Java算法07 注释详细-876. 链表的中间结点-142. 环形链表 II-121. 买卖股票的最佳时机

71 阅读3分钟

持续创作,加速成长!这是我参与「掘金日新计划 · 10 月更文挑战」的第 天,点击查看活动详情

题目一、876. 链表的中间结点

原题链接:876. 链表的中间结点

题目描述:

给定一个头结点为 head 的非空单链表,返回链表的中间结点。

如果有两个中间结点,则返回第二个中间结点。 在这里插入图片描述

解题思路: 已经给定非空链表的头节点,那么就不需要判断链表是否为空了; 我们通过循环记录链表节点的个数,将记录的个数除以2得到指针需要移动的次数,返回移动完后的节点即可。

解题代码:

/**
 * Definition for singly-linked list.
 * public class ListNode {
 *     int val;
 *     ListNode next;
 *     ListNode() {}
 *     ListNode(int val) { this.val = val; }
 *     ListNode(int val, ListNode next) { this.val = val; this.next = next; }
 * }
 */
class Solution {
    public ListNode middleNode(ListNode head) {
        ListNode curr = head;//创建新节点记录给定头节点
        int total = 0;       //total记录节点总数
        while(curr != null){ //不为空
            total++;         //记录节点数+1
            curr = curr.next;//指针指向下一节点
        }
        for(int i = 0;i < total>>1;++i){//total>>1,相当于总数 / 2
            head = head.next;           //指针扫过一半节点,抵达中间节点 
        }
        return head;//返回中间节点
         
    }

}

提交结果:

在这里插入图片描述

题目二、142. 环形链表 II

原题链接:142. 环形链表 II

题目描述:

给定一个链表的头节点 head ,返回链表开始入环的第一个节点。 如果链表无环,则返回 null。

如果链表中有某个节点,可以通过连续跟踪 next 指针再次到达,则链表中存在环。 为了表示给定链表中的环,评测系统内部使用整数 pos来表示链表尾连接到链表中的位置(索引从 0 开始)。 如果 pos 是 -1,则在该链表中没有环。 注意:pos不作为参数进行传递,仅仅是为了标识链表的实际情况。

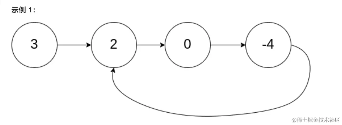
不允许修改 链表。 在这里插入图片描述 输入:head = [3,2,0,-4], pos = 1 输出:返回索引为 1 的链表节点 解释:链表中有一个环,其尾部连接到第二个节点。 在这里插入图片描述 输入:head = [1,2], pos = 0 输出:返回索引为 0 的链表节点 解释:链表中有一个环,其尾部连接到第一个节点。 在这里插入图片描述 输入:head = [1], pos = -1 输出:返回 null 解释:链表中没有环。

解题思路: 使用不可重复的set集合来存放节点元素,不断扫描数组,若遇到无法存放节点的情况,说明节点重复,重复节点就是入环的第一个节点。 如果存在节点的下一节点为null,说明无环,直接返回null。

/**
 * Definition for singly-linked list.
 * class ListNode {
 *     int val;
 *     ListNode next;
 *     ListNode(int x) {
 *         val = x;
 *         next = null;
 *     }
 * }
 */
public class Solution {
    public ListNode detectCycle(ListNode head) {
        ListNode pos = head;
        Set set = new HashSet();//创建不可重复的单列集合
        while(pos != null){     //节点不为空时
            if(set.add(pos)){   //节点元素放入集合中
                pos = pos.next; //指针后移
            }else{              //节点无法放入集合,说明已经扫描过
                return pos;     //直接返回,这就是入环节点
            }
        }
        return null;            //存在节点下一位为空,说明无环,返回空
    }
}

提交结果:

在这里插入图片描述

题目三、121. 买卖股票的最佳时机

原题链接:121. 买卖股票的最佳时机

题目描述:

给定一个数组 prices ,它的第 i 个元素 prices[i] 表示一支给定股票第 i 天的价格。

你只能选择 某一天 买入这只股票,并选择在 未来的某一个不同的日子 卖出该股票。设计一个算法来计算你所能获取的最大利润。

返回你可以从这笔交易中获取的最大利润。如果你不能获取任何利润,返回 0 。 在这里插入图片描述

解题思路:

遍历数组中每一天的股价,记录最低值min,遍历到比min大的股价,就计算差值,最终返回最大的差值,就代表最大利润。

解题代码:

class Solution {
    public int maxProfit(int[] prices) {
        int min = prices[0];//表示最低的价格
        int max = 0;        //表示最高的利润

        for(int i = 0;i < prices.length;++i){
            if(prices[i] <= min){//如果这天股价更低
                min = prices[i]; //将股价记录为min
            }else if(max < prices[i]-min){//如果这天股价高,计算与min差值
                max = prices[i]-min;      //若结果高于记录max,更新最大利润
            }
            
        }
        return max;               //返回最大利润
    }
}

在这里插入图片描述