java用位运算实现加减乘除

193 阅读2分钟

持续创作,加速成长!这是我参与「掘金日新计划 · 10 月更文挑战」的第21天 @TOC

前言

我们经常使用的加减乘除,我们所看到的只是表面的效果,那么加减乘除在底层究竟是怎么实现的?今天就让我们一探究竟.今天用位运算实现的加减乘除不使用任何的加减乘除符号.


一、常见位运算

1. &运算

&运算二进制每一位全1为1,否则为0

public static void main(String[] args) {
        int a = 1;
        int b = 3;
        System.out.println(a & b);
    }

在这里插入图片描述 在这里插入图片描述

2. |运算

|运算二进制每一位有1为1,全0为0

public static void main(String[] args) {
        int a = 1;
        int b = 3;
        System.out.println(a | b);
    }

在这里插入图片描述 在这里插入图片描述

3. ^运算

^运算二进制每一位不同为1,相同为0

public static void main(String[] args) {
        int a = 1;
        int b = 3;
        System.out.println(a ^ b);
    }

在这里插入图片描述 在这里插入图片描述

4. ~运算

~运算是二进制每一位按位取反.

public static void main(String[] args) {
        int a = 1;
        System.out.println(~a);
    }

在这里插入图片描述 在这里插入图片描述

二、位运算实现加法

public static void main(String[] args) {
        int a = 1;
        int b = 3;
        System.out.println(a + b);
    }

在这里插入图片描述 下来我们用位运算实现一下加法. 在这里插入图片描述 我们进行一次异或运算就相当于进行一次无进位加法,那这样也不能实现加法,那我们得想办法,实现进位的数值. 在这里插入图片描述 进行一次与运算,只有同时为1才为1,也当同时为1时,我们需要进位,所以我们进行与运算后进行左移一位的操作,即可得到进位后的数值. 在这里插入图片描述 我们对异或运算和与运算后左移一位的结果进行相加即可,但我们只能进行位运算,所以我们只能再次进行异或运算与与运算,直到云运算的结果为0时,我们的异或运算的结果即为加法的结果.

public static int bitAdd(int a,int b) {
        int sum = 0;
        while(b != 0) {
            sum = a ^ b;
            b = (a & b) << 1;
            a = sum;
        }
        return sum;
    }

    public static void main(String[] args) {
        System.out.println(bitAdd(1,2));
    }

在这里插入图片描述

三、位运算实现减法

public static void main(String[] args) {
        int a = 1;
        int b = 3;
        System.out.println(a - b);
    }

在这里插入图片描述 下来我们用位运算实现一下减法. 在我们有了位运算实现加法的基础之后,我们的减法就变得简单了,a - b == a + ( -b ),所以我们只需要将b变为-b即可实现减法功能,但我们不能使用负号,那我们来用位运算来实现一下. 在这里插入图片描述

public static void main(String[] args) {
        System.out.println(~3);
    }

在这里插入图片描述 我们可以发现一个数取反与相反数差一,我们取反加一即可得到相反数.

public static void main(String[] args) {
        System.out.println(~3 + 1);
    }

在这里插入图片描述

public static int bitAdd(int a,int b) {
        int sum = 0;
        while(b != 0) {
            sum = a ^ b;
            b = (a & b) << 1;
            a = sum;
        }
        return sum;
    }

    public static int bitSub(int a,int b) {
        return bitAdd(a,~b+1);
    }

    public static void main(String[] args) {
        System.out.println(bitSub(1,3));
    }

在这里插入图片描述

四、位运算实现乘法

public static void main(String[] args) {
        int a = 1;
        int b = 3;
        System.out.println(a * b);
    }

在这里插入图片描述 我们小学的时候是怎么进行乘法的,按位相乘,每一位和每一位相乘. 在这里插入图片描述 二进制中也是一样的,按位相乘,如果被乘数二进制位是1则与乘数相乘.每次运算进行移位 在这里插入图片描述

public static int bitAdd(int a,int b) {
        int sum = 0;
        while(b != 0) {
            sum = a ^ b;
            b = (a & b) << 1;
            a = sum;
        }
        return sum;
    }
    public static int bitMul(int a,int b) {
        int sum = 0;
        while(b != 0) {
            if((b & 1) != 0) {
                sum += a;
            }
            a <<= 1;
            b >>>= 1;
        }
        return sum;
    }

    public static void main(String[] args) {
        System.out.println(bitMul(1,3));
    }

在这里插入图片描述

四、位运算实现除法

public static void main(String[] args) {
        int a = 7;
        int b = 2;
        System.out.println(a / b);
    }

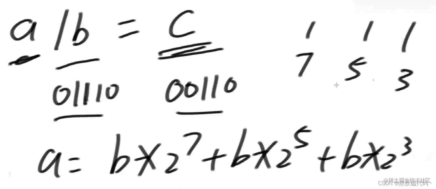
在这里插入图片描述 我们在用位运算实现除法时,采用逆推的方式,a / b = c, a = c * b。

在这里插入图片描述 我们只需要求出a减去b向左的移位,只要满足a <= b的移位即可,每次移动多少位即a / b的结果二进制中某一位为1,以此循环倒推即可.

在这里插入图片描述 在这里插入图片描述

public static int bitAdd(int a,int b) {
        int sum = 0;
        while(b != 0) {
            sum = a ^ b;
            b = (a & b) << 1;
            a = sum;
        }
        return sum;
    }
    public static int negNum(int n) {
        //转化为相反数
        return bitAdd(~n,1);
    }
    public static int minus(int a,int b) {
        //实现两个数相减
        return bitAdd(a,negNum(b));
    }
    public static boolean isNeg(int n) {
        //判断是否为负数
        return n < 0;
    }
    public static int bitDiv(int a,int b) {
        int x = isNeg(a) ? negNum(a) : a;
        int y = isNeg(b) ? negNum(b) : b;
        int res = 0;
        for (int i = 30; i >= 0 ; i = minus(i,1)) {
            if((x >> i) >= y) {
                res |= (1 << i);
                x = minus(x,y << i);
            }
        }
        return isNeg(a) != isNeg(b) ? negNum(res) : res;

    }

    public static void main(String[] args) {
        int a = 7;
        int b = 2;
        System.out.println(bitDiv(a,b));
    }

在这里插入图片描述