【C/C++】623. 在二叉树中增加一行

1,060 阅读3分钟

持续创作,加速成长!这是我参与「掘金日新计划 · 10 月更文挑战」的第15天,点击查看活动详情


题目链接:623. 在二叉树中增加一行

题目描述

给定一个二叉树的根 root 和两个整数 val 和 depth ,在给定的深度 depth 处添加一个值为 val 的节点行。

注意,根节点 root 位于深度 1 。

加法规则如下:

  • 给定整数 depth,对于深度为 depth - 1 的每个非空树节点 cur ,创建两个值为 val 的树节点作为 cur 的左子树根和右子树根。
  • cur 原来的左子树应该是新的左子树根的左子树。
  • cur 原来的右子树应该是新的右子树根的右子树。
  • 如果 depth == 1 意味着 depth - 1 根本没有深度,那么创建一个树节点,值 val 作为整个原始树的新根,而原始树就是新根的左子树。

提示:

  • 节点数在 [1,104][1, 10^4] 范围内
  • 树的深度在 [1,104][1, 10^4] 范围内
  • 100Node.val100-100 \leqslant Node.val \leqslant 100
  • 105 val105-10^5 \leqslant val \leqslant 10^5
  • 1 <= depth <= the depth of tree + 1

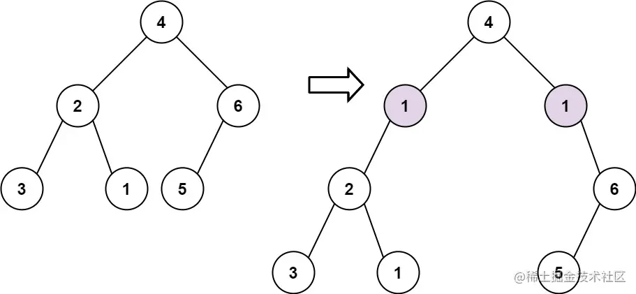
示例 1:

addrow-tree.jpg

输入: root = [4,2,6,3,1,5], val = 1, depth = 2
输出: [4,1,1,2,null,null,6,3,1,5]

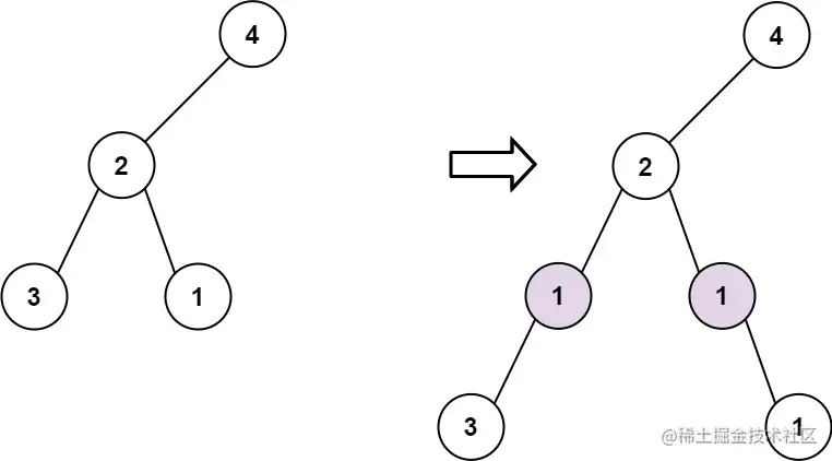
示例 2:

add2-tree.jpg

输入: root = [4,2,null,3,1], val = 1, depth = 3
输出:  [4,2,null,1,1,3,null,null,1]

整理题意

题目给定一棵二叉树,要求我们在深度为 depth 的位置插入一行节点,这些节点的值为 val,题目规定根节点所在层位 1,且插入节点 val 的时候,原来节点的左子树要连接在新节点的左子树上,原来节点的右子树要连接在新节点的右子树上。

需要特别注意 depth = 1 的情况,此时将新节点作为根节点,将原来的根节点连接在新节点的左子树上。

解题思路分析

层序遍历(广度优先搜索)

根据题意描述,很容易想到使用 BFS 对整棵树进行层序遍历,在遍历到第 depth - 1 层时按照题意进行插入节点即可。

递归(深度优先搜索)

该题还可以通过给定的函数本身进行递归完成,在递归的过程中不断维护当前 depth 的值,当 depth 的值为 2 时进行节点的插入即可。

具体实现

常规的二叉树搜索,在对整棵二叉树进行搜索的同时维护当前树的深度即可,在第 depth 按照题意进行插入节点即可。

在实现过程中需要注意特判 depth = 1 的情况,也就是当插入的层数为 1 时,需要将根节点放在新插入节点的左子树上,并返回新插入的这个节点。

复杂度分析

  • 时间复杂度:O(n)O(n),其中 n 为输入的树的节点数。最坏情况下,需要遍历整棵树。
  • 空间复杂度:O(n)O(n),在层序遍历中队列空间开销最多为 O(n)O(n),递归的深度最多为 O(n)O(n)

代码实现

层序遍历(广度优先搜索)

/**
 * Definition for a binary tree node.
 * struct TreeNode {
 *     int val;
 *     TreeNode *left;
 *     TreeNode *right;
 *     TreeNode() : val(0), left(nullptr), right(nullptr) {}
 *     TreeNode(int x) : val(x), left(nullptr), right(nullptr) {}
 *     TreeNode(int x, TreeNode *left, TreeNode *right) : val(x), left(left), right(right) {}
 * };
 */
class Solution {
public:
    TreeNode* addOneRow(TreeNode* root, int val, int depth) {
        // 特判 depth = 1 的情况
        if(depth == 1){
            TreeNode *res = new TreeNode(val);
            res->left = root;
            return res;
        }
        // k 记录当前层数
        int k = 1;
        queue<TreeNode*> que;
        while(que.size()) que.pop();
        que.push(root);
        // bfs层序遍历
        while(que.size()){
            int n = que.size();
            // 遍历到 depth - 1 层时开始插入元素 val
            if(k == depth - 1){
                for(int i = 0; i < n; i++){
                    TreeNode *now = que.front();
                    que.pop();
                    TreeNode *l = new TreeNode(val, now->left, NULL);
                    TreeNode *r = new TreeNode(val, NULL, now->right);
                    now->left = l;
                    now->right = r;
                }
                // 插入完成后跳出
                break;
            }
            // 压入下一层节点元素
            for(int i = 0; i < n; i++){
                TreeNode *now = que.front();
                que.pop();
                if(now->left != NULL) que.push(now->left);
                if(now->right != NULL) que.push(now->right);
            }
            k++;
        }
        return root;
    }
};

递归(深度优先搜索)

/**
 * Definition for a binary tree node.
 * struct TreeNode {
 *     int val;
 *     TreeNode *left;
 *     TreeNode *right;
 *     TreeNode() : val(0), left(nullptr), right(nullptr) {}
 *     TreeNode(int x) : val(x), left(nullptr), right(nullptr) {}
 *     TreeNode(int x, TreeNode *left, TreeNode *right) : val(x), left(left), right(right) {}
 * };
 */
class Solution {
public:
    TreeNode* addOneRow(TreeNode* root, int val, int depth) {
        if(root == nullptr) return root;
        // 特判 depth = 1 的情况
        if(depth == 1){
            return new TreeNode(val, root, nullptr);
        }
        // 当 depth 到第 2 层时表示 在当前层的下一层插入节点 val
        if(depth == 2){
            root->left = new TreeNode(val, root->left, nullptr);
            root->right = new TreeNode(val, nullptr, root->right);
            return root;
        }
        // 否则一直递归
        else{
            root->left = addOneRow(root->left, val, depth - 1);
            root->right = addOneRow(root->right, val, depth - 1);
        }
        return root;
    }
};

总结

  • 该题为常规的搜索题,既可以使用广度优先搜索进行层序遍历来完成,也可以使用深度优先搜索来递归完成,因为题目描述为插入一层元素节点,很容易想到层序遍历,而递归的方法较难想到,在实现过程中可以尝试使用递归的方式来完成,可以锻炼递归的思维以及在实现递归时的各种边界考虑。同时递归的代码也比层序遍历的代码更为简洁。
  • 测试结果:

623.在二叉树中增加一行.png

623.在二叉树中增加一行 深搜.png

结束语

幸福是一点一滴积累而成的,人生也是一天一天经营出来的。比起整天焦虑烦恼,保持愉悦的心情面对一切挑战才是最重要的事。累了就睡觉,醒了就微笑,不盲目攀比,不纠结逃避,用最好的姿态去迎接崭新的一天,加油!