持续创作,加速成长!这是我参与「掘金日新计划 · 10 月更文挑战」的第7天,点击查看活动详情 >
个人主页:CSDN清风莫追
系列专栏:牛客刷题——数据结构与算法
推荐一款面试、刷题神器牛客网:👉点击加入刷题大军👈
1.题目描述
描述
给定一棵二叉树,判断其是否是自身的镜像(即:是否对称)
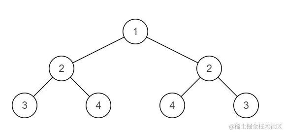
例如:
下面这棵二叉树是对称的
下面这棵二叉树不对称。
数据范围:节点数满足 ,节点上的值满足 要求:空间复杂度 O(n)O(n),时间复杂度 O(n)O(n) 备注:你可以用递归和迭代两种方法解决这个问题
2.算法设计思路
我采用的递归方法。
对称的二叉树将具有一个特性:
- 根->左->右 和 根->右->左 的遍历方法,将得到相同的遍历序列。
而不对称的二叉树则不具有这样的特性(设遍历序列包含空的结点)。
算法过程:
- 采用 根->左->右 和 根->右->左 的顺序分别遍历二叉树,同时存下各自的遍历序列
- 逐个元素比较得到的两个序列
- 若序列相同,返回 true;否则返回 false
例如:
对于二叉树
根->左->右 顺序遍历: 根->右->左 顺序遍历:
3.算法实现
注:这里并不是完整代码,而只是核心代码的模式
/*
struct TreeNode {
int val;
struct TreeNode *left;
struct TreeNode *right;
TreeNode(int x) :
val(x), left(NULL), right(NULL) {
}
};
*/
const int BIG_NUM = 6666;//空结点处的填充值
class Solution {
public:
//遍历二叉树,同时将遍历结果存入数组 a
//i:迭代数组a的下标,flag:决定遍历的顺序(从左到右、从右到左)
void scan(TreeNode* root, int & i, int a[], bool flag){
if(root ** NULL) {
a[i++] = BIG_NUM;
return;
}
a[i++] = root->val;
if(flag){
scan(root->left, i, a, flag);
scan(root->right, i, a, flag);
}
else{
scan(root->right, i, a, flag);
scan(root->left, i, a, flag);
}
return;
}
//判断传入的二叉树是否为自身的镜像
bool isSymmetrical(TreeNode* pRoot) {
int LR[2005] = {};//存放从左到右遍历,得到的序列
int RL[2005] = {};//存放从右到左遍历,得到的序列
int it_lr = 0;//对应的数组下标
int it_rl = 0;
scan(pRoot, it_lr, LR, true);
scan(pRoot, it_rl, RL, false);
for(int i = 0; i < it_lr; i++){
if(LR[i] != RL[i]){
return false;
}
}
return true;
}
};
4.运行结果
成功通过!
结束语:
今天的分享就到这里啦,快来加入刷题大军叭! 👉点击开始刷题学习👈
感谢阅读
个人主页:CSDN清风莫追