OS——信号量机制详解

598 阅读6分钟

持续创作,加速成长!这是我参与「掘金日新计划 · 10 月更文挑战」的第1天

什么是信号量

信号量有三部分组成:称为信号量(semaphore)的特殊变量、P操作的原语以及V操作的原语。那么,什么是原语呢?

原语

书里的定义是:完成某种功能且不被分割、不被中断执行的操作序列,这里翻译一下,就是只能一气呵成,不能被中断

基本原理

为每个临界区设置一个信号量,作用就是在多个进程之间转发互斥信息。当一个进程需要使用临界资源时,对信号量执行P操作,了解临界资源的空闲情况。用完资源后,执行V操作,释放资源

//进程p0:
......
wait(s);//进入区,申请资源
使用资源//临界区,访问资源
signal(s);//退出区,释放资源
......

信号量分类

这里讨论整型信号量和记录型信号量

整型信号量

我们刚刚提到,信号量是一个变量,那么整型信号量就是用一个整数型的变量作为信号量,表示系统中某种资源的数量。

可以执行的操作

  • 初始化:初始化信号量的初值,应为非负数
  • P操作
  • V操作
smaphore S;
wait(S):
        while S<=0  do no-op//如果资源数不够,就一直等待,直到S>0
        S = S-1;//资源数够了,就占用一个资源
        
signal(S):
    S = S+1;//使用完资源后,在退出区释放资源

缺陷

在上面的P操作中我们可以看到,当S<=0时会一直等待,直到S>0才会停止。而我们又知道,互斥准则之四:当一个进程不能进入临界区时要立马阻塞自己,我们称之为让权等待。那么我们可以看到,整型信号量的P操作机制并未遵循让权等待的准则,有些进程可能会一直处于忙等。那么该如何解决这个问题呢?就该引出第二种信号量机制了——记录型信号量。

记录型信号量

那么,什么是记录型信号量呢?我们还是从组成的角度来看:在记录型信号量机制中,我们用整型变量count代表资源数目,一个进程链表指针queue链接所有的等待进程

typedef struct{
    int count;
    queueType *queue;//类型即为等待进程的类型
}smaphore;

count:值为正时,表示某种资源的数量,值为负时,表示该类资源已经被分配完毕,这里举一个栗子🌰:

当count = 3 时,表示临界资源还有3个

当count = -3 时,表明有3个进程在阻塞队列中排队

Wait(S)操作

smaphore S;
void wait(S){
    S.count --;//使用临界资源,临界资源数量-1
    if(S.count<0){//说明-1之前已经没有资源了,那就得阻塞自己了
        block(S.queue);//使用block()原语阻塞自己链接到S.queue阻塞队列
    }
}

Signal(S)操作

void signal(S){
    S.count ++;
    if(S.count<=0){//释放一个资源后资源数还<=0,说明有进程在排队
        wakeup(S.queue);//把它从阻塞队列移到就绪队列
    }
}

举栗时间🌰

假设有四个进程p1~p4,他们都要使用打印机,也就是说打印机就是这四个进程的临界资源,我们假设有两台打印机。

现在P1申请资源:进行P操作后count = 1。

之后P2申请资源:进行P操作后count = 0。

P3也想申请资源:进行P操作后发现S.count < 0,也就是说此时没有资源可以给它用,那么P3此时立即执行block() 原语把自己阻塞

p4也想申请资源:发现和p3一样,马上也把自己阻塞了。

p1用完资源:经过一段时间P1用完打印机了,执行V操作,count = -2 + 1 = -1,发现count值<=0,知道此时有进程正在排队,于是执行wakeup原语把队头的进程唤醒,也就是等了半天的P3大哥,P3大哥被唤醒后执行P操作,把资源拿来用。

p2用完资源:同样一段时间后,p2用完了,执行和p1同样的操作唤醒p4,把资源给它。

信号量的使用

信号量实现互斥

设n个进程共享一个信号量mutex,初值为1,把临界区置于P操作和V操作之间,即可实现进程互斥的进入临界区。原理很简单,一个进程执行P操作使用临界资源,如果此时没有资源可以使用就阻塞自己,直到有资源可以用。用完资源后执行V操作,同时检查此时资源数量,若<=0,说明有人在排队,就把它从阻塞队列中唤醒。具体代码如下:

void p1{
    smaphore mutex = 1;
    do{
        wait(mutex);
        临界区;
        signal(mutex);
    }while(true)
}

信号量实现同步

那么首先回顾一下,什么是进程同步。我们知道:两个并发执行的进程具有异步性,因此两者的执行顺序是不确定的。但若进程2的操作必须基于进程1完成后才能执行,我们就必须确保要先执行完进程2再去执行进程1。这就是进程同步:让本来异步并发的进程互相配合,有序推进

那么了解完进程同步是什么后,我们该如何实现它呢?很简单,概括为3步:

  • 初始化公共信号量S = 0
  • 在“前操作”执行完成后执行V操作
  • 在“后操作”执行前执行P操作
smaphore S = 0;
//p1
void p1{
    ....
    signal(S);//在“前操作”执行完成后执行V操作
}
void p2{
    wait(S);//在“后操作”执行前执行P操作
    ....
}

我们不妨分两种可能的情况来检验一下这样实现是否合理:

  1. 若进程1先执行,执行完后执行V操作,S++后S变为1。然后进程2执行,执行P操作,发现有可用资源可以用,S--变为0,进程2不会执行block阻塞自己。
  2. 若进程2先执行,执行之前先执行P操作,S--后为 -1,发现此时S<=0,也就是没有可用资源,便立即执行block阻塞自己。轮到进程1执行完后,执行P操作,S++变为0,表示目前有人在阻塞队列,因此V操作中会执行wakeup,唤醒进程p1,进程p1就继续执行。

信号量实现前驱

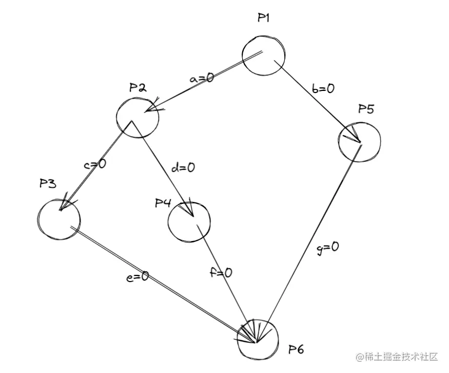
什么是前驱关系呢?这里还是直接举栗子🌰:

假设有6个进程P1~P6,执行顺序的关系如图所示:执行P1后才能执行P2,P5,执行完P2后才能执行P3和P4。

那么知道什么是前驱关系后,该如何实现它呢?我们的解决方案是为每一对前驱关系都设置一个同步变量,初值都为0

然后在每一个前操作执行后执行V操作,同步变量++,在每个后操作执行前执行P操作,同步变量--

过程即为:

  • P1执行后执行V操作,a = 1。
  • P2执行前,先执行P操作,a-- = 0,即有可用的资源,于是P2使用资源,p2执行后执行V操作,使c++ ,c变为1,供p3使用

按如上方法依次执行,便可以实现前驱操作。可以发现,前驱关系其实是一种特殊的同步关系