【算法Day4】链表:24.两两交换链表中的节点 19.删除链表的倒数第N个节点 02.07.链表相交 142.环形链表2

136 阅读7分钟

24.两两交换链表中的节点

leetcode链接:24.两两交换链表中的节点

题目:给你一个链表,两两交换其中相邻的节点,并返回交换后链表的头节点。
你必须在不修改节点内部的值的情况下完成本题(即,只能进行节点交换)。

示例 1:

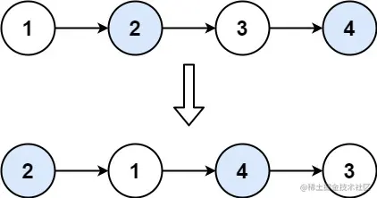
输入: head = [1,2,3,4]
输出: [2,1,4,3]

示例 2:

输入: head = []
输出: []

第一想法:
看到这道题目的第一想法是暴力,从头开始每次循环就交换两个元素,直至最后没有元素或者剩下一个元素时结束循环;但是想想这又是重复的行为,所以应该可以使用递归,多次尝试后成功解决;也可以用虚拟头节点,其实也是使用指针的思想。

方法1 利用虚拟头节点

思路
链表和数组的不同之一就是数组可以通过索引直接找到某个元素,但是链表必须借助指针遍历,所以交换链表中的两个元素必须修改设计到此两个元素前后的元素. 我们想一下,我们怎么交换链表中的两个元素?不就是通过修改节点的指针达到交换元素的目的吗?如下,我们交换要交换链表中2和3的位置: jll.png

//交换链表中node.next和node.next.next两节点 返回交换后的第一个节点 即原来的node.next.next这个节点
public ListNode swap(ListNode node) { 
    ListNode temp = node.next.next;//用temp保存node.next.next
    node.next.next = temp.next;
    temp.next = node.next;
    node.next = temp;
    return node;
}

交换两个元素是这样,本题也是如此,就是节点多了而已。下面使用虚拟头节点,保证对头节点与对其他元素的操作都相同。

本题Java代码:

class Solution {
         public ListNode swapPairs(ListNode head) {
            ListNode dummyHead = new ListNode();//虚拟头节点
            dummyHead.next = head;
            ListNode cur = dummyHead;
            while (cur.next != null && cur.next.next != null) {
            ListNode node = cur.next.next;
            cur.next.next = node.next;
            node.next = cur.next;
            cur.next = node;
            cur = cur.next.next;
            }
            return dummyHead.next;//返回交换后链表的头节点
        }
}

方法2 递归

Java代码:

class Solution {
    public ListNode swapPairs(ListNode head) {
        //当递归完所有元素(head==null)或者剩下一个元素(head.next==null)时
        //直接返回head
        if(head == null || head.next == null) {
            return head;
        }
        //保存下一个节点
        ListNode next = head.next;
        //递归 对下一个节点之后的元素进行两两交换,保存交换后返回的第一个元素
        ListNode newNode = swapPairs(next.next);
        //交换
        next.next = head;
        head.next = newNode;
        return next;
    }
}

19.删除链表的倒数第N个节点

题目:给你一个链表,删除链表的倒数第 n 个结点,并且返回链表的头结点。

leetcode链接: 19.删除链表的倒数第N个节点

示例 1:
输入:head = [1,2,3,4,5], n = 2
输出:[1,2,3,5]
示例 2:
输入:head = [1], n = 1
输出:[]
示例 3:
输入:head = [1,2], n = 1
输出:[1]

方法:快慢指针

思路:
设置快慢指针,起初快慢指针fastslow都指向头节点,然后快指针先走N,然后快慢指针同时向后移动,每次都移动一次,直到快指针指向空,此时慢指针指向的就是待删除的元素的前一个元素,然后将待删除元素删除即可。

/**
 * Definition for singly-linked list.
 * public class ListNode {
 *     int val;
 *     ListNode next;
 *     ListNode() {}
 *     ListNode(int val) { this.val = val; }
 *     ListNode(int val, ListNode next) { this.val = val; this.next = next; }
 * }
 */
class Solution {
    public ListNode removeNthFromEnd(ListNode head, int n) {
        //快慢指针!
        ListNode dummyHead = new ListNode();
        dummyHead.next = head;
        ListNode fast = dummyHead;
        ListNode slow = dummyHead;
        for(int i = 0; i < n; i++) {
            fast = fast.next;
        }
        while (fast.next != null) {
            fast = fast.next;
            slow = slow.next;
        }
        //此时slow已经指向待删除元素的前一个元素
        ListNode delNode = slow.next;
        slow.next = slow.next.next;
        delNode.next = null;
        return dummyHead.next;
    }
}

面试题 02.07. 链表相交

leetcode链接:面试题 02.07. 链表相交

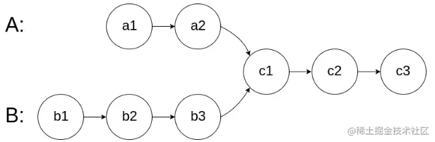
题目: 给你两个单链表的头节点 headAheadB ,请你找出并返回两个单链表相交的起始节点。如果两个链表没有交点,返回 null

图示两个链表在节点 c1 开始相交:

02.07-1.png
题目数据 保证 整个链式结构中不存在环。

注意,函数返回结果后,链表必须 保持其原始结构 。
示例1 02.07-2.png

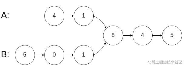
输入:intersectVal = 8, listA = [4,1,8,4,5], listB = [5,0,1,8,4,5], skipA = 2, skipB = 3
输出:Intersected at '8'
解释:相交节点的值为 8 (注意,如果两个链表相交则不能为 0)。
从各自的表头开始算起,链表 A 为 [4,1,8,4,5],链表 B 为 [5,0,1,8,4,5]。 在 A 中,相交节点前有 2 个节点;在 B 中,相交节点前有 3 个节点。

示例2

02.07-3.png

输入:intersectVal = 2, listA = [0,9,1,2,4], listB = [3,2,4], skipA = 3, skipB = 1
输出:Intersected at '2'
解释:相交节点的值为 2 (注意,如果两个链表相交则不能为 0)。 从各自的表头开始算起,链表 A 为 [0,9,1,2,4],链表 B 为 [3,2,4]。 在 A 中,相交节点前有 3 个节点;在 B 中,相交节点前有 1 个节点。

示例3

m4.png

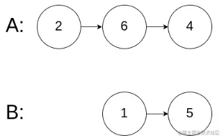
输入:intersectVal = 0, listA = [2,6,4], listB = [1,5], skipA = 3, skipB = 2
输出:null
解释:从各自的表头开始算起,链表 A 为 [2,6,4],链表 B 为 [1,5]。 由于这两个链表不相交,所以 intersectVal 必须为 0,而 skipA 和 skipB 可以是任意值。 这两个链表不相交,因此返回 null 。

思路: 其实题目说的让人迷迷糊糊的,其实要注意所求交点不是数值相等,而是指针相等。

(1)让carAcurB指向对应链表的头节点 d1.png (2)让较长链表的指针往后移动,至与curB末尾对齐的位置(要先得到两条链表的长度差) d2.png (3)此时比较curA与curB所指节点数值是否相等,若不相等则让两个指针同时向后移动,若相等则为所求交点,返回该焦点即可。 d3.png

Java代码:

/**
 * Definition for singly-linked list.
 * public class ListNode {
 *     int val;
 *     ListNode next;
 *     ListNode(int x) {
 *         val = x;
 *         next = null;
 *     }
 * }
 */
public class Solution {
    public ListNode getIntersectionNode(ListNode headA, ListNode headB) {
        //(1)
        ListNode curA = headA;
        ListNode curB = headB;
        //(2)
        int lengthA = 0;//用来记录A链表的长度
        int lengthB = 0;//用来记录B链表的长度
        while(curA != null) {
            lengthA++;
            curA = curA.next;
        }
        while(curB != null) {
            lengthB++;
            curB = curB.next;
        }
        curA = headA;//让 curA 重新指向 headA
        curB = headB;//让 curB 重新指向 headB
        
        if(lengthA < lengthB) {
        //如果A链表长度小于B链表长度 就交换lendthA和lengthB的值 以保证后面长度差 lengthA - lengthB 是正值;
            int temp = lengthA;
            lengthA = lengthB;
            lengthB = temp;
        //如果A链表长度小于B链表长度 就交换 curA 和 curB 指针,让curA指向B链表的头节点,curB指向A链表的头节点
            ListNode tNode = curA;
            curA = curB;
            curB = tNode;
        }
        int dlength = lengthA - lengthB;
        while(dlength != 0) {
            curA = curA.next;
            dlength--;
        }
        //(3)
        while(curA != null) {
            if(curA == curB) {
                return curA;
            }
            curA = curA.next;
            curB = curB.next;
        } 
        return null;
    }
}

142.环形链表2

leetcode链接:142.环形链表2

题目:
给定一个链表的头节点  head ,返回链表开始入环的第一个节点。如果链表无环,则返回 null
如果链表中有某个节点,可以通过连续跟踪 next 指针再次到达,则链表中存在环。 为了表示给定链表中的环,评测系统内部使用整数 pos 来表示链表尾连接到链表中的位置(索引从 0 开始)。如果 pos 是 -1,则在该链表中没有环。
注意:pos 不作为参数进行传递,仅仅是为了标识链表的实际情况。
不允许修改 链表。

参考文章:142.环形链表II

Java代码:

/**
 * Definition for singly-linked list.
 * class ListNode {
 *     int val;
 *     ListNode next;
 *     ListNode(int x) {
 *         val = x;
 *         next = null;
 *     }
 * }
 */
public class Solution {
    public ListNode detectCycle(ListNode head) {
        ListNode fast = head;
        ListNode slow = head;
        while(fast != null && fast.next != null) {
            fast = fast.next.next;
            slow = slow.next;
            if(fast == slow) {
                ListNode index1 = fast;
                ListNode index2 = head;
                while (index1 != index2) {
                    index1 = index1.next;
                    index2 = index2.next;
                }
                return index2;
            }
        }
        return null;
    }
}

链表总结

链表理论基础:

链表理论基础
很多链表题目都可以用虚拟头节点、指针、递归这些方法来解决,因此熟练使用这些方法,明确各种方法的注意事项非常重要!

虚拟头节点

因为对链表当前节点的操作必须要找到其前一个节点才行,而头节点没有头一个节点,所以可以设置一个虚拟头节点指向头节点,以保证对头节点的操作与对其他节点的操作都一致!这就是虚拟头节点的好处!

指针

无论是单指针还是双指针,关键还是关键是如何定义和移动指针,指针从哪里开始,移动的条件是什么,啥时候移动,移动的目的是什么,移动后要继续判断什么,啥时候结束,都一定要清晰明确!

递归

重复性操作就可以使用递归,但要注意递归的终止条件是什么!