基于深度学习的地震波逆时偏移补偿方法

185 阅读12分钟

基于深度学习的地震波逆时偏移补偿方法

韩连福,柴子威,宋利伟,刘兴斌,付长凤

(1•东北石油大学物理与电子工程学院,黑龙江 大庆163318;2•中国石油大庆油田有限责任公司人才开发院,黑龙江 大庆163318)

摘要:逆时偏移作为重要的地震偏移技术,已经成为复杂构造成像的有力工具。地下构造的强衰减体引起地震波 振幅减弱和相位失真,直接影响地下有效油气储层的识别精度,而现有逆时偏移补偿技术具有计算复杂、补偿精度低等不足。为优化计算、提高补偿精度,提岀一种基于TensorFlow框架的震波逆时偏移补偿方法,将传统循环 生成对抗网络(CycleGAN)与注意力机制(Attention)相融合,将交叉爛损失函数与感知损失函数结合成新的损失函数,最后得到补偿后的地震波特征图。实验表明,基于深度学习的地震波逆时偏移补偿方法补偿平均误差为 3. 71 %, 低于现有基于广义S变换反Q滤波方法的平均误差为4・59%, 证明了该方法对地震资料的处理与解释的可行性。

关键词:地震勘探;逆时偏移;循环生成对抗网络;注意力机制;补偿;深度学习

引言

逆时偏移成像技术已经广泛应用于地震勘探中,但根据双程波动方程和时间一致性成像等原理,逆时偏移会产生一定的低频噪声。低频噪声会造成地震波的衰减,且由于地下不均匀地层发生摩擦生热造成振幅固有衰减,地震波振幅还会随着传播距离的增大而发生几何衰减。地震波逆时偏移补偿中,常用的方法有最小二 乘反演吸收衰减补偿法、求解拉普拉斯算子的解耦 黏滞声波方程法、求解补偿方程的波数域格林函数 等啓幻,这些方法存在着依赖于正演且计算复杂度较 高的缺点。深度学习具有能够自适应性学习的特点,在地震波逆时偏移补偿中具有广泛的应用前景李金丽等闪用黏滞声波逆时偏移方法对地震波衰减进行了补偿,赵岩等提出一种自适应增益限反Q滤波方法,李添才等提出一种基于相速度的旅行时计算方法,在吸收衰减介质成像方面引入多尺度Gabor变换进行有效的相位和振幅补偿,LIN J等固通过字典学习方法进行地震波补偿。这些方法存在计算复杂度高的特点,而且在复杂强衰减地质中补偿效果不理想。为简化反演计算复杂度、提高在强衰减地质中地震波逆时偏移补偿精度,提出一种基于深度学习的地震波逆时偏移补偿方法,利用循环生成对抗网络直接从波场角度对有衰减的波形进行补偿处理,通过与注意力机制相融合,成功补偿了波形的振幅衰减和相位失真。实验结果表明,该方法修正了常规方法中存在的滤披去噪不彻底,改变了成像数据的振幅和相位信息等不足,补偿平均误差为 3. 71%, 低于现有研究资料中基于广义S变换反Q滤波补偿方法平均误差4. 59%。在保证去噪效果的前提下保证了波形数据振幅和相位信息的相对不变,具有广泛的实际应用价值。

1基于深度学习的地震波逆时偏移补偿模型

1.1地震液逆时偏移补偿算法原理

基于深度学习的地震波逆时偏移补偿,算法采用循环生成对抗网络(CycleGAN〉与注意力机制(Attention)相融合。CycleGAN主要由生成器和判别器2部分构成。生成器负责将潜在空间采样点生成的地震波特征图与判别器进行比较,经过生成器不断优化和学习,直到生成器生成特征图的概率分布与判别器一致,成功“骗”过判别器[如o Attention模拟了人类大脑注意力资源分配方法,通过概率分配的方式,提高对特征图重点区域的关注,以获取更多重要的细节,减少或忽略特征图中除了波形之外其他部分的干扰口叮。如图1所示,训练黏性地质地震波有无衰减这2种形态特征图,构建模型,通过分别训练判别器和生成器,二者相互博弈,直到达到平衡,判别器无法辨认出生成器生成的特征图,实现通过深度学习完成对波形衰减的补偿。

图1逆时偏移补偿算法原理

1.2模型结构设计

利用深度学习实现对地震波逆时偏移衰减补偿示意图见图2。把炮点处产生的没有衰减的地震波数据集设为A域,把经过黏性地层后检波器接受到的有衰减的地震波数据集记为£域。Gab为经过反复训练和学习对衰减信号的生成器,张为补偿衰减后的波形生成器,Db为有衰减的地震波判别器,负责判别输入波形是生成器生成的有衰减的地震波还是真实的有衰减的地震波,输出为0或1。经过注意力机制的融入,通过训练不断优化生成器和判别器,提高生成器“欺骗”能力和判别器的“侦察”能力,最终实现生成器生成的没有衰减的地震波图像成功“骗”过判别器,从而实现补偿。

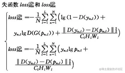
1.3损失函数的改进

损失函数是深度学习网络的关键所在,常见的交叉購损失函数口幻能够比较生成器生成的地震波波场图与无衰减的地震波波场图像素间的损失,却无法宏观上比较二者结构的相似性,不适用于地震波逆时偏移补偿。该算法采用基于像素级的交叉爛损失和感知损失相融合的改进型混合损失函数。改进型的混合损失函数成功融合了这2种损失函数的优点,既可以计算预测目标地震波波形图中像素间的损失,又可以比较相似图像间的高级感知和语义差异,提高对低分辨率地震波形图特征的重构能力口現由于该模型设计应用于地震波逆时偏移补偿,因此,有无衰减的地震波皆为同地质区块同炮处的检波器接收的地震波,从而有衰减待补偿的地震波与震源处发出地震波具有结构相似性。改进型的混合损失函数更容易使模型收敛,更适用于此项目°

式(1)可分别表示判别器和生成器改进型的混合损

(1) 式中,畑为batch中模型网络第Z层的第池个像素的目标标签值;為,为batch中模型网络第I层的第死个像素的预测概率;G、H,、Wz为第Z层的feature_map的血e,即通道数、长、宽;D(畑)为判别器中第Z层的第九个像素的目标标签值为判别 器中第I层的第宛个像素的预测概率;G(仇丿为生成器中第I层的第n个像素的目标标签值;L为网络层数;N为1个batch中像素数量。

2实验过程及结果分析

2.1地震波逆时偏移补偿模型训练

网络结构使用Tensorflow 实现,批数量为16, 优化方法采用批量随机梯度下降法在CUDA10. 0架构平台下计算学习率为0. 001, 训练迭代次数为200, 用CuDNN7. 5. 0神经网络计算库加速运算。

网络训练前,先利用数值模拟方法构建1个衰减模型,震源选择Ricker子波进行正演然后基于Kolsky衰减模型合成有衰减的地震信号,白噪反射系数序列,时间采样间隔dr为0. 003 最大延续时间仏为1. 2 s,品质因子Q为80, 主频为80 Hz。实验将模拟地震信号波场快照为地震波数据集,引入注意力机制防止模型过拟合。在时频域内进行地震波能量衰减补偿。结果见图3O图3(a)为通过Ricker子波数值模拟的无衰减的地震波及其时频图,在1. 2 s内可见6个明显波峰,地震波振幅越大的位置对应时频图内能量越大、颜色越深。图3(b)为数值模拟出的通过黏性地层后有衰减的地震波,在0.18 s之后振幅和相位衰减较为严重,衰减朝低频方向移动。图3(c)为通过CycleGAN地震波逆时偏移衰减补偿模型处理后的波场时频图及重构的地震波,对比图3(b)在对应波峰处能量衰减得到了补偿,在0. 5〜0・9 s处存在明显的过度补偿,这是模型过拟合导致的。图3(d)为融入注意力机制的CycleGAN地震波逆时偏移衰减补偿模型处理后的波场时频图及重构的地震波,减少了图3(c)的过度补偿现象,补偿效果较理想。

图3模拟地JR波波场频谱图

2.2地震波逆时偏移补偿模型的评价与分析

采用Q值法和感知哈希算法衡量模型对地震波的补偿效果。品质因子Q是在1个波长距离内振动损耗的能量与总能量之比的倒数,它是能够衡量地震波能量衰减和频散的重要参数。感知哈希算法用于比较2张图片之间像素的相似度,该算法评价的原理是将无衰减的地震波波场图和生成的补偿后的地震波图像分别从像素域转换到频域,通过保留频率系数矩阵左上角的区域元素计算图像的哈希值,再计算2张地震波图片哈希值的汉明距离,从而得到2张地震波图像的相似度。

实验选取了 4组不同Q值进行误差分析,从2种模型预测的波场图中提取对应的预测Q值与真实Q值进行对比。表1展示了CycleGAN补偿模型与CycleGAN+Attention补偿模型预测Q值与真实Q值的对比情况以及误差分析。通过模型试算得出:CycleGAN补偿模型预测Q值平均误差为4.19%, 融入注意力机制的CycleGAN衰减补偿模型预测Q值平均误差为3. 71%, 均低于现有从广义S变换角度计算得出的Q值平均误差4. 59%, 而且融入了注意力机制的CycleGAN模型预测值误差更低,拟合效果更好。

表1 2种模型预测的Q值误差分析

比较了相同时间切片处采用CycleGAN补偿模型与CycleGAN +Attention补偿模型处理的地震波图像的哈希值,图4展示了训练时期(epoch)为200时每一轮中通过感知哈希算法计算2种模型补偿地震波的准确率。

分析得出:随着训练epoch数的增加,2种模型对于地震波逆时偏移衰减补偿的准确率整体上逐渐提升。在98个epoch之后2种模型预测准确率趋于相对稳定,且融入注意力机制补偿模型预测值平均准确率为81.15%, 好于普通CycleGAN模型预测值平均准确率75.01%。再次验证了地震波逆时偏移补偿模型在融入注意力机制后从波形结构相似性上效果更理想,对地震资料的衰减处理具有一定的应用价值。

图4通过感知哈希算法评价2种模型预测准确率

3结论

(1) 提出一种基于深度学习的地震波逆时偏移补偿方法,将地震波从波数域获取的波场图作为数据集,将CycleGAN算法与注意力机制相融合完成图像生成。

(2) 采用融入注意力机制的CycleGAN算法对地震波做逆时偏移衰减补偿处理,模型预测值的误差低于现有基于广义S变换方法的平均误差4.59%, 验证了该方法的可行性及优越性。

(3) 将损失函数改进成交叉爛损失函数与感知损失函数混合型的损失函数,更适用于强衰减地层中对地震波的补偿。未来可以将该模型推广应用到不同的地质勘探坏境中,具有广泛的应用潜力。

学习和关注人工智能技术与咨询,了解更多资讯!!!