UML用例图--01

178 阅读2分钟

目录

关系:

关联:      

泛化:

包含:

实例:

一般用户:

操作员:

管理员:

用户关系: 


前言:

  用例图是描述角色以及角色与用例之间的连接关系。说明的是谁要使用系统,以及他们使用该系统可以做些什么。一个用例图包含了多个模型元素,如系统、参与者和用例,并且显示了这些元素之间的各种关系,如泛化、关联和依赖。用例图是指由参与者、用例以及它们之间的关系构成的用于描述系统功能的视图。用例图是被称为参与者的外部用户所能观察到的系统功能的模型图,呈现了一些参与者和一些用例,以及它们之间的关系,主要用于对系统、子系统或类的功能行为进行建模。说白了,用例图就是描述用户能够通过系统进行什么样的操作,能够获得什么样的结果,即系统的外在表现。更加直观的理解就是,用户想在这个软件上实现什么样的功能。

关系:

关联:      

它表示类与类之间的连接,它使得一个类知道另一个类的属性和方法。

关联可以用单向箭头表示单向关联,使用双箭头表示双向关联(不建议)。

关联是类与类,类与接口之间的一种比较强烈的关系,它不是临时性的,而是长期性的。

泛化:

 就是通常理解的继承关系,子用例和父用例相似,但表现出更特别的行为;子用例将继承父用例的所有结构、行为和关系。子用例可以使用父用例的一段行为,也可以重载它。父用例通常是抽象的。

包含:

把一个比较复杂的用例所表示的功能,分解成一个非常小的用例功能。

实例:

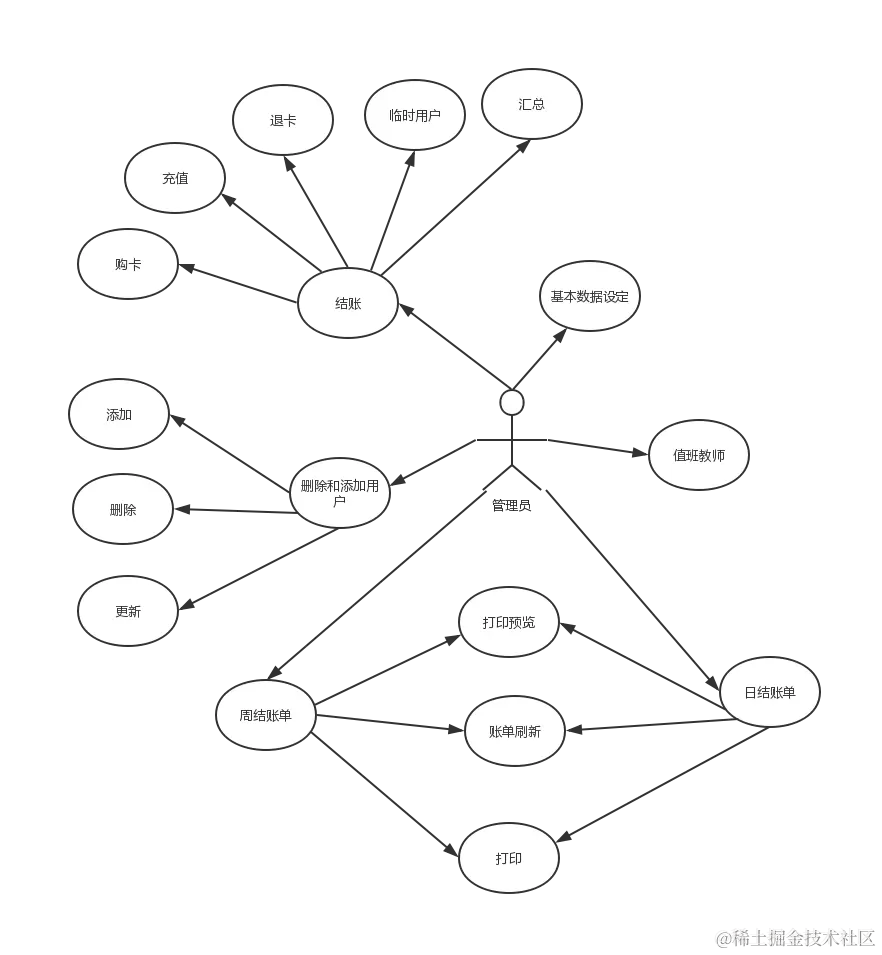
就以机房收费系统为例,请看下图。

一般用户:

操作员:

管理员:

用户关系: