计算机操作系统(七、文件管理)

169 阅读3分钟


持续创作,加速成长!这是我参与「掘金日新计划 · 10 月更文挑战」的第11天,点击查看活动详情

作者:大三的土狗

专栏:计算机操作系统 Snipaste_2022-10-03_20-24-01.png

前言

  操作系统 (英语:Operating System,缩写:OS) 是一组主管并控制计算机操作、运用和运行硬件、软件资源和提供公共服务来组织用户交互的相互关联的系统软件程序。根据运行的环境,操作系统可以分为桌面操作系统,手机操作系统,服务器操作系统,嵌入式操作系统等。

  文件管理是操作系统的五大职能之一,主要涉及文件的逻辑组织和物理组织,目录的结构和管理。所谓文件管理,就是操作系统中实现文件统一管理的一组软件、被管理的文件以及为实施文件管理所需要的一些数据结构的总称(是操作系统中负责存取和管理文件信息的机构)从系统角度来看,文件系统是对文件存储器的存储空间进行组织,分配和回收,负责文件的存储,检索,共享和保护。从用户角度来看,文件系统主要是实现"按名取存",文件系统的用户只要知道所需文件的文件名,就可存取文件中的信息,而无需知道这些文件究竟存放在什么地方。

image-20221009232431995.png

1、数据项

  • 基本数据项

  • 组合数据项

2、记录

记录是一组相关数据项的集合,用于描述一个对象在某个方面的属性

3、文件

  • 文件类型

  • 文件长度

  • 文件的物理位置

  • 文件的建立时间

4、文件操作

  • 创建文件

  • 删除文件

  • 读文件

  • 写文件

  • 设置文件读写的位置

5、文件的逻辑结构

  • 顺序文件

  • 记录寻址

  • 索引文件

  • 索引顺序文件

  • 直接文件和哈希文件

6、文件目录

文件控制块(FCB)

为了能对一个文件进行正确的存取,操作系统必须为文件设置用于描述和控制文件数据结构,称之为“文件控制块(FCB)”。

  • 文件名+inode(属性)

简单的文件目录

  • 单级文件目录

    • 查找慢
    • 不允许重名
    • 不便于实现文件共享
  • 两级文件目录

    • 提高检索速度,从M*N到M+N

树形结构目录

  • 路径名

    • “..”是父目录
    • “/”是根目录
    • 区别绝对路径和相对路径(../.../.../1/2/3/)

7、文件共享

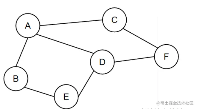
有向无循环图(DAG)

image-20221009232653308.png

利用符号链接实现文件共享

  • 实际上就是“快捷方式”

8、文件保护

通过文件加锁或访问权限控制,防止文件被破坏或不当访问的过程。

总结

  以上就是计算机操作系统文件管理器的全部内容,希望可以帮到学习计算机操作系统的同学,不过本教程仅仅是对知识框架的梳理,想要具体学习还需参考书籍视频等等。