判断是否存在环形链表

162 阅读1分钟

持续创作,加速成长!这是我参与「掘金日新计划 · 10 月更文挑战」的第7天,点击查看活动详情

1、前言

每天一个算法小练习,本篇使用Java实现。

2、题目描述

  给你一个链表的头节点 head ,判断链表中是否有环。如果链表中有某个节点,可以通过连续跟踪 next 指针再次到达,则链表中存在环。为了表示给定链表中的环,评测系统内部使用整数 pos 来表示链表尾连接到链表中的位置(索引从 0 开始)。注意:pos 不作为参数进行传递 。仅仅是为了标识链表的实际情况。如果链表中存在环 ,则返回 true。否则,返回 false 。

  • 链表中节点的数目范围是 [0, 104]
  • -105 <= Node.val <= 105
  • pos 为 -1 或者链表中的一个 有效索引

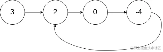
2.1、示例1

image.png

输入:head = [3,2,0,-4], pos = 1
输出:true
解释:链表中有一个环,其尾部连接到第二个节点。

2.2、示例2

image.png

输入:head = [1,2], pos = 0
输出:true
解释:链表中有一个环,其尾部连接到第一个节点。

2.3、示例3

image.png

输入:head = [1], pos = -1
输出:false
解释:链表中没有环。

3、解题思路

3.1、快慢指针

类似这种判断是否存在环形链表的问题,在实际面试中出现的频率还是挺高的。最容易想到的一个方法就是利用快慢指针来解决。让慢指针每次走一步,快指针走两步,如果存在环,则快指针一定会追上慢指针。

public class Solution {
    public boolean hasCycle(ListNode head) {
        ListNode slow = head;
        ListNode fast = head; 
        while (fast != null && fast.next != null) {
            //慢指针,每次走一步
            slow = slow.next; 
            //快指针,每次走两步
            fast = fast.next.next; 
            //存在快慢指针相等的情况,表明有环
            if (fast == slow) {   
                return true;
            }
        }
        return false;
    }
}

执行结果:

  • 时间复杂度:O(N)O(N)

  • 空间复杂度:O(1)O(1)

image.png

好了、本期就先介绍到这里,有什么需要交流的,大家可以随时私信我。😊