【算法】剑指 Offer II 045. 二叉树最底层最左边的值(多语言实现)

89 阅读3分钟

持续创作,加速成长!这是我参与「掘金日新计划 · 10 月更文挑战」的第23天,点击查看活动详情


剑指 Offer II 045. 二叉树最底层最左边的值:

给定一个二叉树的 根节点 root,请找出该二叉树的 最底层 最左边 节点的值。

假设二叉树中至少有一个节点。

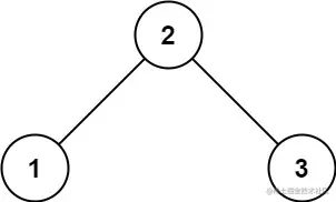
样例 1:

输入: 
	root = [2,1,3]
	
输出: 
	1

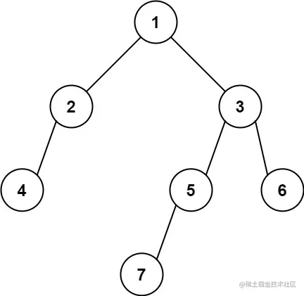
样例 2:

输入: 
	[1,2,3,4,null,5,6,null,null,7]
	
输出: 
	7

提示:

  • 二叉树的节点个数的范围是 [1,104]
  • -231 <= Node.val <= 231 - 1

分析

  • 面对这道算法题目,二当家的陷入了沉思。
  • 遍历二叉树是必然的,关键怎么找到目标节点,可以分成两步。
  • 第一步找到最底层:可以按照层序遍历二叉树,最终遍历的就是最底层。
  • 第二步找到最左侧节点:存储一层当中的第一个节点值,遍历到最后,存储的结果就是答案;也可以从右向左做层序遍历,那么最后一个遍历的节点就目标节点。

题解

rust

// Definition for a binary tree node.
// #[derive(Debug, PartialEq, Eq)]
// pub struct TreeNode {
//   pub val: i32,
//   pub left: Option<Rc<RefCell<TreeNode>>>,
//   pub right: Option<Rc<RefCell<TreeNode>>>,
// }
//
// impl TreeNode {
//   #[inline]
//   pub fn new(val: i32) -> Self {
//     TreeNode {
//       val,
//       left: None,
//       right: None
//     }
//   }
// }
use std::rc::Rc;
use std::cell::RefCell;
impl Solution {
    pub fn find_bottom_left_value(root: Option<Rc<RefCell<TreeNode>>>) -> i32 {
        let mut ans = 0;

        use std::collections::VecDeque;
        let mut q = VecDeque::new();
        q.push_back(root);
        while !q.is_empty() {
            let mut size = q.len();
            (0..size).for_each(|_| {
                if let Some(n) = q.pop_front().flatten() {
                    let n = n.borrow();
                    q.push_back(n.right.clone());
                    q.push_back(n.left.clone());
                    ans = n.val;
                }
            });
        }

        ans
    }
}

go

/**
 * Definition for a binary tree node.
 * type TreeNode struct {
 *     Val int
 *     Left *TreeNode
 *     Right *TreeNode
 * }
 */
func findBottomLeftValue(root *TreeNode) int {
    ans := 0

    var q []*TreeNode
    q = append(q, root)
    for len(q) > 0 {
        ans = q[0].Val
        size := len(q)
        for i := 0; i < size; i++ {
            node := q[i]
            if node.Left != nil {
                q = append(q, node.Left)
            }
            if node.Right != nil {
                q = append(q, node.Right)
            }
        }
        q = q[size:]
    }

    return ans
}

typescript

/**
 * Definition for a binary tree node.
 * class TreeNode {
 *     val: number
 *     left: TreeNode | null
 *     right: TreeNode | null
 *     constructor(val?: number, left?: TreeNode | null, right?: TreeNode | null) {
 *         this.val = (val===undefined ? 0 : val)
 *         this.left = (left===undefined ? null : left)
 *         this.right = (right===undefined ? null : right)
 *     }
 * }
 */

function findBottomLeftValue(root: TreeNode | null): number {
    let ans = 0;

    const q = new Array();
    q.push(root);
    while (q.length > 0) {
        ans = q[0].val;
        let size = q.length;
        while (--size >= 0) {
            const node = q.shift();
            if (node.left) {
                q.push(node.left);
            }
            if (node.right) {
                q.push(node.right);
            }
        }
    }


    return ans;
};

python

# Definition for a binary tree node.
# class TreeNode:
#     def __init__(self, val=0, left=None, right=None):
#         self.val = val
#         self.left = left
#         self.right = right
class Solution:
    def findBottomLeftValue(self, root: TreeNode) -> int:
        ans = 0
        q = deque()
        q.append(root)
        while len(q) > 0:
            ans = q[0].val
            size = len(q)
            for _ in range(size):
                node = q.popleft()
                if node.left:
                    q.append(node.left)
                if node.right:
                    q.append(node.right)
        return ans


c

/**
 * Definition for a binary tree node.
 * struct TreeNode {
 *     int val;
 *     struct TreeNode *left;
 *     struct TreeNode *right;
 * };
 */


int findBottomLeftValue(struct TreeNode* root){
    int ans = 0;
    struct TreeNode *q[10000];
    int q_index = 0;
    int q_size = 0;
    q[q_size++] = root;
    while (q_index < q_size) {
        ans = q[q_index]->val;
        int size = q_size - q_index;
        while (--size >= 0) {
            struct TreeNode *node = q[q_index++];
            if (node->left) {
                q[q_size++] = node->left;
            }
            if (node->right) {
                q[q_size++] = node->right;
            }
        }
    }
    return ans;
}

c++

/**
 * Definition for a binary tree node.
 * struct TreeNode {
 *     int val;
 *     TreeNode *left;
 *     TreeNode *right;
 *     TreeNode() : val(0), left(nullptr), right(nullptr) {}
 *     TreeNode(int x) : val(x), left(nullptr), right(nullptr) {}
 *     TreeNode(int x, TreeNode *left, TreeNode *right) : val(x), left(left), right(right) {}
 * };
 */
class Solution {
public:
    int findBottomLeftValue(TreeNode* root) {
        int ans = 0;
        queue<TreeNode *> q;
        q.push(root);
        while (q.size() > 0) {
            ans = q.front()->val;
            int size = q.size();
            while (--size >= 0) {
                TreeNode *node = q.front();
                if (node->left) {
                    q.push(node->left);
                }
                if (node->right) {
                    q.push(node->right);
                }
                q.pop();
            }
        }
        return ans;
    }
};

java

/**
 * Definition for a binary tree node.
 * public class TreeNode {
 *     int val;
 *     TreeNode left;
 *     TreeNode right;
 *     TreeNode() {}
 *     TreeNode(int val) { this.val = val; }
 *     TreeNode(int val, TreeNode left, TreeNode right) {
 *         this.val = val;
 *         this.left = left;
 *         this.right = right;
 *     }
 * }
 */
class Solution {
    public int findBottomLeftValue(TreeNode root) {
        int ans = 0;
        Queue<TreeNode> q = new LinkedList<>();
        q.offer(root);
        while (!q.isEmpty()) {
            ans = q.peek().val;
            int size = q.size();
            while (--size >= 0) {
                TreeNode node = q.poll();
                if (node.left != null) {
                    q.offer(node.left);
                }
                if (node.right != null) {
                    q.offer(node.right);
                }
            }
        }
        return ans;
    }
}

原题传送门:https://leetcode.cn/problems/LwUNpT/


非常感谢你阅读本文~
放弃不难,但坚持一定很酷~
希望我们大家都能每天进步一点点~
本文由 二当家的白帽子:https://juejin.cn/user/2771185768884824/posts 博客原创~