数据结构

190 阅读5分钟

数据结构基本概念和术语

概念

数据结构:是相互之间存在一种或多种特定关系的数据元素的合集

术语

1. 数据

数据: 是描述客观事物的符号,是计算机中可以操作的对象,是能被计算机识别,并输入给计算机处理的符号合集。

数据不仅仅包括整型、实型等数值类型,还包括字符及声音、图像、视频等非数值类型。

符号必须具备两个前提

  • 可以输入到计算机中
  • 能被计算机程序处理

对于整数型、实型等数值类型,可以进行数值计算。

对于字符串数据类型,就需要进行非数值的处理。而声音、图像、视频等可以通过编码的手段变成字符数据来处理。

2. 数据元素

数据元素: 是组成数据的、有一定意义的基本单位,在计算机中通常作为一个整体处理。也被称为记录

比如,在人类中,人就是数据元素

3. 数据项

数据项: 一个数据元素可以由若干个数据项组成(数据项是数据不可分割的最小单位)

比如人这样的数据元素,可以有眼、耳朵、鼻、嘴、手、脚这些数据项,也可以有姓名、年龄、性别、地址等数据项。

4. 数据对象

数据对象: 是性质相同的数据元素的集合,是数据的子集

什么叫性质相同呢,是指数据元素具有相同数量和类型的数据项,比如,人多有姓名、生日、性别等相同的数据项。

既然数据对象是数据的子集,在实际应用中,处理的数据元素通常具有相同性质,在不产生混淆的情况,我们都将数据对象简称为数据。

逻辑结构和物理结构

逻辑结构

逻辑结构: 是指数据对象中数据元素之间的相互关系。

  1. 集合机构 集合机构:集合机构中的数据元素除了同属一个集合外,他们之间没有其他关系

image.png

  1. 线性结构 线性结构: 线性结构中的数据元素之间是一对一的关系

image.png 3. 树形结构 树形结构: 树形结构中的数据元素之间存在一种一对多的层次关系

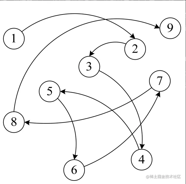
image.png 4. 图形结构 图形结构:图形结构的数据元素是多对多的关系

image.png

使用示意图表示数据的逻辑结构时,注意两点

  • 将每个数据元素看做一个节点,用圆圈表示。
  • 元素之间的逻辑关系用节点之间的连线表示,如果这个关系是有方向的,那么用带箭头的连线表示。

逻辑结构是针对具体问题的,是为了解决某个问题,在对问题理解的基础上,选择一个合适的数据结构表示数据元素之间的逻辑关系。

物理结构(存储结构)

物理结构: 是指数据的逻辑结构在计算中的存储形式。

  1. 顺序存储结构 顺序存储结构:是把数据元素存放在地址连续的存储单元里,其数据间的逻辑关系和物理关系是一致的。

image.png

  1. 链式存储结构

链式存储结构:是把数据元素存放在任意的存储单元里,这组存储单元可以是连续的,也可以是不连续的。 数据元素的存储关系并不能反映其逻辑关系,因此需要用一个指针存放数据元素的地址,这样通过地址就可以找到相关联数据元素的位置。

链式存储就灵活多了,数据存在哪里不重要,只要有一个指针存放了相应的地址就能找到他。

image.png

数据时数据元素的集合,那么根据物理结构的定义,实际上就是如何把数据元素存储到计算机的存储器中,存储器主要是针对内存而言的,像硬盘、软盘、光盘等外部存储器的数据组织通常用文件结构来描述。

数据的存储结构应正确的反映数据元素之间的逻辑关系,这才是最为关键的,如何存储数据元素之间的逻辑关系,是实现物理结构的重点和难点。

抽象数据类型

  1. 数据类型 数据类型: 是指一组性质相同的值的集合及定义在此集合上的一些操作的总称。

数据类型是按照值的不同划分的。在高级语言中,每个变量、常量和表达式都有各自的取值范围。类型就用来说明变量或表达式的取值范围和所能进行的操作。

  1. 抽象数据类型(Abstract Data Type, ADT)

抽象数据类型: 是指一个数学模型及定义在该模型上的一组操作。

抽象数据类型体现了程序设计中问题分解、抽象和信息隐藏的特性。抽象数据类型把实际生活中的问题分解为多个规模小且容易处理的问题,然后建立一个计算机能处理的数据模型,并把每个功能模块的实现细节作为一个独立的单元,从而使具体实现过程隐藏起来。

描述抽象数据类型的标准格式

ADT 抽象数据类型名称
Data
   数据元数据之间逻辑关系的定义
Operation
    操作1
        初始条件
        操作结果描述
    操作2
        ......
    操作n
        ......
        

总结

数据结构相关概念

image.png

数据结构:是相互之间存在一种或多种特定关系的数据元素的合集

不同的分类

image.png