【数据结构与算法】8道链表面试真题超详剖析,带你领略算法思想【附思路、动图、源码】

98 阅读14分钟

持续创作,加速成长!这是我参与「掘金日新计划 · 10 月更文挑战」的第9天,点击查看活动详情

前情提要

本章节是数据结构链表的相关基础题目讲解~

以下的内容一定会让你对链表相关知识的题目,有一个颠覆性的认识哦!!!

❗以下内容以C语言的方式实现❗

以下内容干货满满,跟上步伐吧~


👉前情提要

  • 大家可以跟着本文的题目讲解进行链表相关知识的复习&加深

  • 也欢迎大家上手测试一波🥰


📒面试真题【全面深度解析】


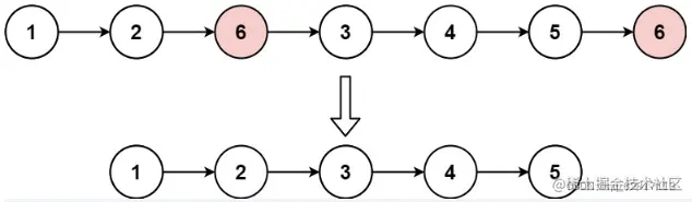
🏷️ 移除链表元素【难度:简单】

:mag:题目传送门:

Leetcode:203. 移除链表元素

给你一个链表的头节点 head 和一个整数 val ,请你删除链表中所有满足 Node.val == val的节点,并返回新的头节点

  • 示例 1:

这里是引用

输入:head = [1,2,6,3,4,5,6], val = 6
输出:[1,2,3,4,5]
  • 示例 2:
输入:head = [], val = 1
输出:[]
  • 示例 3:
输入:head = [7,7,7,7], val = 7
输出:[]

💡解题关键:

  • 我们只需要遍历链表,一一比较结点的val是否为要删除的

    • 1️⃣若为要删除的结点:先释放掉此结点,再将此结点的上一结点链接到此结点的下一结点

    • 2️⃣否则,继续遍历比较

特别注意:

  • 因为单链表只有后驱指针,无法像带头+双向+循环链表轻易地直接访问某个结点的上一结点

  • 所以遍历的时候需要同时安排前(prev)后(cur)指针,去记录上个结点和当前结点的位置

🔥特殊情况:

  • 1️⃣如果第一个结点就是要删除的结点val:这种情况下我们需要连头指针head 一起改变挪动

  • 2️⃣如果整个链表全是要删除的结点val,则也同样连头指针head一起挪动

动图示例:

在这里插入图片描述

👉实现:

struct ListNode* removeElements(struct ListNode*head, int val)
{
	struct ListNode* cur = head;
	struct ListNode* prev = NULL;
	
	//边走边删除 
	//直至cur走到NULL就停止
	while (cur) 
	{
		//要删除结点时:
		if (cur->val == val)
		{
		
			struct ListNode* next = cur->next;

			//说明要删的是 第一个结点
			if (prev == NULL) 
			{
				free(cur);
				head = next;
				cur = next;
			}
			else
			{
				free(cur);
				prev->next = next;
				cur = next;
			}
		}
		//不需要删除结点时:
		else
		{
			prev = cur;
			cur = cur->next;
		}
	}
	return head;  
}

➡️补充:

  • 这里设计得也很巧妙,用cur来当循环的结束标志,当链表整体为NULL的时候,cur也就为NULL,直接不进入循环,执行return head语句,程序结束

🏷️ 反转链表【难度:简单】

:mag:题目传送门:

Leetcode:206. 反转链表

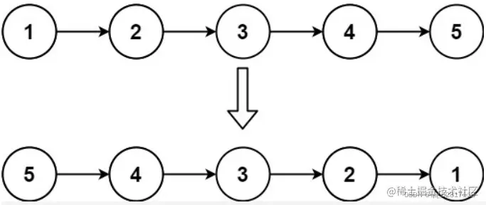
给你单链表的头节点head ,请你反转链表,并返回反转后的链表

示例 1:

这里是引用

输入:head = [1,2,3,4,5]
输出:[5,4,3,2,1]

示例 2:

这里是引用

输入:head = [1,2]
输出:[2,1]

示例 3:

输入:head = []
输出:[]

💡解题关键:

  • 本质:将箭头反转

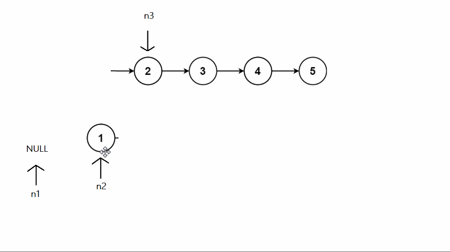
➡️思路一: 三指针循环反转【n1、n2、n3】

  • 1️⃣n1指针负责不断往后遍历链表,与n2指针一起进行反转箭头【箭头指向n1

  • 2️⃣n3指针负责迭代【作导向的作用】

动图示例:

在这里插入图片描述

特别注意:

  • n3指针在往后作为导向迭代最后一步的时候,需要判断n3此时是否为NULL,否则将会造成n3 = n3->next对空指针访问next的错误

  • 此方法为在原链表基础上反转

🔥特殊情况:

  • 如果链表为NULL或者只有一个元素的时候,就不需要反转

👉实现:

struct ListNode* reverseList(struct ListNode* head)
{
	if (head == NULL || head->next == NULL)
	{
		return head;
	}

	struct ListNode* n1 = NULL;
	struct ListNode* n2 = head;
	struct ListNode* n3 = head->next;

	while (n2)
	{
		翻转
		n2->next = n1;

		迭代 -- 循环一致往后走
		n1 = n2;
		n2 = n3;

		//最后一步的时候:n3有可能为NULL
		//所以需要提前判断
		if (n3)
		{
			n3 = n3->next;
		}

	}
	return n1;
}

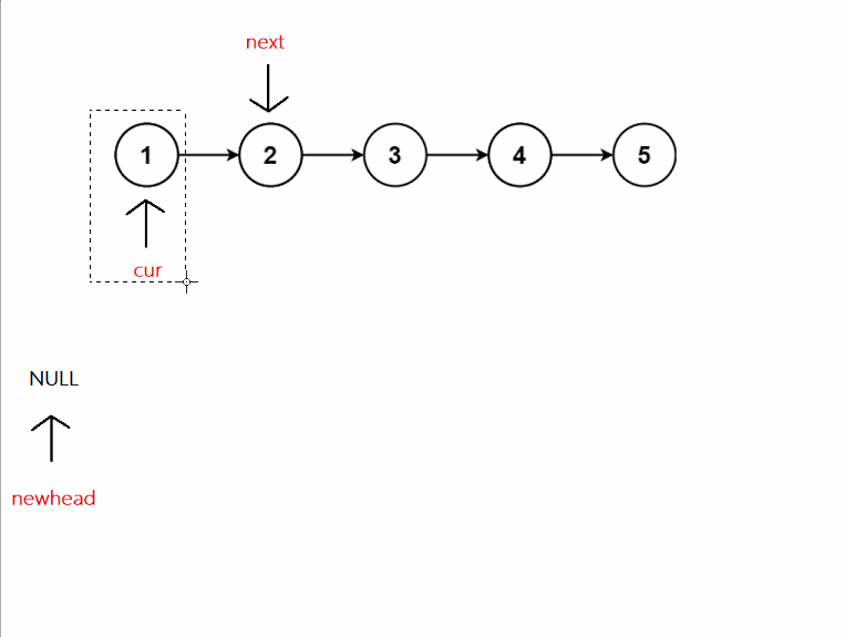
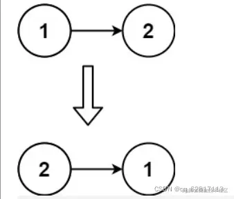
➡️思路二: 头插反转(迭代版)

  • 1️⃣即新建一个头newhead,让其指向NULL

  • 2️⃣然后不断从原链表中取结点去头插(指向)newhead,即可达反转的效果

动图示例:

在这里插入图片描述

特别注意:

  • 此方法为取结点下来头插,不在原链表上反转

👉实现:

struct ListNode* reverseList(struct ListNode* head)
{

	struct ListNode* cur = head;
	struct ListNode* newhead = NULL;

	while (cur)
	{
		//即不断取结点下来,头插到NULL前面去
		struct ListNode* next = cur->next;
		
		cur->next = newhead;

		newhead = cur;

		cur = next;

	}
	return newhead;
}

补充:

  • 这个思路也适用于一个结点NULL链表的情况

🏷️ 链表的中间结点【难度:简单】

:mag:题目传送门:

Leetcode:876. 链表的中间结点

给定一个头结点为head的非空单链表,返回链表的中间结点

如果有两个中间结点,则返回第二个中间结点

示例 1:

输入:[1,2,3,4,5]
输出:此列表中的结点 3 (序列化形式:[3,4,5])

示例 2:

输入:[1,2,3,4,5,6]
输出:此列表中的结点 4 (序列化形式:[4,5,6])
由于该列表有两个中间结点,值分别为 34,我们返回第二个结点

💡解题关键:

  • 利用快慢指针遍历链表,停下来的时候,慢指针所指向的结点就是中间结点

🔥快慢指针的思想:

  • 本质:为了解决“先让一个指针遍历一次链表得出链表的长度,继而再遍历一次去中间位置”的连词循环问题,提出了快慢指针的一次循环即可解决问题的办法

  • 快慢指针前进的方向相同,且它们步伐的是恒定的【即快指针的速度是慢指针的两倍】

  • 所以当快指针走到最后一个结点的时候,慢指针刚好到中间结点

    • 1️⃣快指针:一次走两步

    • 2️⃣慢指针:一次走一步

动图示例:

在这里插入图片描述

👉实现:

struct ListNode* middleNode(struct ListNode* head)
{
	struct ListNode* fast = head;
	struct ListNode* slow = head;

	while (fast != NULL && fast->next != NULL)
	{
		slow = slow->next;
		fast = fast->next->next;
	}

	return slow;
}

🏷️ 链表中倒数第k个结点【难度:简单】

:mag:题目传送门:

剑指 Offer 22. 链表中倒数第K个结点

输入一个链表,输出该链表中倒数第k个节点。为了符合大多数人的习惯,本题从1开始计数,即链表的尾节点是倒数第1个节点。

例如,一个链表有 6 个节点,从头节点开始,它们的值依次是 1、2、3、4、5、6。这个链表的倒数第 3个节点是值为 4 的节点。

示例 1:

给定一个链表: 1->2->3->4->5, 和 k = 2.

返回链表 4->5.

💡解题关键:

  • 同样利用与上题思想相同的快慢指针

➡️思路: 快慢指针

返回倒数第K个结点,即返回正数第总长度-K个结点

❓那我们在不知道总长度的情况如何下,如何走总长度-K步呢

  • 1️⃣那我们便可以先让fast指针走K步,那此时fast指针离最后一个结点的距离就是总长度-K

  • 2️⃣我们再让slow指针在第一个结点位置出发,fast走一步,slow走一步,同时前进,都走了总长度-K

  • 3️⃣这样,当fast走到空的时候,slow指针指向的就是正数第总长度-K个结点,即倒数第K个结点

综上:

  • 相当于让fast指针作一个计数器,先走K步,作slow指针的导向,指引其走总长度-K步,找到倒数第K个结点

动图示例:

在这里插入图片描述

🔥特殊情况:

  • fast走K步的时候,如果K步还没走完fast就为NULL,证明倒数第K个结点不在链表长度范围之内或者为NULL链表,直接结束程序

👉实现:

struct ListNode* getKthFromEnd(struct ListNode* head, int k)
{
	struct ListNode* fast = head;
	struct ListNode* slow = head;

	//fast先走k步
	while (k--)
	{
		//如果k还没走完,fast就为NULL了
		if (fast == NULL)
		{
			//说明K比链表长度都要长
			//也说明 链表可能为空
			return NULL;
		}

		fast = fast->next;
	}

	//再同时走
	//fast为NULL的时候结束
	while (fast)
	{
		slow = slow->next;
		fast = fast->next;
	}
	return slow;
}

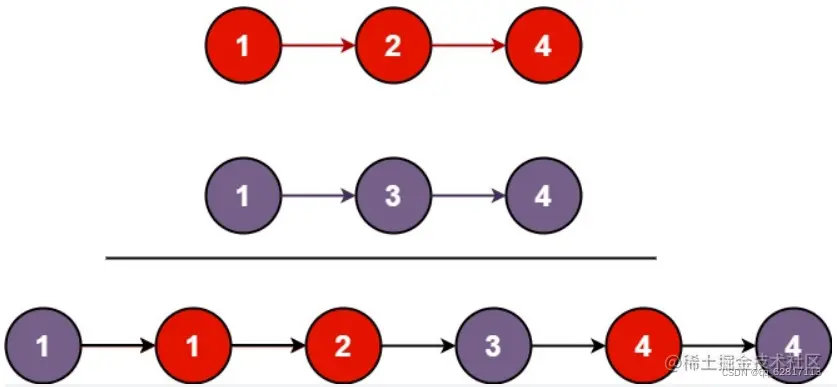
🏷️ 合并两个有序链表【难度:简单】

:mag:题目传送门:

Leetcode:21. 合并两个有序链表

将两个升序链表合并为一个新的 升序 链表并返回。新链表是通过拼接给定的两个链表的所有节点组成的

示例 1:

这里是引用

输入:l1 = [1,2,4], l2 = [1,3,4]
输出:[1,1,2,3,4,4]

示例 2:

输入:l1 = [], l2 = []
输出:[]

示例 3:

输入:l1 = [], l2 = [0]
输出:[0]

💡解题关键:

  • 两个链表的结点一一比较,一开始取较小的结点作为新链表的头,然后取较小的结点尾插到新链表上

➡️思路: 三指针遍历

  • 1️⃣先比较两个链表的第一个结点,取较小的作为新链表的头

  • 2️⃣一一比较取较小的结点尾插到新链表上,然后往后走继续比较

  • 3️⃣当某一链表已遍历完,而另外一链表没遍历完的时候,直接将其剩下的尾插到新链表上

特别注意:

  • 链表的合并并不像数组合并一样,需要新开一个数组,而链表是可以直接相互链接,继而达到合并的效果

动图示例:

在这里插入图片描述

🔥特别情况:

  • 需要判断L1L2各自的链表是否为NULL,如果有一个链表为NULL,就无需合并,可以直接返回另外一个链表

👉实现:

struct ListNode* mergeTwoLists(struct ListNode* list1, struct ListNode* list2)
{
    struct ListNode* l1 = list1;
    struct ListNode* l2 = list2;

    if (l1 == NULL)
	{
		return l2;
	}
	
	if (l2 == NULL)
	{
		return l1;
	}

	struct ListNode* head = NULL;
	struct ListNode* tail = NULL;

	if (l1->val < l2->val) //但是,如果这里任意一个是 NULL的话,就崩了 ; 所以上面得加上 判断
	{
		//先直接判定谁的第一个元素 作为 新链表的头
		//先取一个小的 去作 头
		head = tail = l1;
		l1 = l1->next;
	}
	else
	{
		head = tail = l2;
		l2 = l2->next;
	}

	while (l1 && l2) //两个都没结束,就继续
	{
		//取小的尾插到新链表
		if (l1->val < l2->val)
		{
			tail->next = l1;
			l1 = l1->next;
			tail = tail->next;
		}
		else
		{
			tail->next = l2;
			l2 = l2->next;
			tail = tail->next;
		}
	}

	//结束了,如果有一方还部位NULL,则把其剩下的全链 到 新链表上
	if (l1)
	{
		tail->next = l1;
	}
	else
	{
		tail->next = l2;
	}

	return head;
}

🏷️ 分割链表【难度:简单】

:mag:题目传送门:

Leetcode:面试题 02.04 分割链表

给你一个链表的头节点 head 和一个特定值 x ,请你对链表进行分隔,使得所有 小于 x 的节点都出现在 大于或等于 x 的节点之前。

你不需要 保留 每个分区中各节点的初始相对位置

示例 1:

这里是引用

输入:head = [1,4,3,2,5,2], x = 3
输出:[1,2,2,4,3,5]

示例 2:

输入:head = [2,1], x = 2
输出:[1,2]

💡解题关键:

  • 将结点一一比较特定值,将小于的拿出来放在一个新链表中,将大于等于的也同样操作,最后再链接在一起

➡️思路:

  • 1️⃣把小于X的尾插到一个新链表中

  • 2️⃣把大于X的尾插到另外一个新链表中

  • 3️⃣最后将两个链表链接到一起

动图示例:

  • 第一步:分出大于等于特定值的数,和小的数 在这里插入图片描述
  • 第二步:将两个链表链接在一起 在这里插入图片描述

特别注意:

  • 最后一定要将greaterTail->next置为NULL,否则有可能就会造成闭环的情况

  • 因为在原本的链表里,greaterTail最后所指的结点不一定为最后一个结点

  • 若不是最后一个结点,则greaterTail->next就指向原链表中的下一个结点(不为NULL),则在链接后的新链表中就指向了前面的某个结点,形成闭环,无法结束

👉实现:

struct ListNode* partition(struct ListNode* head, int x)
{
	struct ListNode* lessHead = NULL;
	struct ListNode* lessTail = NULL;
	struct ListNode* greaterHead = NULL;
	struct ListNode* greaterTail = NULL;
	
	lessHead = lessTail = (struct ListNode*)malloc(sizeof(struct ListNode));
	greaterHead = greaterTail = (struct ListNode*)malloc(sizeof(struct ListNode));

	lessTail->next = NULL;
	greaterTail->next = NULL;

	struct ListNode* cur = head;
	while (cur)
	{
		if (cur->val < x)
		{
			lessTail->next = cur;
			lessTail = lessTail->next;
			cur = cur->next;
		}
		else
		{
			greaterTail->next = cur;
			greaterTail = greaterTail->next;
			cur = cur->next;
		}
	}

	//链接两个链表
	lessTail->next = greaterHead->next;
	//置空,否则会造成成环的情况
	greaterTail->next = NULL;

	head = lessHead->next;
	free(greaterHead);
	free(lessHead);

	return head;
}

🏷️ 回文链表【难度:简单】

:mag:题目传送门:

Leetcode:234. 回文链表

给你一个单链表的头节点 head ,请你判断该链表是否为回文链表

  • 如果是,返回 true

  • 否则,返回 false

示例 1:

这里是引用

输入:head = [1,2,2,1]
输出:true

示例 2:

这里是引用

输入:head = [1,2]
输出:false

➡️思路一: 放置数组比较

  • 1️⃣开一个数组,并将链表的所以结点的val放进数组里

  • 2️⃣而后一头一尾两个指针相互比较,靠近,看是否每个值都相同

特别注意:

  • 这种方法的空间复杂度为O(N),不符合O(1),还需要优化

➡️思路二: 逆置比较

  • 1️⃣先找到链表中的中间结点【利用快慢指针

  • 2️⃣从中间结点开始的后半部分链表逆置(反转)【利用反转链表

  • 3️⃣此时虽然没有正真地断开链表,但我们可以将中间结点后半部分逆置的链表看作新的链表,继而比较此链表与前半部分的链表是否相同

特别注意:

  • 前半部分的链表与后半部分的链表,当有一个链表遍历完后,就结束了

动图示例:

在这里插入图片描述

🔥此处我们便可以复用上面题目的代码

👉实现:

struct ListNode* middleNode(struct ListNode* head)
{
	struct ListNode* fast = head;
	struct ListNode* slow = head;

	while (fast != NULL && fast->next != NULL)
	{
		slow = slow->next;
		fast = fast->next->next;
	}

	return slow;
}
struct ListNode* reverseList(struct ListNode* head)
{

	struct ListNode* cur = head;
	struct ListNode* newhead = NULL;

	while (cur)
	{
		//即不断取结点下来,头插到NULL前面去
		struct ListNode* next = cur->next;
		
		cur->next = newhead;

		newhead = cur;

		cur = next;

	}
	return newhead;
}
bool isPalindrome(struct ListNode* head)
{
	//1.找中间节点
	struct ListNode* mid = middleNode(head);

	//2.逆置中间往后的部分链表
	struct ListNode* rHead = reverseList(mid);

	while (head && rHead)
	{
		if (head->val == rHead->val)
		{
			head = head->next;
			rHead = rHead->next;
		}
		else
		{
			return false;
		}
	}
	return true;
}

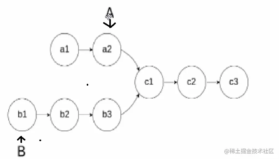
🏷️ 相交链表【难度:简单】

:mag:题目传送门:

Leetcode:160. 相交链表

给你两个单链表的头节点 headAheadB ,请你找出并返回两个单链表相交的起始节点

如果两个链表不存在相交节点,返回 null

示例:

这里是引用

💡解题关键:

  • 链表的相交是不会只相交于一个结点的(交点为同一个地址的结点),而是会从交点处往后的链表都重合

  • 本题目的关键:两个链表是否相交,若相交,求交点

➡️思路一:

  • 两层循环遍历链表a与链表b,判断a中是否有一个结点的地址等于b链表中的某个结点地址

  • 只要有一个,就是相交

特别注意:

  • 此方法的时间复杂度为:O(N*M)

  • 我们还可以继续优化

➡️思路二:

  • 直接各自走到两个链表的最后一个结点位置,判断那个结点地址是否相同:若相同则相交,否则不相交

  • 若相交,则找交点

    • 1️⃣求出两个链表各自的长度,求出长度的差距gap

    • 2️⃣让相对较长的链表先遍历gap

    • 3️⃣然后两个链表同时往后遍历,直到第一个地址相同的结点,就是交点

动图示例:

  • 第一步:判断是否相交 在这里插入图片描述
  • 第二步:若相交,则判断交点 在这里插入图片描述

🔥特殊情况:

  • 要注意判断两个链表是否为NULL链表,只要有一个是空链表,就不满足相交,就可以直接返回NULL

👉实现:

struct ListNode* getIntersectionNode(struct ListNode* headA, struct ListNode *headB)
{
	if (headA == NULL || headB == NULL)
	{
		return NULL;
	}


	struct ListNode* curA = headA;
	struct ListNode* curB = headB;

	int lenA = 0;
	int lenB = 0;

	while (curA)
	{
		curA = curA->next;
		lenA++;
	}

	while (curB)
	{
		curB = curB->next;
        lenB++;
	}

	//1.判断是否相交
	if (curA != curB)
	{
		return NULL;
	}

	struct ListNode* longList = headA;
	struct ListNode* shortList = headB;

	if (lenB > lenA)
	{
		longList = headB;
		shortList = headA;
	}

	int gap = abs(lenB - lenA); //求绝对值

	//2.走差距步
	while (gap--)
	{
		longList = longList->next;
	}

	//3.同时走[此时剩下得一定是相交得]
	while(longList && shortList)
    {
        if(longList == shortList) 
        {
            return longList;
        }
        else 
        {
            longList = longList->next;
            shortList = shortList->next;
        }
    }
    return NULL;
}

🌟总结

综上,我们基本了解了数据结构中的 "链表重要面试真题" 的知识啦~~

恭喜你的内功又双叒叕得到了提高!!!

感谢你们的阅读

后续还会继续更新,欢迎持续关注哟~

如果有错误❌,欢迎指正呀

如果觉得收获满满,可以点点赞👍支持一下哟~ 在这里插入图片描述