【刷题日记】 K 个一组翻转链表

60 阅读2分钟

持续创作,加速成长!这是我参与「掘金日新计划 · 10 月更文挑战」的第6天,点击查看活动详情

题目描述

给你链表的头节点 head ,每 k **个节点一组进行翻转,请你返回修改后的链表。

k 是一个正整数,它的值小于或等于链表的长度。如果节点总数不是 k 的整数倍,那么请将最后剩余的节点保持原有顺序。

你不能只是单纯的改变节点内部的值,而是需要实际进行节点交换。

 

示例 1:

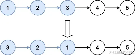
输入: head = [1,2,3,4,5], k = 2
输出: [2,1,4,3,5]

示例 2:

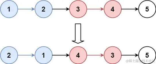
输入: head = [1,2,3,4,5], k = 3
输出: [3,2,1,4,5]

 

提示:

  • 链表中的节点数目为 n
  • 1 <= k <= n <= 5000
  • 0 <= Node.val <= 1000

 

进阶: 你可以设计一个只用 O(1) 额外内存空间的算法解决此问题吗?

这道题第一眼看到感觉好难,在一做发现,确实很难 下面是我的一些思路

思路

整体上来说,先把他们分成k个一组分别反转后,然后在递归中把反转后的链表串起来。

具体一些就是先反转以 head 开头的 k 个元素,然后将第 k + 1 个元素作为 head 递归调用 reverseKGroup 函数,并且将这两个过程的结果连接起来 需要注意的是:如果最后的元素不足 k 个,就保持不变,直接返回head就可以了。

const myReverse = (head, tail) => {
    let prev = tail.next;
    let p = head;
    while (prev !== tail) {
        const nex = p.next;
        p.next = prev;
        prev = p;
        p = nex;
    }
    return [tail, head];
}
var reverseKGroup = function(head, k) {
    const hair = new ListNode(0);
    hair.next = head;
    let pre = hair;

    while (head) {
        let tail = pre;
        // 查看剩余部分长度是否大于等于 k
        for (let i = 0; i < k; ++i) {
            tail = tail.next;
            if (!tail) {
                return hair.next;
            }
        }
        const nex = tail.next;
        [head, tail] = myReverse(head, tail);
        // 把子链表重新接回原链表
        pre.next = head;
        tail.next = nex;
        pre = tail;
        head = tail.next;
    }
    return hair.next;
};

官方给出的方法是模拟,然后我又想到一种,就是利用栈的先进后出的特性来完成翻转,之后再利用归将长链表拆分成以K为长度的短链表,提到这里我就想到之前刷的一道题——反转链表 Ⅱ,他是将链表中的一个区间反转其实我们这里就是反转多个长度为 k 的区间罢了

具体多少个区间,就是链表总长度和 k 的关系了。

一些小想法

链表这一块算是数据结构中最基础的一部分,反转链表算是比较经典的题目了,还是要打好基础在刷题,不然刷题的时候真的很痛苦。