LeetCode —— 206. 反转链表(Go语言实现)

197 阅读2分钟

持续创作,加速成长!这是我参与「掘金日新计划 · 10 月更文挑战」的第4天,点击查看活动详情

LeetCode —— 206. 反转链表

一、题目描述:

给你单链表的头节点 head ,请你反转链表,并返回反转后的链表。

示例 1:

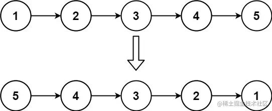
image-20221002094126250

输入:head = [1,2,3,4,5] 输出:[5,4,3,2,1] 示例 2:

image-20221002094144940

输入:head = [1,2] 输出:[2,1] 示例 3:

输入:head = [] 输出:[]

提示:

链表中节点的数目范围是 [0, 5000] -5000 <= Node.val <= 5000

进阶:链表可以选用迭代或递归方式完成反转。你能否用两种方法解决这道题?

来源:力扣(LeetCode) 链接:leetcode.cn/problems/re… 著作权归领扣网络所有。商业转载请联系官方授权,非商业转载请注明出处。

二、思路分析:

  1. 这道题考察了什么思想?你的思路是什么?

    我的第一思路很简单,从链表头开始,把第一节点和第二节点倒转,然后保留第二节点的位置,继续将第二节点和第三节点进行倒转,直到最后一个节点完成倒转,然后返回链表头即可。

  2. 做题的时候是不是一次通过的,遇到了什么问题,需要注意什么细节?

    但是我的思路存在问题,就是我的原头节点还是指向第二个节点,这就导致节点遍历时会陷入无尽的深渊,直到永远。。。

    于是经过思考,我们需要保留前置节点,而初始前置节点为nil,这就导致原头节点会指向为nil的前置节点,这样最终也不会出现死循环。

    需要注意反转操作过程中不能丢失节点数据!

  3. 有几种解法,哪种解法时间复杂度最低,哪种解法空间复杂度最低,最优解法是什么?其他人的题解是什么,谁的效率更好一些?用不同语言实现的话,哪个语言速度最快?

    image-20221002104929549

    func reverseList(head *ListNode) *ListNode {
        if head == nil || head.Next == nil {
            return head
        }
        newHead := reverseList(head.Next)
        head.Next.Next = head
        head.Next = nil
        return newHead
    }
    ​
    作者:LeetCode-Solution
    链接:https://leetcode.cn/problems/reverse-linked-list/solution/fan-zhuan-lian-biao-by-leetcode-solution-d1k2/
    来源:力扣(LeetCode)
    著作权归作者所有。商业转载请联系作者获得授权,非商业转载请注明出处。
    

三、AC 代码:

/**
 * Definition for singly-linked list.
 * type ListNode struct {
 *     Val int
 *     Next *ListNode
 * }
 */
func reverseList(head *ListNode) *ListNode {
    var prev *ListNode
    curr := head
​
    for curr != nil {
        next := curr.Next
        curr.Next = prev
        prev = curr
        curr = next
    }
    return prev
}
​

image-20221002104948580

image-20221002105005194

四、总结:

迭代方法时间复杂度为O(n),空间复杂度为O(1),而递归方法空间复杂度和时间复杂度都为o(n)。

模板来源:

作者:掘金酱

链接:juejin.cn/post/706970…

来源:稀土掘金

著作权归作者所有。商业转载请联系作者获得授权,非商业转载请注明出处。