LeetCode - #203 移除链表元素

87 阅读2分钟

持续创作,加速成长!这是我参与「掘金日新计划 · 10 月更文挑战」的第4天,点击查看活动详情

前言

我们社区陆续会将顾毅(Netflix 增长黑客,《iOS 面试之道》作者,ACE 职业健身教练。)的 Swift 算法题题解整理为文字版以方便大家学习与阅读。

LeetCode 算法到目前我们已经更新到 202 期,我们会保持更新时间和进度(周一、周三、周五早上 9:00 发布),每期的内容不多,我们希望大家可以在上班路上阅读,长久积累会有很大提升。

不积跬步,无以至千里;不积小流,无以成江海,Swift社区 伴你前行。如果大家有建议和意见欢迎在文末留言,我们会尽力满足大家的需求。

难度水平:简单

1. 描述

给你一个链表的头节点 head 和一个整数 val ,请你删除链表中所有满足 Node.val == val 的节点,并返回 新的头节点

2. 示例

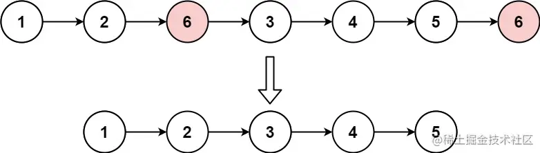
示例 1

输入:head = [1,2,6,3,4,5,6], val = 6
输出:[1,2,3,4,5]

示例 2

输入:head = [], val = 1
输出:[]

示例 3

输入:head = [7,7,7,7], val = 7
输出:[]

提示:

  • 列表中的节点数目在范围 [0, 10^4]
  • 1 <= Node.val <= 50
  • 0 <= val <= 50

3. 答案

/**
 *
 * Definition for singly-linked list.
 * public class ListNode {
 *     public var val: Int
 *     public var next: ListNode?
 *     public init(_ val: Int) {
 *         self.val = val
 *         self.next = nil
 *     }
 * }
 */

class RemoveLinkedListElements {
    func removeElements(_ head: ListNode?, _ val: Int) -> ListNode? {
        let dummy = ListNode(0)
        dummy.next = head
        var node = dummy
        
        while node.next != nil {
            if node.next!.val == val {
                node.next = node.next!.next
            } else {
                node = node.next!
            }
        }
        
        return dummy.next
    }
}
  • 主要思想:迭代列表,将 next 替换为 next.next,跳过 val
  • 时间复杂度: O(n)
  • 空间复杂度: O(1)

该算法题解的仓库:LeetCode-Swift

点击前往 LeetCode 练习

关于我们

我们是由 Swift 爱好者共同维护,我们会分享以 Swift 实战、SwiftUI、Swift 基础为核心的技术内容,也整理收集优秀的学习资料。