

思路相同,用数组遍历: (将字符作为数组下标,数组识别的下标为字符的ASCII码值)

代码(快贼多):

class Solution {
    public int longestPalindrome(String s) {
        int[] count = new int[128];
        int length = s.length();
        for (int i = 0; i < length; ++i) {
            char c = s.charAt(i);
            count[c]++;
        }

        int ans = 0;
        for (int v: count) {
            ans += v / 2 * 2;
            if (v % 2 == 1 && ans % 2 == 0) {
                ans++;
            }
        }
        return ans;
    }
}

提交结果:

在这里插入图片描述

题目二、144. 二叉树的前序遍历

原题链接:144. 二叉树的前序遍历

题目描述:

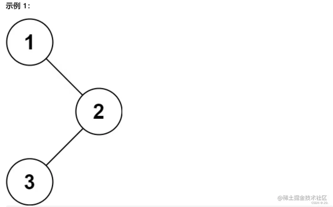
给你二叉树的根节点 root ,返回它节点值的 前序 遍历。 /在这里插入图片描述 输入:root = [1,null,2,3] 输出:[1,2,3] / 示例 2: 输入:root = [] 输出:[] / 示例 3: 输入:root = [1] 输出:[1] /在这里插入图片描述 输入:root = [1,2] 输出:[1,2] / 在这里插入图片描述 输入:root = [1,null,2] 输出:[1,2]

解题思路: 先序遍历,就是从根节点开始,先遍历左孩子,再遍历右孩子; 当根节点为空的时候,直接返回空即可; 存在根节点,我们可以使用栈结构,先进后出的特点,将根节点以及一路而下的左孩子压栈,当没有左孩子,我们就能让栈顶元素出栈,同时获取出栈节点右孩子。 循环地重复上述操作,就可以完成二叉树的先序遍历。

提交代码:

/**
 * Definition for a binary tree node.
 * public class TreeNode {
 *     int val;
 *     TreeNode left;
 *     TreeNode right;
 *     TreeNode() {}
 *     TreeNode(int val) { this.val = val; }
 *     TreeNode(int val, TreeNode left, TreeNode right) {
 *         this.val = val;
 *         this.left = left;
 *         this.right = right;
 *     }
 * }
 */
class Solution {
    public List<Integer> preorderTraversal(TreeNode root) {
        List list = new ArrayList();  //创建list集合,用于存放先序遍历的节点元素
        if(root == null) return list; //如果根节点为空,直接返回空的集合
        TreeNode node = root;         //获取根节点
        //创建堆结构
        Deque<TreeNode> stack = new LinkedList<>();
        //当堆不为空或二叉树节点不为空时
        while(!stack.isEmpty() || node != null){
            while(node != null){      //树节点不为空
                list.add(node.val);   //节点元素传入集合
                stack.push(node);     //同时节点如栈
                node = node.left;     //堆节点左孩子重复操作
                //当左子树所有的左孩子入栈,代表遍历完左子树的所有子节点
            }
            //堆顶节点出栈
            node = stack.pop();
            //循环遍历出栈节点的右孩子
            node = node.right;
        }
        return list;                  //返回存放先序遍历节点顺序的集合
    }
}

提交结果:

在这里插入图片描述

题目三、589. N 叉树的前序遍历

原题链接:589. N 叉树的前序遍历

题目描述:

给定一个 n 叉树的根节点 root ,返回 其节点值的 前序遍历

n 叉树 在输入中按层序遍历进行序列化表示,每组子节点由空值 null 分隔(请参见示例)。 在这里插入图片描述 输入:root = [1,null,3,2,4,null,5,6] 输出:[1,3,5,6,2,4] 在这里插入图片描述 输入:root = [1,null,2,3,4,5,null,null,6,7,null,8,null,9,10,null,null,11,null,12,null,13,null,null,14] 输出:[1,2,3,6,7,11,14,4,8,12,5,9,13,10]

解题思路: 先序遍历n叉树,思路与先序遍历二叉树的思路是相似的,都是先遍历左孩子再右孩子,再通过相同操作遍历其余子树的节点。 我们使用堆结构,每次出栈的堆顶元素就是先序遍历的下一个节点,所以我们需要在某个父节点出栈并且被记录后,从右向左地将其孩子节点入栈,以此达到出栈节点为先序遍历顺序的目的; 而这个操作中,每个出栈节点被记录后,其子节点都会从右向左入栈,从而将整棵树遍历,直到最后一个节点出栈,栈为空就停止。 最后返回记录出栈节点的集合,就是先序遍历后的n叉树节点顺序

提交代码:

/*
// Definition for a Node.
class Node {
    public int val;
    public List<Node> children;

    public Node() {}

    public Node(int _val) {
        val = _val;
    }

    public Node(int _val, List<Node> _children) {
        val = _val;
        children = _children;
    }
};
*/

class Solution {
    public List<Integer> preorder(Node root) {
        List list = new ArrayList(); //创建集合存放先序遍历后的节点
        if(root == null) return list;//根节点为空,直接返回空集合

        Deque<Node> stack = new LinkedList<>();//创建堆结构
        stack.push(root);                      //根节点入栈
        while(!stack.isEmpty()){               //只要栈不为空
            Node curr = stack.pop();           //堆顶元素出栈
            list.add(curr.val);                //同时记录进集合
            //将出栈节点的子节点按照逆序入栈,当下一次出栈时,记录的就是左孩子
            for(int i = curr.children.size()-1;i>=0;--i){
                stack.push(curr.children.get(i));
            }
            //重读操作
        }
        return list;
    }
}

提交结果:

在这里插入图片描述