相交链表

187 阅读3分钟

持续创作,加速成长!这是我参与「掘金日新计划 · 10 月更文挑战」的第17天,点击查看活动详情

160. 相交链表 - 力扣(LeetCode)

给你两个单链表的头节点 headAheadB ,请你找出并返回两个单链表相交的起始节点。如果两个链表不存在相交节点,返回 null

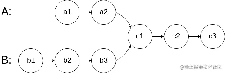
图示两个链表在节点 c1 开始相交

题目数据 保证 整个链式结构中不存在环。

注意,函数返回结果后,链表必须 保持其原始结构

自定义评测:

评测系统 的输入如下(你设计的程序 不适用 此输入):

  • intersectVal - 相交的起始节点的值。如果不存在相交节点,这一值为 0
  • listA - 第一个链表
  • listB - 第二个链表
  • skipA - 在 listA 中(从头节点开始)跳到交叉节点的节点数
  • skipB - 在 listB 中(从头节点开始)跳到交叉节点的节点数

评测系统将根据这些输入创建链式数据结构,并将两个头节点 headAheadB 传递给你的程序。如果程序能够正确返回相交节点,那么你的解决方案将被 视作正确答案

示例 1:

输入: intersectVal = 8, listA = [4,1,8,4,5], listB = [5,6,1,8,4,5], skipA = 2, skipB = 3
输出: Intersected at '8'
解释: 相交节点的值为 8 (注意,如果两个链表相交则不能为 0)。
从各自的表头开始算起,链表 A 为 [4,1,8,4,5],链表 B 为 [5,6,1,8,4,5]。
在 A 中,相交节点前有 2 个节点;在 B 中,相交节点前有 3 个节点。
— 请注意相交节点的值不为 1,因为在链表 A 和链表 B 之中值为 1 的节点 (A 中第二个节点和 B 中第三个节点) 是不同的节点。换句话说,它们在内存中指向两个不同的位置,而链表 A 和链表 B 中值为 8 的节点 (A 中第三个节点,B 中第四个节点) 在内存中指向相同的位置。

示例 2:

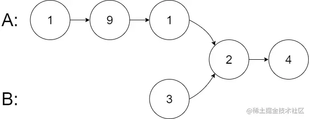
输入: intersectVal = 2, listA = [1,9,1,2,4], listB = [3,2,4], skipA = 3, skipB = 1
输出: Intersected at '2'
解释: 相交节点的值为 2 (注意,如果两个链表相交则不能为 0)。
从各自的表头开始算起,链表 A 为 [1,9,1,2,4],链表 B 为 [3,2,4]。
在 A 中,相交节点前有 3 个节点;在 B 中,相交节点前有 1 个节点。

示例 3:

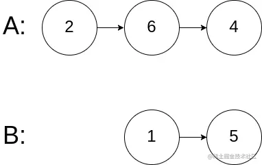
输入: intersectVal = 0, listA = [2,6,4], listB = [1,5], skipA = 3, skipB = 2
输出: null
解释: 从各自的表头开始算起,链表 A 为 [2,6,4],链表 B 为 [1,5]。
由于这两个链表不相交,所以 intersectVal 必须为 0,而 skipA 和 skipB 可以是任意值。
这两个链表不相交,因此返回 null 。

提示:

  • listA 中节点数目为 m
  • listB 中节点数目为 n
  • 1 <= m, n <= 3 * 10^4
  • 1 <= Node.val <= 10^5
  • 0 <= skipA <= m
  • 0 <= skipB <= n
  • 如果 listAlistB 没有交点,intersectVal0
  • 如果 listAlistB 有交点,intersectVal == listA[skipA] == listB[skipB]

进阶: 你能否设计一个时间复杂度 O(m + n) 、仅用 O(1) 内存的解决方案?

思路

本题的常规解法用两个数组分别存储listAlistB中的节点,从后往前遍历两个数组,找到第一个相等的节点就是我们要求解的节点,如解法一。

解法二是进阶解法。假设listA1->2->3->4->5->nulllistB7->6->4->5->nulllistAlistB相交与4listA连接listB (1->2->3->4->5->null->7->6->4->5->null)listB连接listA (7->6->4->5->null->1->2->3->4->5->null),分别遍历连接后listAlistB,第一个相等的节点就是求解的节点

解题

解法一

/**
 * Definition for singly-linked list.
 * function ListNode(val) {
 *     this.val = val;
 *     this.next = null;
 * }
 */

/**
 * @param {ListNode} headA
 * @param {ListNode} headB
 * @return {ListNode}
 */
var getIntersectionNode = function (headA, headB) {
  const listA = [];
  const listB = [];
  while (headA) {
    listA.push(headA);
    headA = headA.next;
  }
  while (headB) {
    listB.push(headB);
    headB = headB.next;
  }
  let idxA = listA.length - 1;
  let idxB = listB.length - 1;
  while (idxA >= 0 && idxB >= 0 && listA[idxA] === listB[idxB]) {
    idxA--;
    idxB--;
  }
  if (listA[idxA + 1] === listB[idxB + 1]) {
    return listA[idxA + 1];
  } else {
    return null;
  }
};

解法二

/**
 * Definition for singly-linked list.
 * function ListNode(val) {
 *     this.val = val;
 *     this.next = null;
 * }
 */

/**
 * @param {ListNode} headA
 * @param {ListNode} headB
 * @return {ListNode}
 */
var getIntersectionNode = function (headA, headB) {
  let nodeA = headA;
  let nodeB = headB;
  while (nodeA !== nodeB) {
    nodeA = nodeA.next || headB;
    nodeB = nodeB.next || headA;
  }
  return nodeA;
};