leetcode 653. Two Sum IV - Input is a BST(python)

95 阅读2分钟

持续创作,加速成长!这是我参与「掘金日新计划 · 10 月更文挑战」的第11天,点击查看活动详情

描述

Given the root of a Binary Search Tree and a target number k, return true if there exist two elements in the BST such that their sum is equal to the given target.

Example 1:

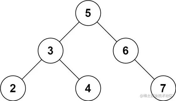
Input: root = [5,3,6,2,4,null,7], k = 9
Output: true

Example 2:

Input: root = [5,3,6,2,4,null,7], k = 28
Output: false

Note:

  • The number of nodes in the tree is in the range [1, 10^4].
  • -10^4 <= Node.val <= 10^4
  • root is guaranteed to be a valid binary search tree.
  • -10^5 <= k <= 10^5

解析

根据题意,给定二叉搜索树的 root 和目标数字 k ,如果 BST 中存在两个元素,使得它们的总和等于给定的目标 k ,则返回 True ,否则返回 False 。

这道题其实相当简单了,考查的就是元素的遍历,具体方法使用的肯定是 dfs 递归 ,我们使用递归选择一种节点遍历的顺序,将所有的节点的值都存在于一个数组中 values ,这里需要注意的是树中肯定不会出现两个相同的节点值,然后我们使用双指针,从两侧往中间移动,如果指针指向的两个值的和等于 k 那么直接返回 True ,如果遍历结束那么直接返回 False 。

时间复杂度为 O(N) ,空间复杂度为 O(N) 。

解答

class Solution(object):
    def findTarget(self, root, k):
        """
        :type root: TreeNode
        :type k: int
        :rtype: bool
        """
        self.values = []
        def dfs(root):
            if not root:
                return 
            dfs(root.left)
            self.values.append(root.val)
            dfs(root.right)
        dfs(root)
        left, right = 0, len(self.values) - 1
        while left < right:
            total = self.values[left] + self.values[right]
            if total == k:
                return True
            if total < k:
                left += 1
            else:
                right -= 1
        return False

运行结果

Runtime: 167 ms, faster than 23.66% of Python online submissions for Two Sum IV - Input is a BST.
Memory Usage: 20 MB, less than 21.43% of Python online submissions for Two Sum IV - Input is a BST.

解析

或者不用像上面那么麻烦,可以边递归,边进行条件判断,我们先预先初始化一个数组 L ,使用 dfs 递归每个根节点,如果 k-root.val 存在于 L 中,那么直接返回 True 即可,否则继续在左右子树中进行递归判断。

时间复杂度为 O(N) ,空间复杂度为 O(N) 。

解答

class Solution(object):
    def __init__(self):
        self.L = []
    def findTarget(self, root, k):
        """
        :type root: TreeNode
        :type k: int
        :rtype: bool
        """
        if not root:
            return False
        if k-root.val in self.L:
            return True
        self.L.append(root.val)
        return self.findTarget(root.left, k) or self.findTarget(root.right, k)

运行结果

Runtime: 105 ms, faster than 73.22% of Python online submissions for Two Sum IV - Input is a BST.
Memory Usage: 18.3 MB, less than 66.52% of Python online submissions for Two Sum IV - Input is a BST.

原题链接

leetcode.com/problems/tw…

您的支持是我最大的动力