时间复杂度&空间复杂度 含义、表示方法、计算方法、示例

160 阅读1分钟

本文已参与「新人创作礼」活动,一起开启掘金创作之路。

含义

T(time) 时间复杂度:T(n)定义为任何大小的输入n所需的最大运行时间,但实际上的时间复杂度数值表示的是算法执行次数(给次数是不是便于不同配置的计算机算时间?哈哈)

S(space)空间复杂度: S(n)定义为任何大小的输入n所需的最大运行空间,包括1.程序本身所占空间。2.输入数据所占空间。3.辅助变量所占空间。

表示方法

T(n)=O(XXXXX) S(n)=O(XXXXX) 【注】:时间复杂度是T(n),空间复杂度是S(n),n表示任何大小的输入n,O是一种级数表示法。

大写O,在计算机科学上用来表示函数的级数,通常称为“大O符号”。 ②大写O既不代表空间复杂度也不代表空间复杂度;只是数学表示声明(此为级数表示法)。

如何计算——

时间复杂度:

在这里插入图片描述

看懂了吗,over.

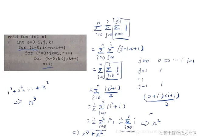
再来一道:

在这里插入图片描述 附注: T(n)=O(f(n))=O(n3)T(n)=O(f(n))=O(n^{3})解释 在上面计算中遇到的问题: 12+22++n2=n(n+1)(2n+1)/61^{2}+2^{2}+…+n^{2}=n(n+1)(2n+1)/6 在这里插入图片描述

over!

空间复杂度计算

void fun(int a[],int n,int k) 
 2    //数组a共有n个元素
 3  {    int i;
 4     if (k==n-1)
 5        for (i=0;i<n;i++)  
 6            printf(“%d\n”,a[i]);  //执行n次
 7     else
 8     {  for (i=k;i<n;i++)
 9         a[i]=a[i]+i*i;      //执行n-k次
10        fun(a,n,k+1);
11     }
12  } 

S(n) = O(g(1*n))

此方法属于递归算法,每次调用本身都要分配空间,fun(a,n,0)的空间复杂度为O(n)。