跟着卷卷龙一起学Camera--一亿像素的好坏02

156 阅读2分钟

持续创作,加速成长!这是我参与「掘金日新计划 · 10 月更文挑战」的第4天,点击查看活动详情

2.binning 可以提高信噪比

Sensor 分辨率超过镜头的分辨率,如果不加利用,那这种高像素就变成了浪费,所以 在实际应用中,这种高像素 sensor 大部分都是以 binning 的形式输出,也就是几个像 素合成一个输出,从而获得信噪比上的提升。同时由于 sensor 本身像素数就很高,即使 binning,输出的图像分辨率依然不低。 Pixel 的 SNR 模型可以用下边这个公式表示: Q 是 pixel 的 QE(量子效率),对于一 个 sensor 来说,是一个常数。t 是曝光时间,y 是光强,D 是 Dark current,对于一 个 sensor 来说也是常量。N 是 readout noise power。

image.png

如果我们单纯的把 M 个像素求和,会得到什么呢?

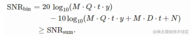
image.png 可以看出,相较单 pixel 的 SNR,我们得到了 10+log10(M)的增益。 如果是 M 像素 binning 呢?

image.png

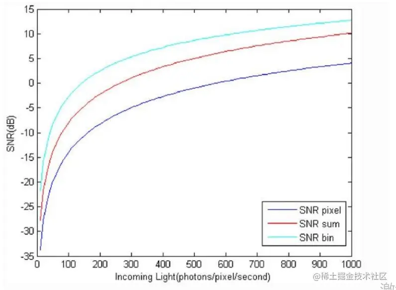
从公式可见,由于 binning 发生在 source follower 和 ADC 之前,N(readout noise)没有被放大。所以 binning 得到的 SNR 更高。由下图可见,binning 与其他两种对比,所得到的 SNR 的提升。

image.png

3.高像素数对 crosstalk 的影响

像素数高,sensor 尺寸变大。据说这款 108M 像素的 sensor 尺寸是 1/1.33 的规格, 在手机里仅次于当年 Nokia Pureview808 ,这么大的 sensor size,pixel size 0.8um 这么小,手机厚度有限,sensor 的 crosstalk 将会是个很难解决的问题。Crosstalk 增 大,会导致噪声增加,color shading,color noise 等等 IQ 指标的恶化。 Cmos sensor 的 发 展史 也 是 一部 改 善 crosstalk 的历 史 ,从 light guide,到 deep trench,新的 color filter 与 pixel isolator 的设计也一直在进步,不知道三星针 对这款 sensor 用了什么黑科技。

image.png