C++位图/布隆过滤器/海量数据处理

259 阅读14分钟

本文已参与「新人创作礼」活动,一起开启掘金创作之路

@TOC

零、前言

本章主要讲解C++中对哈希的应用有关方面的内容,位图,布隆,海量数据处理

一、位图

1、位图概念

  • 位图概念:
  1. 位图其实就是哈希的变形,同样通过映射来处理数据,只不过位图本身并不存储数据,而是存储标记

  2. 通过一个比特位来标记这个数据是否存在,1代表存在,0代表不存在

  3. 位图通常情况下用在数据量庞大,且数据不重复的情景下判断某个数据是否存在

  • 相关面试题描述:

给40亿个不重复的无符号整数,没排过序。给一个无符号整数,如何快速判断一个数是否在这40亿个数中

  • 注意:
  1. 遍历时间复杂度O(N);排序(O(NlogN))利用二分查找: logN;这两种方式除了效率不够高,还有个问题是内存无法完全同时加载这给40亿个不重复的无符号整数

  2. 10亿个整数为40亿字节,而10亿字节为1G,所以40亿个整数需要16G大小空间

  • 位图解决方案:
  1. 数据是否在给定的整形数据中,结果是在或者不在,刚好是两种状态

  2. 那么可以使用一个二进制比特位来代表数据是否存在的信息,如果二进制比特位为1,代表存在,为0代表不存在

  • 示图:小端平台上
image-20220322130330096

2、位图接口的介绍以及实现

  • bitset中常用的成员函数如下:
成员函数功能
set设置指定位或所有位
reset清空指定位或所有位
flip反转指定位或所有位
test获取指定位的状态
count获取被设置位的个数
size获取可以容纳的位的个数
any如果有任何一个位被设置则返回true
none如果没有位被设置则返回true
all如果所有位都被设置则返回true
  • 使用示例:
#include <iostream>
#include <bitset>
using namespace std;

int main()
{
	bitset<8> bs;
	bs.set(2); //设置第2位
	bs.set(4); //设置第4位
	cout << bs << endl; //00010100
	bs.flip(); //反转所有位
	cout << bs << endl; //11101011
	cout << bs.count() << endl; //6
	cout << bs.test(3) << endl; //1
	bs.reset(0); //清空第0位
	cout << bs << endl; //11101010
	bs.flip(7); //反转第7位
	cout << bs << endl; //01101010
	bs.reset(); //清空所有位
	cout << bs.none() << endl; //1
	bs.set(); //设置所有位
	cout << bs.all() << endl; //1
	return 0;
}

注:使用成员函数set、reset、flip时,若指定了某一位则操作该位,若未指定位则操作所有位

  • 位图的简单实现:
  1. 对于底层来说一个位代表一个数的映射,那么我们以char类型来开辟对应需要空间,同时用vector进行管理

  2. 对于开辟空间,一个char类型有8个位,所以需要个数/8即为需要开辟的大小,但是整数相除为向下取整,所以需要我们多开一个空间出来

  • 实现代码:
template<size_t N>
class bitset
{
public:
	bitset()
	{
		_bits.resize(N / 8 + 1,0);//开辟空间并置为0
		//_bits.resize((N >> 3) + 1,0);
	}
	bool test(size_t x)
	{
		size_t i = x / 8;//处于的该数组的第几个空间
		size_t j = x % 8;//处于的该空间的第几个比特位

		return _bits[i] & (1 << j);
	}

	void set(size_t x)
	{
		size_t i = x / 8;//处于的该数组的第几个空间
		size_t j = x % 8;//处于的该空间的第几个比特位

		_bits[i] |= (1 << j);//该位置置为1
	}

	void reset(size_t x)
	{
		size_t i = x / 8;//处于的该数组的第几个空间
		size_t j = x % 8;//处于的该空间的第几个比特位

		_bits[i] &= (~(1 << j));//该位置置为0
	}
private:
	vector<char> _bits;
};

3、位图的应用

  1. 快速查找某个数据是否在一个集合中

  2. 排序

  3. 求两个集合的交集、并集等

  4. 操作系统中磁盘块标记

二、布隆过滤器

1、布隆过滤器概念和介绍

  • 布隆过滤器的提出:
  1. 我们在使用新闻客户端看新闻时,它会给我们不停地推荐新的内容,它每次推荐时要去重,去掉那些已经看过的内容。问题来了,新闻客户端推荐系统如何实现推送去重的?

  2. 用服务器记录了用户看过的所有历史记录,当推荐系统推荐新闻时会从每个用户的历史记录里进行筛选,过滤掉那些已经存在的记录

  • 如何快速查找:
  1. 用哈希表存储用户记录,缺点:浪费空间

  2. 用位图存储用户记录,缺点:不能处理哈希冲突

  3. 将哈希与位图结合,即布隆过滤器

  • 布隆过滤器概念:
  1. 布隆过滤器是由布隆(Burton Howard Bloom)在1970年提出的 一种紧凑型的、比较巧妙的概率型数据结构

  2. 特点是高效地插入和查询,可以用来告诉你 “某样东西一定不存在或者可能存在”

  3. 它是用多个哈希函数,将一个数据映射到位图结构中的不同位置上,不仅可以提升查询效率,也可以节省大量的内存空间

  • 示图:
image-20220322130510986
  • 位图中的哈希冲突:

当字符串使用哈希时,无可避免的会出现哈希冲突的问题(可能两个不同的内容映射相同的位置),而位图又是一个不能解决哈希冲突的数据结构。于是布隆过滤器则是使用了多个哈希函数,将数据映射到多个位置上面,才能确保数据的准确性,减小误判的概率

2、布隆过滤器的操作及实现

  • 布隆的插入操作:

使用了多个哈希函数,将数据映射到多个位置上面,并将对应位置标记为1

  • 示图:
image-20220322130537961 image-20220322130553387
  • 布隆过滤器的查找:
  1. 分别计算每个哈希值对应的比特位置存储的是否为零,只要有一个为零,代表该元素一定不在哈希表中,否则可能在哈希表中

  2. 布隆过滤器如果说某个元素不存在时,该元素一定不存在,如果该元素存在时,该元素可能存在,因为有些哈希函数存在一定的误判(哈希冲突)

  • 布隆过滤器删除:

布隆过滤器不能直接支持删除工作,因为在删除一个元素时,可能会影响其他元素(哈希冲突)

  • 一种支持删除的方法:

将布隆过滤器中的每个比特位扩展成一个小的计数器,插入元素时给k个计数器(k个哈希函数计算出的哈希地址)加一,删除元素时,给k个计数器减一,通过多占用几倍存储空间的代价来增加删除操作

  • 缺陷:
  1. 无法确认元素是否真正在布隆过滤器中

  2. 存在计数回绕

  • 如何选择哈希函数个数和布隆过滤器长度:
  1. 如果一个数据要映射多个位置,如果布隆过滤器较小,则会导致数据马上全部映射满,此时无论进行什么操作,都会存在大量的误报率。也就是说,布隆过滤器的长度与误报率成反比,与空间利用率成反比

  2. 哈希函数的个数也值得思考,哈希函数越多,映射的位置也就越多,此时准确性也就越高,但随之带来的问题就是效率的降低。也就是说,哈希函数的个数与效率成反比,准确率成正比

  • 示图:
image-20220322190512701
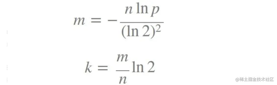
  • 选择公式:
image-20220322190643154
  • 注意:
  1. k 为哈希函数个数,m 为布隆过滤器长度,n 为插入的元素个数,p 为误报率

  2. 所以根据公式,我这里使用的哈希函数为3个,空间就应该开插入元素个数的五倍左右

  • 实现代码:
	struct _BKDRHash
	{
		//BKDRHash
		size_t operator()(const std::string& key)
		{
			size_t hash = 0;
			for (size_t i = 0; i < key.size(); i++)
			{
				hash *= 131;
				hash += key[i];
			}
			return hash;
		}
	};

	struct _SDBMHash
	{
		//SDBMHash
		size_t operator()(const std::string& key)
		{
			size_t hash = 0;
			for (size_t i = 0; i < key.size(); i++)
			{
				hash *= 65599;
				hash += key[i];
			}
			return hash;
		}
	};

	struct _RSHash
	{
		//RSHash
		size_t operator()(const std::string& key)
		{
			size_t hash = 0;
			size_t magic = 63689;
			for (size_t i = 0; i < key.size(); i++)
			{
				hash *= magic;
				hash += key[i];
				magic *= 378551;
			}
			return hash;
		}
	};

	template<size_t N,class K=std::string,
		class Hash1=_BKDRHash,class Hash2=_SDBMHash,class Hash3=_RSHash>
	class BloomFilter
	{
	public:
		bool Test(const K& key)
		{
			size_t index1 = Hash1()(key) % len;
			size_t index2 = Hash2()(key) % len;
			size_t index3 = Hash3()(key) % len;
			if (!_bs.test(index1) || !_bs.test(index2) || !_bs.test(index3))
				return false;

			return true;
		}

		void Set(const K& key)
		{
			size_t index1 = Hash1()(key) % len;
			size_t index2 = Hash2()(key) % len;
			size_t index3 = Hash3()(key) % len;
			_bs.set(index1);
			_bs.set(index2);
			_bs.set(index3);
		}

	private:
		bitset<6*N> _bs;
		size_t len = 6 * N;
	};
}

3、布隆过滤器的分析

  • 布隆过滤器优点:
  1. 增加和查询元素的时间复杂度为:O(K), (K为哈希函数的个数,一般比较小),与数据量大小无关

  2. 哈希函数相互之间没有关系,方便硬件并行运算

  3. 布隆过滤器不需要存储元素本身,在某些对保密要求比较严格的场合有很大优势

  4. 在能够承受一定的误判时,布隆过滤器比其他数据结构有这很大的空间优势

  5. 数据量很大时,布隆过滤器可以表示全集,其他数据结构不能

  6. 使用同一组散列函数的布隆过滤器可以进行交、并、差运算

  • 布隆过滤器缺陷:
  1. 有误判率,即存在假阳性(False Position),即不能准确判断元素是否在集合中(补救方法:再建立一个白名单,存储可能会误判的数据)

  2. 不能获取元素本身

  3. 一般情况下不能从布隆过滤器中删除元素

  4. 如果采用计数方式删除,可能会存在计数回绕问题

三、海量数据处理

  1. 给40亿个不重复的无符号整数,没排过序。给一个无符号整数,如何快速判断一个数是否在这40亿个数中

这里的数据要求40亿个不重复的无符号整数,使用位图用一个位来表示一个整数,将所有的数据映射到位图上,当进行查询时,只要位图的对应位置为1,则说明该数据在这40亿个数据中

  1. 给定100亿个整数,设计算法找到只出现一次的整数?

方法1:使用特定的位图,每个映射的数有对应的两个bit位进行表示映射的状态

方法2:使用两个位图,同样的两个位图对应的映射的数的位置共同表示映射状态

注:没有映射00,一次映射01,一次以上映射10

  1. 给两个文件,分别有100亿个整数,我们只有1G内存,如何找到两个文件交集

方法1:将文件1的整数全部映射到位图中,接着从文件2中读取数据,并在位图中查询该数据,如果数据存在,则说明该数据是交集之一

方法2:使用两个位图,对两个文件进行分别遍历文件读取数据映射到位图上,然后对位图进行遍历求交集,同一个位置都为1,那么则为交集

  1. 1个文件有100亿个int,1G内存,设计算法找到出现次数不超过2次的所有整数

方法1:使用特定的位图,每个映射的数有对应的两个bit位进行表示映射的状态

方法2:使用两个位图,同样的两个位图对应的映射的数的位置共同表示映射状态

注:没有映射00,一次映射01,两次映射10,三次以上映射11

  1. 给两个文件,分别有100亿个query,我们只有1G内存,如何找到两个文件交集?分别给出精确算法和近似算法

注:query一般为URL中的查询字符串或者SQL中的查询语句,假设每个query30个字节,那么100亿个query也得300G的内存才能装下

近似算法:使用布隆过滤器来进行处理,对一个文件将数据全部进行哈希映射,再对另一个文件中的数据进行查询,但是可能存在哈希冲突,导致造成误判,所以当一个数据不存在于布隆过滤器中,则它必定不存在,但是如果一个数据存在于布隆过滤器中,它也不一定存在

精确算法:如果要精确的进行查找,那就必须得将数据放入内存中,但是由于数据过大我们可以将数据存入到服务器中,先使用布隆过滤器进行处理,如果对应映射不存在,那么久一定不是交集,如果对应映射存在那么就到服务器中进行二次查询

平均切割: 平均切割不是一个很好的方法,但是它确实是我们很容易就能思考到的方法,我们将两个文件中的数据平均切分为M份(能放入内存),分别存储到一个set中,然后以此将数据进行比较,这种方法就需要以此对所有的数据进行比对,效率会比较低

哈希切割: 创建多个临时文件,并进行标号,读取文件数据使用字符串哈希算法进行哈希映射,映射到对应的文件并将数据存进去,对两个文件的数据都采用这样的做法进行切分,由于我们使用的是同一种字符串哈希算法,所以相同的字符串必定会被映射到同一个编号下的文件中,所以我们只需要依次对编号相同的Ai和Bi文件中使用set寻找交集即可(如果有些文件切分之后依然过大,可以继续对其进行切分)

  1. 给一个超过100G大小的log file, log中存着IP地址, 设计算法找到出现次数最多的IP地址? 与上题条件相同,如何找到top K的IP?如何直接用Linux系统命令实现?

使用哈希切割的方式来解决文件分片的问题,相同的IP地址必定会被映射到同一个文件中,所以我们依次读取文件,使用Map进行次数统计即可之后再进行排序即可

Linux的命令:sort log_file | uniq -c | sort -nr | head -k

说明:首先使用sort log_file来将数据进行一个排序,使得相同的IP地址全部靠在一起。接着使用uniq - c进行去重,并将重复的次数显示在每列的旁边,通过这个次数来使用sort -nr进行降序排序,使得出现次数最的IP地址在前面,然后使用head -k 获取前k个IP地址即可

  1. 100w个数中找出最大的100个数

由于100w个数据并不算多,可以存放进内存中,所以可以考虑以下解法

方法1:采用快排中的partition划分思想,即单趟划分后,枢轴s前面的数据都比他大,后面的数据都比他小,此时我们选取其中较大的那一部分,继续划分。当划分后前端的数据刚好等于100后划分结束,对前端数据进行排序即可得到结果。如果前端数据不足100,则从后端数据进行排序后取出不足的那部分补上,再进行排序即可。O(100w*100)

方法2:局部淘汰法,使用插入排序来完成,首先取出前100个数据进行排序,然后依次遍历后面的数据,如果数据大于最小值,则将最小值删除,然后按照插入排序的思路将数据插入进去O(100w*100)

方法3:局部淘汰法,使用一个大小为100的小堆来完成,维护一个小堆,当数据比堆顶也就是最小值大的时候,用新数据替换掉堆顶,然后调整堆的结构。遍历完所有数据后就可以得到前100的数据。O(100w*lg100)

  1. 海量数据分布在100台电脑中,想个办法高效统计出这批数据的TOP10

对于每一个电脑,都构建一个大小为10的堆(选大的构建小堆,选小的构建大堆),选出当前电脑的TOP10,接着将所有电脑的数据汇总起来,共1000个数据,继续用堆从其中选出TOP10

  1. 给上千个文件,每个文件大小为 1K—100M。给 n 个词,设计算法对每个词找到所有包含它的文件,你只有 100K 内存

使用倒排索引来解决,即建立起单词——文件的映射,只需要遍历所有文章,如果文章中出现过查询词,则将文件号追加在对应词的倒排拉链中即可,如果100M的文件放不下内存中,就对数据进行切割后处理即可