学习:二叉查找树(BST)

156 阅读6分钟

一、定义

著作权归pdai.tech所有。 链接:www.pdai.tech/md/algorith…

在二叉查找树中:

  • 若任意节点的左子树不空,则左子树上所有结点的值均小于它的根结点的值;
  • 任意节点的右子树不空,则右子树上所有结点的值均大于(或等于)它的根结点的值;
  • 任意节点的左、右子树也分别为二叉查找树。
  • 没有键值相等的节点。

BST.jpg

二、实现

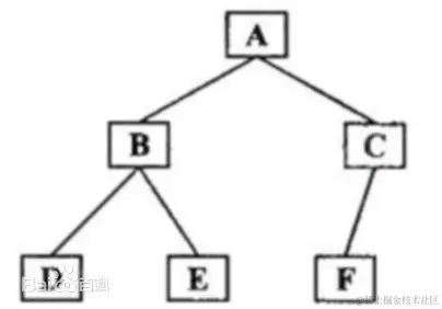
二叉树示例.png
  • 构造节点

BSTree是二叉树,它保存了二叉树的根节点mRoot;mRoot是BSTNode类型,而BSTNode是二叉查找树的节点,它是BSTree的内部类。BSTNode包含二叉查找树的几个基本信息:

  • key -- 它是关键字,是用来对二叉查找树的节点进行排序的。
  • left -- 它指向当前节点的左孩子。
  • right -- 它指向当前节点的右孩子。
  • parent -- 它指向当前节点的父结点。
public class BSTree<T extends Comparable<T>> {

    private BSTNode<T> mRoot;    // 根结点

    public class BSTNode<T extends Comparable<T>> {
        T key;                // 关键字(键值)
        BSTNode<T> left;      // 左孩子
        BSTNode<T> right;     // 右孩子
        BSTNode<T> parent;    // 父结点

        public BSTNode(T key, BSTNode<T> parent, BSTNode<T> left, BSTNode<T> right) {
            this.key = key;
            this.parent = parent;
            this.left = left;
            this.right = right;
        }
    }

        ......
}

  • 遍历

    • 先序遍历

    若二叉树非空,则执行以下操作:

    访问根结点;先序遍历左子树;先序遍历右子树。

    遍历顺序:ABDECF

    从上到下,每一个小二叉数都是:根->左->右

    /*
     * 前序遍历"二叉树"
     */
    private void preOrder(BSTNode<T> tree) {
        if(tree != null) {
            System.out.print(tree.key+" ");
            preOrder(tree.left);
            preOrder(tree.right);
        }
    }
    
    public void preOrder() {
        preOrder(mRoot);
    }
    
    • 中序遍历

    若二叉树非空,则执行以下操作:

    中序遍历首先遍历左子树,然后访问根结点,最后遍历右子树

    遍历结果:DBEAFC

    从小到大排序(只对BST)

    /*
     * 中序遍历"二叉树"
     */
    private void inOrder(BSTNode<T> tree) {
        if(tree != null) {
            inOrder(tree.left);
            System.out.print(tree.key+" ");
            inOrder(tree.right);
        }
    }
    
    public void inOrder() {
        inOrder(mRoot);
    }
    
    • 后序遍历

    若二叉树非空,则执行以下操作:

    先遍历左子树,然后遍历右子树,最后访问根结点

    遍历结果:DEBFCA

    从最底层往上读取(从下到上从左到右)

    /*
     * 后序遍历"二叉树"
     */
    private void postOrder(BSTNode<T> tree) {
        if(tree != null)
        {
            postOrder(tree.left);
            postOrder(tree.right);
            System.out.print(tree.key+" ");
        }
    }
    
    public void postOrder() {
        postOrder(mRoot);
    }
    
  • 查找

    • 递归版本的代码
    /*
     * (递归实现)查找"二叉树x"中键值为key的节点
     */
    private BSTNode<T> search(BSTNode<T> x, T key) {
        if (x==null)
            return x;
    
        int cmp = key.compareTo(x.key);
        if (cmp < 0)
            return search(x.left, key);
        else if (cmp > 0)
            return search(x.right, key);
        else
            return x;
    }
    
    public BSTNode<T> search(T key) {
        return search(mRoot, key);
    }
    
    
    • 非递归版本的代码
    /*
     * (非递归实现)查找"二叉树x"中键值为key的节点
     */
    private BSTNode<T> iterativeSearch(BSTNode<T> x, T key) {
        while (x!=null) {
            int cmp = key.compareTo(x.key);
    
            if (cmp < 0) 
                x = x.left;
            else if (cmp > 0) 
                x = x.right;
            else
                return x;
        }
    
        return x;
    }
    
    public BSTNode<T> iterativeSearch(T key) {
        return iterativeSearch(mRoot, key);
    }
    
    
  • 最大值和最小值

    查找最大值,就是找最右边的结点

    查找最小值,就是找最左边的结点

    /* 
     * 查找最大结点: 返回tree为根结点的二叉树的最大结点。
     */
    private BSTNode<T> maximum(BSTNode<T> tree) {
        if (tree == null)
            return null;
    
        while(tree.right != null)
            tree = tree.right;
        return tree;
    }
    
    public T maximum() {
        BSTNode<T> p = maximum(mRoot);
        if (p != null)
            return p.key;
    
        return null;
    }
    
    /* 
     * 查找最小结点: 返回tree为根结点的二叉树的最小结点。
     */
    private BSTNode<T> minimum(BSTNode<T> tree) {
        if (tree == null)
            return null;
    
        while(tree.left != null)
            tree = tree.left;
        return tree;
    }
    
    public T minimum() {
        BSTNode<T> p = minimum(mRoot);
        if (p != null)
            return p.key;
    
        return null;
    }
    
    
    
  • 前驱和后继

    前驱图:

    image.png

    后继图:跟前驱类似

    /*
     * 找结点(x)的后继结点。即,查找"二叉树中数据值大于该结点"的"最小结点"。
     */
    public BSTNode<T> successor(BSTNode<T> x) {
        // 如果x存在右孩子,则"x的后继结点"为 "以其右孩子为根的子树的最小结点"。
        if (x.right != null)
            return minimum(x.right);
    
        // 如果x没有右孩子。则x有以下两种可能:
        // (01) x是"一个左孩子"
        // (02) x是"一个右孩子"
        //但无论哪种情况,后继节点的寻找方法都是,不断地找父节点,直到当前节点是父节点的左节点
        BSTNode<T> y = x.parent;
    
        while ((y!=null) && (x==y.right)) {
            x = y;
            y = y.parent;
        }
    
        return y;
    }
    
    /*
     * 找结点(x)的前驱结点。即,查找"二叉树中数据值小于该结点"的"最大结点"。
     */
    public BSTNode<T> predecessor(BSTNode<T> x) {
        // 如果x存在左孩子,则"x的前驱结点"为 "以其左孩子为根的子树的最大结点"。
        if (x.left != null)
            return maximum(x.left);
    
        // 如果x没有左孩子。则x有以下两种可能:
        // (01) x是"一个右孩子"
        // (02) x是"一个左孩子"
        //但无论哪种情况,前驱节点的寻找方法都是,不断地找父节点,直到当前节点是父节点的右节点
        BSTNode<T> y = x.parent;
        while ((y!=null) && (x==y.left)) {
            x = y;
            y = y.parent;
        }
    
        return y;
    }
    
  • 插入

    image.png

    /*
     * 将结点插入到二叉树中
     *
     * 参数说明:
     *     bst 整个tree
     *     z 插入的结点
     */
    private void insert(BSTree<T> bst, BSTNode<T> z) {
        int cmp;
        BSTNode<T> y = null;
        BSTNode<T> x = bst.mRoot;
    
        // 查找z的插入位置
        while (x != null) {
            y = x;
            cmp = z.key.compareTo(x.key);
            if (cmp < 0)
                x = x.left;
            else
                x = x.right;
        }
    
        z.parent = y;
        if (y==null)
            bst.mRoot = z;
        else {
            cmp = z.key.compareTo(y.key);
            if (cmp < 0)
                y.left = z;
            else
                y.right = z;
        }
    }
    
  • 删除

    image.png

    情况一:被删除的节点有左右子树--前驱顶替

    情况二:被删除的节点只有左子树(或右子树)--孩子顶替

    情况三:被删除的节点没有子树--直接删除

    /*
     * 删除结点(z),并返回被删除的结点
     * 删除并不是真的把节点位置删除了,需要先去寻找真正删除的位置,然后把对应的节点重新绑定(赋值)
     * 参数说明:
     *     bst 二叉树
     *     z 删除的结点
     */
    private BSTNode<T> remove(BSTree<T> bst, BSTNode<T> z) {
        //暂存节点信息
        BSTNode<T> x=null;
        //真正被删除的节点位置
        BSTNode<T> y=null;
        //1、寻找被删除的位置
        if ((z.left == null) || (z.right == null) )
            //被删除的节点只有左子树或右子树或者没有子树
            y = z;
        else
            //被删除的节点有左右子树--先寻找前驱节点
            //删除的就是前驱的位置
            y = successor(z);
        //2、重新构造新的节点信息
        //有左节点信息,一定是左节点替换(前驱节点替换删除的位置),没有的话就只有右节点了
        if (y.left != null)
            x = y.left;
        else
            x = y.right;
        if (x != null)
            x.parent = y.parent;
        //3、重新连接节点(删除需要删除的节点)
        //如果y的parent为null,那么y就是根
        if (y.parent == null)
            bst.mRoot = x;
            //被删除的节点只有左子树
        else if (y == y.parent.left)
            //重新连接节点信息
            y.parent.left = x;
        else
            //重新连接节点信息
            y.parent.right = x;
        //4、复制值x
        if (y != z)
            z.key = y.key;
    
        //System.out.println("真正删除的节点:"+y);
        return y;
    
    
    }
    
  • 打印

    /*
     * 打印"二叉查找树"
     *
     * key        -- 节点的键值 
     * direction  --  0,表示该节点是根节点;
     *               -1,表示该节点是它的父结点的左孩子;
     *                1,表示该节点是它的父结点的右孩子。
     */
    private void print(BSTNode<T> tree, T key, int direction) {
    
        if(tree != null) {
    
            if(direction==0)    // tree是根节点
                System.out.printf("%2d is root\n", tree.key);
            else                // tree是分支节点
                System.out.printf("%2d is %2d's %6s child\n", tree.key, key, direction==1?"right" : "left");
    
            print(tree.left, tree.key, -1);
            print(tree.right,tree.key,  1);
        }
    }
    
    public void print() {
        if (mRoot != null)
            print(mRoot, mRoot.key, 0);
    }
    
    
  • 销毁

    /*
     * 销毁二叉树
     */
    private void destroy(BSTNode<T> tree) {
        if (tree==null)
            return ;
    
        if (tree.left != null)
            destroy(tree.left);
        if (tree.right != null)
            destroy(tree.right);
    
        tree=null;
    }
    
    public void clear() {
        destroy(mRoot);
        mRoot = null;
    }
    
    

三、代码和测试

完整代码和测试参考:www.pdai.tech/md/algorith…