四十六、MapReduce之ProvincePartitioner案例实施(序列化案例实施)

76 阅读3分钟

案例前景:

三十四、MapReduce之FlowData案例(序列化案例实施)_托马斯-酷涛的博客-CSDN博客前言:序列化概述: (1)什么是序列化? 序列化就是把内存中的对象,转换成字节序列(或其他数据协议)以便于存储到磁盘(持久化)和网络传输。 (2)什么是反序列化? 反序列化就是将收到的字节序列(或其他数据传输协议)或者是磁盘的持久化数据,转换成内存中的对象。 (3)为什么要序列化? 一般情况,【活的】对象只生存在内存里,关机断电就没有了,而且【活的】对象只能由本地的进程使用,不能被发送到网络上的另...https://blog.csdn.net/m0_54925305/article/details/120389737?spm=1001.2014.3001.5502

案例需求:

       

        此次输入文件依旧选用上次 phone.txt 文件,功能需求实现对每个不同号码进行序列化排序,例如:16889654789、16865676743等这些号码归类在一个文件当中,16956789876、16967432568等这些号码归类在另一个文件当中,其余号码归类合并在一个文件当中。

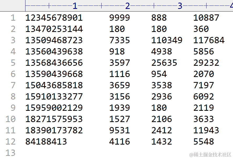
输入数据文件:

 

期望输出文件:

 

 程序编写:

    

        程序主体架构:

(1)FlowMapper编写

package org.example.Partitioner;

import org.apache.hadoop.io.LongWritable;
import org.apache.hadoop.io.Text;
import org.apache.hadoop.mapreduce.Mapper;

import java.io.IOException;

public class FlowMapper extends Mapper<LongWritable, Text, Text, FlowBean> {
    private Text outK = new Text();
    private FlowBean outV = new FlowBean();

    @Override
    protected void map(LongWritable key, Text value, Mapper<LongWritable, Text, Text, FlowBean>.Context context) throws IOException, InterruptedException {
        //获取一行
        //1	13736230511	192.196.100.1	www.baidu.com	6789	12345	400
        String line = value.toString();

        //切割
        //1,13736230511,192.196.100.1,www.baidu.com,6789,12345,400
        String[] split = line.split("\t");

        //抓取数据
        //手机号 13736230511
        //上行流量和下行流量 6789    12345
        String phone = split[1];
        String up = split[split.length - 3];       //7-() = 4
        String down = split[split.length - 2];     //6-() = 3

        //封装
        outK.set(phone);
        outV.setUpFlow(Long.parseLong(up));
        outV.setDownFlow(Long.parseLong(down));
        outV.setSumFlow();

        //写出
        context.write(outK, outV);
    }
}

(2)FlowReducer编写

package org.example.Partitioner;

import org.apache.hadoop.io.Text;
import org.apache.hadoop.mapreduce.Reducer;

import java.io.IOException;

public class FlowReducer extends Reducer<Text, FlowBean, Text, FlowBean> {
    private FlowBean outV = new FlowBean();

    @Override
    protected void reduce(Text key, Iterable<FlowBean> values, Reducer<Text, FlowBean, Text, FlowBean>.Context context) throws IOException, InterruptedException {
        //遍历集合累加值
        long totalup = 0;
        long totaldown = 0;
        for (FlowBean value : values) {
            totalup += value.getUpFlow();
            totaldown += value.getDownFlow();
        }

        //封装outK,outV
        outV.setUpFlow(totalup);
        outV.setDownFlow(totaldown);
        outV.setSumFlow();

        //写出
        context.write(key, outV);
    }
}

(3)FlowBean编写

package org.example.Partitioner;

/*
 *  1、定义类实现writable接口
 *  2、重写序列化和反序列化方法
 *  3、重写空参构造
 *  4、重写toString方法
 */

import org.apache.hadoop.io.Writable;

import java.io.DataInput;
import java.io.DataOutput;
import java.io.IOException;

public class FlowBean implements Writable {
    //上行流量
    private long upFlow;
    //下行流量
    private long downFlow;
    //总流量
    private long sumFlow;

    public long getUpFlow() {
        return upFlow;
    }

    public void setUpFlow(long upFlow) {
        this.upFlow = upFlow;
    }

    public long getDownFlow() {
        return downFlow;
    }

    public void setDownFlow(long downFlow) {
        this.downFlow = downFlow;
    }

    public long getSumFlow() {
        return sumFlow;
    }

    public void setSumFlow() {
        this.sumFlow = this.upFlow + this.downFlow;
    }

    //空参构造
    public FlowBean() {
    }

    @Override
    public void write(DataOutput dataOutput) throws IOException {
        dataOutput.writeLong(upFlow);
        dataOutput.writeLong(downFlow);
        dataOutput.writeLong(sumFlow);
    }

    @Override
    public void readFields(DataInput dataInput) throws IOException {
        this.upFlow = dataInput.readLong();
        this.downFlow = dataInput.readLong();
        this.sumFlow = dataInput.readLong();
    }

    @Override
    public String toString() {
        return upFlow + "\t" + downFlow + "\t" + sumFlow;
    }
}

(4)provincePartitioner编写

package org.example.Partitioner;

import org.apache.hadoop.io.Text;
import org.apache.hadoop.mapreduce.Partitioner;

public class ProvincePartitioner extends Partitioner<Text, FlowBean> {
    @Override
    public int getPartition(Text text, FlowBean flowBean, int i) {
        String phone = text.toString();
        String prephone = phone.substring(0, 3);

        int partitioner;
        if ("136".equals(prephone)) {
            partitioner = 0;
        } else if ("137".equals(prephone)) {
            partitioner = 1;
        } else if ("138".equals(prephone)) {
            partitioner = 2;
        } else if ("139".equals(prephone)) {
            partitioner = 3;
        } else {
            partitioner = 4;
        }
        return partitioner;
    }
}

(5)FlowDriver编写

package org.example.Partitioner;

import org.apache.hadoop.conf.Configuration;
import org.apache.hadoop.fs.Path;
import org.apache.hadoop.io.Text;
import org.apache.hadoop.mapreduce.Job;
import org.apache.hadoop.mapreduce.lib.input.FileInputFormat;
import org.apache.hadoop.mapreduce.lib.output.FileOutputFormat;

import java.io.IOException;

public class FlowDriver {

    public static void main(String[] args) throws IOException, InterruptedException, ClassNotFoundException {
        //1、获取job
        Configuration conf = new Configuration();
        Job job = Job.getInstance(conf);

        //2、设置jar
        job.setJarByClass(FlowDriver.class);

        //3、关联mapper 和 reducer
        job.setMapperClass(FlowMapper.class);
        job.setReducerClass(FlowReducer.class);

        //4、设置mapper输出的k.v类型
        job.setMapOutputKeyClass(Text.class);
        job.setMapOutputValueClass(FlowBean.class);

        //自定义
        job.setPartitionerClass(ProvincePartitioner.class);

        //分区为5
        job.setNumReduceTasks(5);


        //5、设置最终输出k.v类型
        job.setOutputKeyClass(Text.class);
        job.setOutputValueClass(FlowBean.class);

        //6、设置数据输入路径和输出路径
        FileInputFormat.setInputPaths(job, new Path("E:\\input\\inputflow"));
        FileOutputFormat.setOutputPath(job, new Path("E:\\output\\ProvincePartitioner"));

        //7、提交job
        boolean result = job.waitForCompletion(true);
        System.exit(result ? 0 : 1);
    }

}

数据分析:

 

 

 

 

 

 

        注:由于分区自定义设置为5,则应共产生5个输出文件,上图所示,与预想效果一致

//自定义
job.setPartitionerClass(ProvincePartitioner.class);

//分区为5
job.setNumReduceTasks(5);

MapReduce之ProvincePartitioner案例实施(序列化案例实施)完成