LeetCode - #206 反转链表(Top 100)

156 阅读2分钟

持续创作,加速成长!这是我参与「掘金日新计划 · 10 月更文挑战」的第8天,点击查看活动详情

前言

本题为 LeetCode 前 100 高频题

我们社区陆续会将顾毅(Netflix 增长黑客,《iOS 面试之道》作者,ACE 职业健身教练。)的 Swift 算法题题解整理为文字版以方便大家学习与阅读。

LeetCode 算法到目前我们已经更新到 205 期,我们会保持更新时间和进度(周一、周三、周五早上 9:00 发布),每期的内容不多,我们希望大家可以在上班路上阅读,长久积累会有很大提升。

不积跬步,无以至千里;不积小流,无以成江海,Swift社区 伴你前行。如果大家有建议和意见欢迎在文末留言,我们会尽力满足大家的需求。

难度水平:简单

1. 描述

给你单链表的头节点 head ,请你反转链表,并返回反转后的链表。

2. 示例

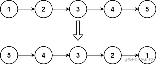
示例 1

输入:head = [1,2,3,4,5]
输出:[5,4,3,2,1]

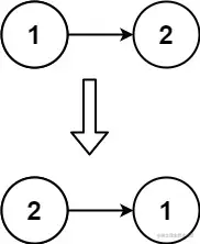
示例 2

输入:head = [1,2]
输出:[2,1]

示例 3

输入:head = []
输出:[]

提示:

  • 链表中节点的数目范围是 [0, 5000]
  • -5000 <= Node.val <= 5000

3. 答案

/**
 *
 * Definition for singly-linked list.
 * public class ListNode {
 *     public var val: Int
 *     public var next: ListNode?
 *     public init(_ val: Int) {
 *         self.val = val
 *         self.next = nil
 *     }
 * }
 */

class ReverseLinkedList {
    func reverseList(head: ListNode?) -> ListNode? {
        var temp: ListNode?
        var first = head
        
        while first != nil {
            let second = first!.next
            
            first!.next = temp
            
            temp = first
            first = second
        }
        
        return temp
    }

    func reverseList(_ head: ListNode?) -> ListNode? {
        guard let h = head, let next = h.next else {
            return head
        }
  
        let node = reverseList(next)
  
        next.next = h
        h.next = nil
  
        return node
    }
}
  • 主要思想:使用两个辅助节点,遍历 linkedlist 并每次改变点的方向。
  • 时间复杂度: O(n)
  • 空间复杂度: O(1)

该算法题解的仓库:LeetCode-Swift

点击前往 LeetCode 练习

关于我们

我们是由 Swift 爱好者共同维护,我们会分享以 Swift 实战、SwiftUI、Swift 基础为核心的技术内容,也整理收集优秀的学习资料。