刷题笔记-160. 相交链表

60 阅读2分钟

持续创作,加速成长!这是我参与「掘金日新计划 · 10 月更文挑战」的第5天,点击查看活动详情

一、题目描述:

160. 相交链表 - 力扣(LeetCode) (leetcode-cn.com)

给你两个单链表的头节点 headAheadB ,请你找出并返回两个单链表相交的起始节点。如果两个链表不存在相交节点,返回 null

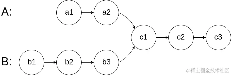
图示两个链表在节点 c1 开始相交:

image.png 题目数据 保证 整个链式结构中不存在环。

注意,函数返回结果后,链表必须 保持其原始结构

自定义评测:

评测系统 的输入如下(你设计的程序 不适用 此输入):

  • intersectVal - 相交的起始节点的值。如果不存在相交节点,这一值为 0
  • listA - 第一个链表
  • listB - 第二个链表
  • skipA - 在 listA 中(从头节点开始)跳到交叉节点的节点数
  • skipB - 在 listB 中(从头节点开始)跳到交叉节点的节点数

评测系统将根据这些输入创建链式数据结构,并将两个头节点 headA 和 headB 传递给你的程序。如果程序能够正确返回相交节点,那么你的解决方案将被 视作正确答案

 

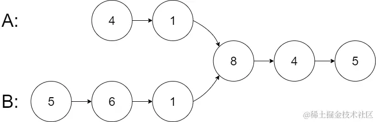
示例 1:

image.png

输入:intersectVal = 8, listA = [4,1,8,4,5], listB = [5,6,1,8,4,5], skipA = 2, skipB = 3
输出:Intersected at '8'
解释:相交节点的值为 8 (注意,如果两个链表相交则不能为 0)。
从各自的表头开始算起,链表 A[4,1,8,4,5],链表 B[5,6,1,8,4,5]。
在 A 中,相交节点前有 2 个节点;在 B 中,相交节点前有 3 个节点。

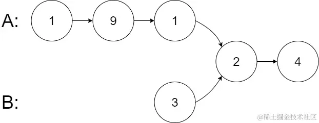
示例 2:

image.png

输入:intersectVal = 2, listA = [1,9,1,2,4], listB = [3,2,4], skipA = 3, skipB = 1
输出:Intersected at '2'
解释:相交节点的值为 2 (注意,如果两个链表相交则不能为 0)。
从各自的表头开始算起,链表 A[1,9,1,2,4],链表 B[3,2,4]。
在 A 中,相交节点前有 3 个节点;在 B 中,相交节点前有 1 个节点。

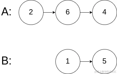
示例 3:

image.png

输入:intersectVal = 0, listA = [2,6,4], listB = [1,5], skipA = 3, skipB = 2
输出:null
解释:从各自的表头开始算起,链表 A[2,6,4],链表 B[1,5]。
由于这两个链表不相交,所以 intersectVal 必须为 0,而 skipA 和 skipB 可以是任意值。
这两个链表不相交,因此返回 null 。

提示:

  • listA 中节点数目为 m
  • listB 中节点数目为 n
  • 1 <= m, n <= 3 * 104
  • 1 <= Node.val <= 105
  • 0 <= skipA <= m
  • 0 <= skipB <= n
  • 如果 listA 和 listB 没有交点,intersectVal 为 0
  • 如果 listA 和 listB 有交点,intersectVal == listA[skipA] == listB[skipB]   进阶: 你能否设计一个时间复杂度 O(m + n) 、仅用 O(1) 内存的解决方案?

二、思路分析:

  1. 首先判断是否链表头是否为空,为空则return nullptr;
  2. 要找到交点,可以想到的信息是:1.交点到链表尾的各个节点是相等的;2.交点之前的两条分支链表各个节点都是不相等的;
  3. 根据2,两个链表第一个相同的节点就是交点,由于两个链表不等长,因此先求出各自长度及长度差,然后保证两个链表开始移动的
    节点相对于交点的长度相等,这样以相同速度移动,就能在交点交汇。

三、AC 代码:

/**
 * Definition for singly-linked list.
 * struct ListNode {
 *     int val;
 *     ListNode *next;
 *     ListNode(int x) : val(x), next(NULL) {}
 * };
 */
class Solution {
public:
    ListNode *getIntersectionNode(ListNode *headA, ListNode *headB) {
        if(headA==nullptr||headB==nullptr){
            return nullptr;
        }

        int lenA=0,lenB=0;
        ListNode *curA=headA;
        ListNode *curB=headB;
        while(curA!=nullptr){
            lenA++;
            curA=curA->next;
        }
        while(curB!=nullptr){
            lenB++;
            curB=curB->next;
        }
        curA=headA;
        curB=headB;

        if(lenA<=lenB){
            int diff=lenB-lenA;
            while(diff){
                curB=curB->next;
                diff--;
            }
            while(curA!=nullptr){
                if(curA==curB){
                    return curA;
                }
                curA=curA->next;
                curB=curB->next;
            }
        }
        else{
            int diff=lenA-lenB;
            while(diff){
                curA=curA->next;
                diff--;
            }
            while(curB!=nullptr){
                if(curB==curA){
                    return curB;
                }
                curA=curA->next;
                curB=curB->next;
            }   
        }
        return nullptr;
    }
};