【数据结构与算法】2道面试真题,带你领略算法思想【附思路、动图、源码】

115 阅读7分钟

持续创作,加速成长!这是我参与「掘金日新计划 · 10 月更文挑战」的第10天,点击查看活动详情 前情提要

本章节是数据结构链表的相关题目讲解~

以下的内容一定会让你对链表相关知识的题目,有一个颠覆性的认识哦!!!

【以下内容以C语言的方式实现】

以下内容干货满满,跟上步伐吧~


👉前情提要

  • 本次题目涉及面试题解答思路&中等难度题目

  • 欢迎大家上手测试一波🥰


📒面试真题【全面深度解析】


🏷️环形链表【难度:简单】

:mag:题目传送门:

Leetcode:141. 环形链表

给你一个链表的头节点 head ,判断链表中是否有环。

如果链表中有某个节点,可以通过连续跟踪 next 指针再次到达,则链表中存在环。 为了表示给定链表中的环,评测系统内部使用整数 pos 来表示链表尾连接到链表中的位置(索引从 0 开始)。

注意:pos 不作为参数进行传递 。仅仅是为了标识链表的实际情况。

如果链表中存在环 ,则返回 true 。 否则,返回 false

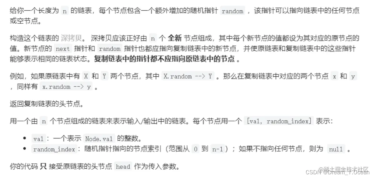
  • 示例 1:

在这里插入图片描述

输入:head = [3,2,0,-4], pos = 1
输出:true
解释:链表中有一个环,其尾部连接到第二个节点
  • 示例 2:

这里是引用

输入:head = [1,2], pos = 0
输出:true
解释:链表中有一个环,其尾部连接到第一个节点
  • 示例 3:

在这里插入图片描述

输入:head = [1], pos = -1
输出:false
解释:链表中没有环

💡解题关键: 本题目实质询问了两个问题

  • 1️⃣判断链表是否为循环链表
  1. 链表的最后一个结点的next指向第一个结点,形成循环链表

  2. 链表的最后一个结点的next指向前面的任意一个结点,形成循环链表

  3. 链表的最后一个结点的next指向自己的结点,形成循环链表

  • 2️⃣如果为循环链表,则循环的入口点是哪个位置

🔥解题思路:「快慢指针」的思想解决相遇问题

  • 快慢指针前进的方向相同,且它们步伐的是恒定的【即快指针的速度是慢指针的两倍】

  • 如果链表是存在环的话,「快指针」一定先进入环并一直在环内移动,当「慢指针」刚进入环时,由于「快指针」走得快,每次两指针距离就减少1,最终一定会在某一个结点处追上「慢指针」与之相遇,即套了「慢指针」若干圈

    • 1️⃣快指针:一次走两步

    • 2️⃣慢指针:一次走一步

动图示例:

在这里插入图片描述

特别注意: 可能有同学就疑惑于为什么「快慢指针」的⌈快指针⌋不能一次走3步?走4步?走n步?

  • 因为这里就涉及了一个逻辑问题[这也是一个面试真题]

1️⃣证明: ⌈快指针⌋ ⌈慢指针⌋ 一定会在环内相遇,而不是永远追不上 在这里插入图片描述 2️⃣证明: ⌈慢指针⌋走一步,⌈快指针⌋走两步? 走三步? 走x步? 行不行

在这里插入图片描述

  1. 无论⌈快指针⌋走x步,快慢指针之间每次减少的距离不是奇数就是偶数,所以大致的效果都可以类比出来

  2. 所以关键在于⌈慢指针⌋进环时与⌈快指针⌋相差的距离N:

    1. N为偶数,且每次减少的距离为偶数的时候,就一定能追上

    2. N为奇数,且每次减少的距离为奇数的时候,就一定能追上

    3. N为偶数,且每次减少的距离为奇数的时候,此时就需要看下一圈环的长度-1的距离[即此时N = 环的长度-1]:

      1. ==当 环的长度-1 为偶数,即 重复循环了这种情况,永远不可能相遇==

      2. 环的长度-1为奇数,又因为每次减少的距离为奇数,所以可以追得上

    4. N为奇数,且每次减少的距离为偶数的时候,此时就需要看下一圈环的长度-1的距离[即此时N = 环的长度-1]:

      1. 环的长度-1为偶数, 又因为每次减少的距离为偶数,所以可以追得上

      2. ==当 环的长度-1 为奇数,即 重复循环了这种情况,永远不可能相遇==

➡️综上: 有两种情况永远不可能相遇

  • 1️⃣当⌈慢指针⌋进环时,若快慢指针的差距N偶数,每次差距减少奇数,且环的长度-1为偶数

  • 2️⃣当⌈慢指针⌋进环时,若快慢指针的差距N奇数,每次差距减少偶数,且环的长度-1为奇数

✨当解决相遇的问题,我们再来看看⌈如何找到循环的入口点⌋

  • 此时就可以推导出一个公式满足:一个从相遇点开始走,一个从链表的头部开始走,直至相遇,就是循环入口点的位置

👉实现:

bool hasCycle(struct ListNode *head) 
{
    struct ListNode* slow = head;
	struct ListNode* fast = head;

	//相遇 -- 且找到 相遇点
	while (fast && fast->next)
	{
		//如果不带环
		//fast走得快,一定会先结束

		slow = slow->next; //一次走一步
		fast = fast->next->next; //一次走两步

		if (slow == fast)
		{
			//相遇
			struct ListNode* meet = fast;
			//通过推论证明,一个指针从 head 走,
			//一个指着从 相遇点走
			//它们就可以在入口点处 相遇
            
			while (meet != head)
			{
				meet = meet->next;
				head = head->next;
			}
			return meet;  //返回相遇的结点
		}
	}
	return false;
}

🏷️ 复制带随机指针的链表【难度:中等】

:mag:题目传送门:

Leetcode:138. 复制带随机指针的链表

在这里插入图片描述

示例 1:

这里是引用

输入:head = [[7,null],[13,0],[11,4],[10,2],[1,0]]
输出:[[7,null],[13,0],[11,4],[10,2],[1,0]]

示例 2:

在这里插入图片描述

输入:head = [[7,null],[13,0],[11,4],[10,2],[1,0]]
输出:[[7,null],[13,0],[11,4],[10,2],[1,0]]

示例 3:

在这里插入图片描述

输入:head = [[3,null],[3,0],[3,null]]
输出:[[3,null],[3,0],[3,null]]

💡解题关键:

  • 这题只要想得到思路,解出来就很简单了~

本题难点: 拷贝结点好处理,但拷贝带随机指针的结点难处理

  • 1️⃣拷贝以后,新链表需要确定每个random则需要去原来的链表一个个去查找,则每个新链表的random处理起来就是O(N*N),效率低

  • 2️⃣而且当原链表中存在多个结点的值相同的话,则要找random指向这多个相同中的其中一个结点的话,实则是很难找的,因为拷贝random时确认不了是多个相同中的哪一个

➡️所以我们针对这个模型,进行一点点的改造:

  • 原链表中的每个结点都拷贝一个并链接插入到原结点的后面

在这里插入图片描述

  • 那我们再处理拷贝链表的时候,拷贝后的链表的random就可以通过第一步链接在原链表中的对应原结点的random指向的结点后面的拷贝结点直接指向,找到拷贝链表的random的指向

在这里插入图片描述 copy->random = cur->random->next;以此类推~

特别注意:

  • 当原结点的random指向的是NULL的时候,就不再需要再访问random->next,而是直接将NULLcopy->random

  • 上述步骤执行完后,可以将拷贝原结点的结点拿下来,并链接再一起形成新的链表 在这里插入图片描述

👉实现:

struct Node* copyRandomList(struct Node* head) 
{
	if (head == NULL)
	{
		return NULL; 
	}

	//1.拷贝结点 挂在原节点的后面 ,建立对应关系
	struct Node* cur = head;

	while (cur)
	{
		struct Node* next = cur->next;
		struct Node* copy = (struct Node*)malloc(sizeof(struct Node));
		copy->val = cur->val;
		cur->next = copy;
		copy->next = next;

		cur = next;
	}

	//2.处理copy结点的random
	cur = head;

	while (cur) //将每个结点都处理完
	{
		struct Node* copy = cur->next;
		if (cur->random == NULL)
		{
			copy->random = NULL;
		}
		else
		{
			copy->random = cur->random->next;
		}
		cur = copy->next;  
	}

	//3.拷贝结点取下来,链接到一起,恢复原链表

	//取下来为尾插:尾插的简单写法就是带一个哨兵位的头结点
	cur = head;
	struct Node* copyHead, *copyTail;
	copyHead = copyTail = (struct Node*)malloc(sizeof(struct Node));

	while (cur != NULL)
	{
		struct Node* copy = cur->next;
		struct Node* next = copy->next;

		//尾插[带哨兵位的就可以直接 tail后面一直尾插]
		copyTail->next = copy;
		copyTail = copyTail->next;

		//恢复原链表
		cur->next = next;

		//继续迭代
		cur = next;

	}
	 
	struct Node* guard = copyHead;
	copyHead = copyHead->next;
	free(guard); //释放头结点

	return copyHead;
}

🌟总结

综上,我们基本了解了数据结构中的 "链表重要面试真题" 的知识啦~~

恭喜你的内功又双叒叕得到了提高!!!

感谢你们的阅读

后续还会继续更新,欢迎持续关注哟~

如果有错误❌,欢迎指正呀

:sparkles:如果觉得收获满满,可以点点赞👍支持一下哟~ 在这里插入图片描述