通关剑指 Offer——剑指 Offer II 043. 往完全二叉树添加节点

59 阅读3分钟

1.题目描述

剑指 Offer II 043. 往完全二叉树添加节点

完全二叉树是每一层(除最后一层外)都是完全填充(即,节点数达到最大,第 n 层有 2n-1 个节点)的,并且所有的节点都尽可能地集中在左侧。

设计一个用完全二叉树初始化的数据结构 CBTInserter,它支持以下几种操作:

CBTInserter(TreeNode root) 使用根节点为 root 的给定树初始化该数据结构; CBTInserter.insert(int v)  向树中插入一个新节点,节点类型为 TreeNode,值为 v 。使树保持完全二叉树的状态,并返回插入的新节点的父节点的值; CBTInserter.get_root() 将返回树的根节点。  

示例 1:

输入:inputs = ["CBTInserter","insert","get_root"], inputs = [[[1]],[2],[]]
输出:[null,1,[1,2]]

示例 2:

输入:inputs = ["CBTInserter","insert","insert","get_root"], inputs = [[[1,2,3,4,5,6]],[7],[8],[]]
输出:[null,3,4,[1,2,3,4,5,6,7,8]]

 

2.解题思路与代码

2.1 解题思路

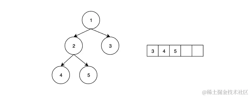
往完全二叉树依次从左向右添加节点,使用二叉树的层序遍历会比较简单。因此我们需要在类CBTInserter中维护一个队列queue,并且在CBTInserter构造方法中对队列进行初始化。同时在CBTInserter维护二叉树根节点root,为后面返回二叉树根节点方法作准备。首先我们需要分析CBTInserter构造方法,在构造方法中需要对队列queue进行初始化,而初始化就需要遍历传入的二叉树。我们利用二叉树的层序遍历将节点放入队列中,当我们遍历到一个节点左右子节点至少有一个为空时,此时停止遍历,因为该节点的左右子节点不满,在插入时需要往该节点上插入。入下图的节点3,此时3节点左右子树为空,因此下一次插入需要在3节点的左子树上插入,遍历到3节点时停止遍历。此时队列中的数据情况如图中所示,节点3位于队头。

image.png

关于insert方法,需要从获取到对头节点,如果对头节点的左子树为空,次数将插入的新节点放在对头的左子树上,并且不需要弹出队列;如果队头节点右子树为空,那么将新节点插入到右子树上,此时队头节点左右子树都满了,下一次插入将放在下一个节点的左子树上,因此需要将队头弹出。最后再将新节点放入队列中

image.png

2.2 代码


class CBTInserter {
  Queue<TreeNode> queue;
  TreeNode root;

  public CBTInserter(TreeNode root) {
    queue = new LinkedList<>();
    queue.offer(root);
    this.root = root;
    while (queue.peek().left != null && queue.peek().right != null) {
      TreeNode node = queue.poll();
      if (node.left != null) {
        queue.offer(node.left);
      }
      if (node.right != null) {
        queue.offer(node.right);
      }
    }
    if (queue.peek().left != null) {
      queue.offer(queue.peek().left);
    }
    if (queue.peek().right != null) {
      queue.offer(queue.peek().right);
    }
  }

  public int insert(int v) {
    TreeNode node = new TreeNode(v);
    TreeNode peek = queue.peek();
    if (peek.left == null) {
      peek.left = node;
    } else {
      peek.right = node;
      queue.poll();
    }
    queue.offer(node);
    return peek.val;

  }

  public TreeNode get_root() {
    return this.root;
  }
}

2.3 测试结果

通过测试

image.png

image.png

3.总结

  • 使用层序遍历初始化队列,如果遍历到的节点左右子树有一个为空停止遍历,并且该节点为队列队头
  • 每一次插入节点都放在对头的左右子树上,如果放在对头右子树上,需要将对头元素弹出