[杨小白]_leetcode_力扣【困难】25. K 个一组翻转链表

69 阅读1分钟

持续创作,加速成长!这是我参与「掘金日新计划 · 10 月更文挑战」的第18天,点击查看活动详情

前言

小白算法比较菜,希望能激励我每日更新,从leetcode第一题开始,2022年目标300题,记录从0到1的全过程!!

今天做一共比较常考的困难题

【困难】25. K 个一组翻转链表

给你链表的头节点 head ,每 k 个节点一组进行翻转,请你返回修改后的链表。

k 是一个正整数,它的值小于或等于链表的长度。如果节点总数不是 k 的整数倍,那么请将最后剩余的节点保持原有顺序。

你不能只是单纯的改变节点内部的值,而是需要实际进行节点交换。

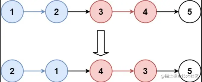
示例 1

image.png

  • 输入: head = [1,2,3,4,5], k = 2
  • 输出: [2,1,4,3,5]

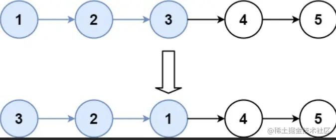
示例 2

image.png

  • 输入: head = [1,2,3,4,5], k = 3
  • 输出: [3,2,1,4,5]

提示

  • 链表中的节点数目为 n
  • 1 <= k <= n <= 5000
  • 0 <= Node.val <= 1000

进阶: 你可以设计一个只用 O(1) 额外内存空间的算法解决此问题吗?

代码

进阶的要求确实暂时没想到。应该是在一边切片,一遍反转,一遍相连。但是其中很多细节要注意避免连接成环了。

这里给出一种需要额外空间的算法。

首先调用了decive函数,将整个链表按要求切片。返回了一个arraylist,其中每个list[1]是一个片的头,list[0]是尾。

然后调用reverse进行反转。

最后再拼接就可以了。

这个的重点是这么几步。

1,找出每一段的头节点和尾节点如下图。arr[0][0]记录了第一段的尾节点,arr[0][1]记录了第一段的头节点。arr[1][0]记录了第二段的尾节点,arr[1][1]记录了第二段的头节点。最后一段比较特殊,因为他不用反转,所以只需要记录原理的头结点就好

2.反转每一个片段(这就和力扣的一个简单原题一样了)

3.串起来就可以了。

image.png

/**
 * Definition for singly-linked list.
 * public class ListNode {
 *     int val;
 *     ListNode next;
 *     ListNode() {}
 *     ListNode(int val) { this.val = val; }
 *     ListNode(int val, ListNode next) { this.val = val; this.next = next; }
 * }
 */
class Solution {
    public ListNode reverseKGroup(ListNode head, int k) {
        if (k == 1) {
            return head;
        }
        ListNode root = new ListNode();
        ListNode cur = root;
        ArrayList<ListNode[]> arr = decive(head,k);
        for (int i = 0; i < arr.size(); i++) {
            ListNode[] listNodes = arr.get(i);
            cur.next = listNodes[1];
            cur = listNodes[0];
        }
        return root.next;
    }

    private ArrayList<ListNode[]> decive(ListNode head, int k) {
        int i = 0;
        ListNode cur = head;
        ArrayList<ListNode[]> res = new ArrayList<>();
        while (cur != null) {
            i++;
            if (i == k) {
                i = 0;
                res.add(new ListNode[]{head, cur});
                head = cur.next;
            }
            cur = cur.next;
        }
        for (int j = 0; j < res.size(); j++) {
            reverse(res.get(j)[0],res.get(j)[1]);
        }
        if (i > 0) {
            res.add(new ListNode[]{cur, head});
        }
        return res;
    }

    private void reverse(ListNode head, ListNode last) {
        ListNode res = last.next;
        ListNode pre = null;
        ListNode cur = head;
        ListNode next = head;
        while(cur != res) {
            next = cur.next;
            cur.next = pre;
            pre = cur;
            cur = next;
        }
    }
}

3.结束

gogogo,刷题刷题,每天一道,三年1000道!!!!