1 数据结构 绪论(时间空间复杂度)

290 阅读8分钟

考纲要求 💕

(一)绪论:

1.熟悉各名词、术语的含义,掌握基本概念,特别是数据的逻辑结构和存储结构之间的关系;

2.了解抽象数据类型的定义、表示和实现方法;

3.熟悉类C语言的书写规范,特别要注意值调用和引用调用的区别,输入、输出的方式以及错误处理方式;

4.理解算法五个要素的确切含义;

5.掌握计算语句频度和估算算法时间复杂度的方法。

第一章的主要是理论知识,但是也要基本了解,时间空间复杂度可能会出计算题

1 术语(逻辑结构&存储结构)

如下面思维导图:

image.png


1.1 数据结构的形式定义(语法格式)✨

image.png


1.2 数据类型 (抽象数据类型)

\color{#4285f4}{数}\color{#ea4335}{据}\color{#fbbc05}{类}\color{#4285f4}{}\color{#34a853}{}\color{#ea4335}{型}:是一个值的集合和定义在此集合上的一组操作的总称

  • 原子类型\color{blue}{原子类型}:其值不可再分的数据类型
  • 结构类型\color{blue}{结构类型}:其值可以再分解为若干分量的数据类型
  • 抽象数据类型\color{blue}{抽象数据类型} :↓ 1.2.1

比如C++中的bool类型就是原子类型,其值为truefalse,所对应的操作可以有与、或、非等

比如C语言中的结构体struct是一种结构类型

struct Coordinate
{
	int x;//横坐标
	int y://纵坐标
}

其值可以再分,比如这个分为x和y 子量, 所对应的操作可以有赋值等

❗1.2.1 抽象数据类型 (ADT) ❤️✨💕

抽象数据类型\color{red}{抽象数据类型}: 是指具有一定关系的数据对象集\color{#03c5fc}{数据对象集}以及定义在该集合上的一组操作\color{#03c5fc}{一组操作}

作用:抽象数据类型可以使我们更容易描述现实世界。例:用线性表描述学生成绩表,用树或图描述遗传关系。

定义:一个数学模型以及定义在该模型上的一组操作。

关键:使用它的人可以只关心它的逻辑特征,不需要了解它的存储方式。定义它的人同样不必要关心它如何存储。

ADT的表示和实现💘🆚💬

ADT的表示格式不统一,我们采用下面的格式 :

ADT抽象数据类型名 {

数据对象:<数据对象的定义>

数据关系:<数据关系的定义>

基本操作:<基本操作的定义>

image.png

比如下面例子:

数据元素D,数据关系S ,最后P是下面的基本操作

image.png

有点类似抽象类,就是存储函数,这个也是数据结构+操作集


1.3 数据结构的三要素(逻辑、存储、运算)✨💕

image.png


❗ 1.3.1 逻辑结构


image.png


逻辑结构:\color{green}{逻辑结构:}是指数据元素之间的逻辑关系。

结构图:✨

image.png


逻辑结构的四大分类:✨

image.png


❗ 1.3.2 存储结构


image.png


逻辑结构 相当于“纸上谈兵”——是指“这个数据应该这样存,他们之间应该具有这样、那样的关系”,但是计算机可不管这么多,因为它就那么一个硬盘,还能玩出什么花样?

物理结构(存储结构)\color{blue}{物理结构(存储结构)}:是指数据的逻辑结构在计算机中的存储形式

数据的存储结构应该正确的反映数据元素之间的逻辑关系,这是实现物理结构的重点和难点。

主要分为:顺序存储和链式存储\color{#10c6f0}{顺序存储和链式存储}

  • 比如完全二叉树,它逻辑结构上很明显是树,但是在存储上可以用顺序存储(数组)也可以用链式存储(链表)

顺序存储结构 ( ..数组)

顺序存储结构\color{#f82024}{顺序存储结构}:把逻辑上相邻\color{green}{逻辑上相邻}的元素存储在物理位置也相邻的存储单元\color{blue}{物理位置也相邻的存储单元}中。元素之间的关系由存储单元的邻接关系体现

image.png

  • 你可以这样理解,排队坐位置,规定好了A后面是B,那么B在坐的时候一定要坐到与A相邻的位置

  • 最典型的就是数组

链式存储结构 (...链表)

链式存储结构\color{#1d31fc}{链式存储结构}要求逻辑上相邻\color{green}{逻辑上相邻}的元素存储在物理位置也相邻的存储单元\color{orange}{物理位置也相邻的存储单元}中。元素之间的关系借助指示元素存储地址的指针来表示

image.png

  • 上例中这些元素逻辑上相邻,但所存放的存储单元并不是连续的(地址不一定连续)

索引存储结构

索引存储结构\color{#1d31fc}{索引存储结构}:在存储元素信息的同时,还建立附加的索引表。索引表中的每项称之为索引项,索引项一般形式是关键字+地址

image.png

散列存储结构

散列存储结构\color{#1d31fc}{散列存储结构}:根据元素的关键字直接计算\color{#1d31fc}{直接计算}出该元素的地址。计算依靠的方式称之为哈希函数

详细介绍见后面的散列表

总结:

image.png

  1. 若采用顺序存储,则各个数据元素在物理上必须是连续的;若采用非顺序存储,则各个数据元素在物理上可以是离散的
  2. 数据的存储结构会影响存储空间分配的方便程度
  3. 数据的存储结构会影响对数据运算的速度

1.3.3 数据运算


image.png


数据运算\color{orange}{数据运算}:施加在数据上的元素包括运算的定义和实现

  • 运算的定义\color{red}{定义}是针对逻辑结构的,指出运算的功能
  • 运算的实现\color{green}{实现}是针对存储结构\color{green}{存储结构}的,指出运算的具体步骤\color{green}{具体步骤}

比如说:把信息插入线性表中

image.png

都是大佬啊

image.png

2. 时间空间复杂度(算法)


image.png


2.1 算法基本概念和评价

关于算法的基本概念和评价见: 算法的基本概念、算法的特性及设计要求

算法基本概念:

❗❗ 2.2 时间空间复杂度✨

2.2.1❗❗时间复杂度✨✨

时间复杂度指算法中所有语句的频度(执行次数)之和。

主要根据问题规模n确定、公式是

T(n)=O(f(n)) T(n)=O(f(n))

比如下面这个过程!

image-20220121173831256.png

就是一个求出时间复杂度的过程,时间复杂度是T(n)=O(n);
方法就是取最大项\color{green}{方法就是取最大项}

推导出大O的方法:

B:推导大O阶的方法

推导基本方法如下

  1. 用常数1取代运行时间中的所有加法常数\color{blue}{加法常数}·

  2. 在修改后的运行次数函数中,只保留最高项数\color{blue}{最高项数}

  3. 如果最高项存在且不为1,则去除与这个项相乘的常数\color{blue}{去除与这个项相乘的常数}

图片.png

也可以用数学公式来解释:(利用除法求无穷极限)

image-20220121174529779.png

image-20220121174610077.png

下面依次分析:

1. 常数阶 O(1)

高斯算法

//普通人
int i,sum=0,n=100; //执行1次
for(i=1;i<=n;i++)//执行n+1次
{
	sum=sum+i;//执行n次
}
cout << sum;//执行1次

//大神高斯
int sum=0,n=100;//执行1次
sum=(1+n)*n/2;//执行1次
cout << sum//执行1次

高斯算法,很明显复杂度为O(1)

但是如果这样:

int sum=0,n=100;//执行1次
sum=(1+n)*n/2;//执行1次
sum=(1+n)*n/2;//执行2次
sum=(1+n)*n/2;//执行3次
sum=(1+n)*n/2;//执行4次
sum=(1+n)*n/2;//执行5次
sum=(1+n)*n/2;//执行6次
sum=(1+n)*n/2;//执行7次
sum=(1+n)*n/2;//执行8次
sum=(1+n)*n/2;//执行9次
sum=(1+n)*n/2;//执行10次

cout << sum//执行1次

初学者很容易被其中置入的这些代码误导

事实上,无论n为多少;两段代码就是312的区别,仍然属于常数阶\color{red}{事实上,无论n为多少;两段代码就是3和12的区别,仍然属于常数阶}也就是O(1)同时对于分支结构,无论是真是假,执行的次数都是恒定的\color{red}{也就是O(1)同时对于分支结构,无论是真是假,执行的次数都是恒定的}所以单纯的分支结构〈不包含在循环中),其时间复杂度也是O(1)\color{red}{所以单纯的分支结构〈不包含在循环中),其时间复杂度也是O(1)}

2.线性阶

如下代码由于循环体中的代码执行n次,因此其时间复杂度为O(n)

int i
for(i=0;i<n;i++)
{
	//时间复杂度为O(1)的程序步骤序列
}

就是在循环中,看循环多少

3.对数阶

如下代码,由于循环中count乘以2之后,距离循环结束条件的n就更近了一步

int count = 1;
while(count < n)
{  
 
   count = count*2;
   //时间复杂度O(1)的程序步骤序列
   ......
}

也就是说现在在问你: 有多少个count*2后会大于n,那么自然得到答案是 log2nlog_2{n},所以时间复杂度是O(log2nlog_2{n}

过程如下: 图片.png

4. 平方阶

如下例子,存在两个for循环,很明显其时间复杂度为O(mn),且当m=n时,时间复杂度为O(n^2),所以,循环的时间复杂度等于循环体的复杂度乘以该循环运行的次数。\color{red}{循环的时间复杂度等于循环体的复杂度乘以该循环运行的次数。}

int i,j;
for(i =0;i<m;i++)
{
	for(j=0;j<n;j++)
	{
		//时间复杂度为O(1)的程序步骤序列	
	}
}

等于循环嵌套时候要注意下!


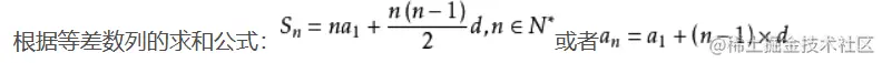
下面的这个例子呢? 当i=1的时候执行n次,当n=2的时候执行(n-1)次,........... 明显这是一个等差数列,n+(n-1)+(n-2)+...+1

图片.png

求和易得:n+n*(n-1)/2
整理一下就是n*(n+1)/2
然后我们将其展开可以得到n^2/2+n/2。
根据我们的步骤走,保留最高次项,去掉相乘的常数就可以得到时间复杂度为:O(n^2)

public class TS {
	public static void main(String[] args) {
		int sum = 0;
		for(int i=1;i<=100;i++) {
			for(int j=i;j<=100;j++)
				sum = sum + i;
		}
	}
}

另外还有一种情况较为常见,那就是对于递归,\color{red}{递归,}递归算法其时间复杂度为:递归次数每次递归的次数。\color{red}{递归次数*每次递归的次数。}

下面例子时间复杂度为O(n)

// 计算阶乘递归Factorial的时间复杂度?
long long Factorial(size_t N)
{
	return N < 2 ? N : Factorial(N-1)*N;
}

就是自己调用自己,这里按照公式来写:

每次n1\color{RED}{n-1},递归了n次时间复杂度是o(n)\color{RED}{o(n)},每次进行了一个乘法操作,乘法操作的时间复杂度一个常数项o(1)\color{RED}{o(1)},所以这份代码的时间复杂度是O(n)×O(1)=O(n)\color{RED}{O(n)× O(1) = O(n)。}

如果感兴趣的话可以读读这篇文章比较深入:# 递归算法的时间复杂度(面试)


5.线性对数阶O(nlogN)

for (int m = 1; m <= n; m++) { 
int i = 1; 
while (i < n) 
 i = i * 2;  
}

下面那段就是对数阶O(logn)的代码,上面加了个for循环了n次,它的时间复杂度就是 n * O(logn),也就是了O(nlogn),归并排序的复杂度就是O(nlogn)。


2.2.2 ❗❗最坏\最好\平均时间复杂度✨✨

大家会发现代码过程(例如查找)中有这样几种情形:

  • 最好时间复杂度:第—次就找到了,时间复杂度为O(1)
  • 最坏时间复杂度,第n次才能找到,时间复杂度为O(n)
 for (int i=0; i < n; ++i) {
    if (girlArray[i] == number) {
      pos = i;
      break;
    }

其实最好与最坏都是极端情况,发生的概率并不大。为了能更好的的表示平均情况下的时间复杂度,在这里引入了一个新的词汇平均情况时间复杂度\color{red}{*平均情况时间复杂度*}

分析:

变量 number 在 girlArray 数组中出现的情况有 n + 1 种,在数组中 n 种,不在数组中 1 种。

每种情况我们要遍历的次数都不一样,我们把每种情况需要遍历的次数累加,然后再除以所有情况数 n + 1,就能得到需要遍历次数的平均值。

公式就是: 平均情况时间复杂度=每种情况遍历次数累加和/所有情况数量\color{red}{*平均情况时间复杂度 = 每种情况遍历次数累加和 / 所有情况数量*}

平均情况时间复杂度为:
((1+2+3+......+n-1) + n) / (n + 1) = n*(n+1)/2(n+1)

O(n)

而我们在描述算法的复杂度给出的是最坏情况\color{orange}{描述算法的复杂度给出的是最坏情况},因为这已经是最坏的了,那么剩余的情况肯定就这个好

所以时间空间复杂度其实考虑的是最差的情况


2.2.3 ✨ 空间复杂度

算法的空间复杂度定义为: s(n)=o(g(n))\color{green}{s (n) =o (g (n) )}

表示随着问题规模n的增大,算法运行所需存储量的增长率与g (n)的增长率相同。

其中,n为问题的规模,g(n)为语句关于n所占存储空间的函数

算法的存储量包括\color{purple}{算法的存储量包括}

  1. 输入数据所占空间。
  2. 程序本身所占空间。
  3. 辅助变量所占空间。

若算法执行时所需要的辅助空间相对于输入数据量而言是一个常数,则称此算法为原地工作,其空间复杂度为O(1)

若所需存储量依赖于特定的输入,则通常按最坏情况考虑。

变量—O(1)

// 计算BubbleSort的空间复杂度?
void BubbleSort(int* a, int n)
{
	assert(a);
	for (size_t end = n; end > 0; --end)
	 { 
		int exchange = 0;
		for (size_t i = 1; i < end; ++i)
		 {
			if (a[i-1] > a[i])
		    {
  				Swap(&a[i-1], &a[i]);
	        	exchange = 1;
	 	    }
		 }
	if (exchange == 0)	 
		break;
	 }
}

共定义了 *a n end end i 五个变量,去除常数 还是O(1)

数组—O(n)

#O(n)
list1 = 'physics', 'chemistry  , 1997,2000

申请了一个数组,O(N)

long long* Fibonacci(size_t n)
{
	if (n == 0)
		return NULL;
	long long * fibArray =
		(long long *)malloc((n + 1) * sizeof(long long));
	fibArray[0] = 0;
	fibArray[1] = 1;
        for (int i = 2; i <= n; ++i)
	{
		fibArray[i] = fibArray[i - 1] + fibArray[i - 2];
	}
	return fibArray;
}

波那契数列开辟了N+1个空间,故空间复杂度为O(N)

二维数组 0(n^2)

图片.png

递归

// 计算阶乘递归Factorial的空间复杂度?
long long Factorial(size_t N)
{

	return N < 2 ? N : Factorial(N - 1)*N;
}

递归调用了n次,Factorial(N - 1)*N;
每次开辟一个空间给下一个Factorial用, 开辟了N个栈帧,每个栈帧使用了常数个空间。空间复杂度为O(N)

🌝🌝🌝🌝🌝🌝🌝🌝🌝🌝🌝🌝🌝🌝🌝🌝🌝🌝🌝🌝🌝🌝🌝🌝🌝🌝🌝🌝🌝🌝🌝🌝

祝大家学习快乐,总结.....


参考: