LeetCode反转链表使用JavaScript解题|前端学算法

69 阅读2分钟

有人相爱,有人夜里开车看海,我是leetcode第一题都做不出来

这是leetcode的:剑指 Offer II 024. 反转链表

反转链表

给定单链表的头节点 head ,请反转链表,并返回反转后的链表的头节点。

示例 1:

image.png

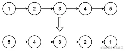
输入: head = [1,2,3,4,5]

输出: [5,4,3,2,1]

示例 2: image.png

输入: head = [1,2,3,4,5]

输出: [5,4,3,2,1]

解题思路

反转链表就是将当前节点的 next 指针改为指向前一个节点。所以我们只需要将链表的头部指向null,第一个节点的next指向head,第二个节点的next指向第一个节点这样一次类推,我们可以用一个变量 current存储当前节点;pre用来存储上一个节点,这样依次修改节点的next指向,直到当前节点为空

拆分为如下步骤:

  • 第一步:初始化上一个节点pre为空;将头结点赋值给当前节点current

  • 第二步:当当前节点有值时进入循环:循环内主要是修改next指向

    • 获取当前节点的下一个节点 next
    • 令当前节点指向 上一个节点pre
    • 当前节点变成上一个节点
    • 下一个节点 变成当前节点;开始再次操作当前节点,修改当前节点的指向
  • 第三步:经过循环后,pre就变成了头结点,所以返回pre

image.png

image.png

var reverseList = function(head) {
    let pre = null
    let current = head
    while(current !== null){
        let next = current.next // 下一个节点
        current.next = pre
        pre = current
        current = next
    }
    return pre
};

image.png

知识点

链表是一种与数组类似的线性数据结构,但与数组的元素存储在特定的内存位置或索引中不同,链表的每个元素都是独立的对象,它包含一个指向该列表中下一个对象的指针或链接。

链表的主要操作就是修改链表的指向