【算法题解】 Day3 链表

5,029 阅读5分钟

持续创作,加速成长!这是我参与「掘金日新计划 · 10 月更文挑战」的第3天,点击查看活动详情

⭐ 算法题解系列文章旨在精选重点与易错的算法题,总结常见的算法思路与可能出现的错误,以实战习题的形式理解算法,使用算法。

🔥 本文已收录于算法刷题系列专栏: 算法题解 欢迎订阅,持续更新。

🎉 欢迎关注👀 点赞👍 收藏⭐ 留言📝

💬 代码成就万世基,积沙镇海;梦想永在凌云意,意气风发; 𝓼𝓲𝓭𝓲𝓸𝓽

 

每日一题

题目

1694. 重新格式化电话号码 难度:easy

给你一个字符串形式的电话号码 numbernumber 由数字、空格 ' '、和破折号 '-' 组成。

请你按下述方式重新格式化电话号码。

  • 首先,删除 所有的空格和破折号。
  • 其次,将数组从左到右 每 3 个一组 分块,直到 剩下 4 个或更少数字。剩下的数字将按下述规定再分块:
    • 2 个数字:单个含 2 个数字的块。
    • 3 个数字:单个含 3 个数字的块。
    • 4 个数字:两个分别含 2 个数字的块。

最后用破折号将这些块连接起来。注意,重新格式化过程中 不应该 生成仅含 1 个数字的块,并且 最多 生成两个含 2 个数字的块。

返回格式化后的电话号码。

 

示例 1:

输入:number = "1-23-45 6"
输出:"123-456"
解释:数字是 "123456"
步骤 1:共有超过 4 个数字,所以先取 3 个数字分为一组。第 1 个块是 "123" 。
步骤 2:剩下 3 个数字,将它们放入单个含 3 个数字的块。第 2 个块是 "456" 。
连接这些块后得到 "123-456"

示例 2:

输入:number = "123 4-567"
输出:"123-45-67"
解释:数字是 "1234567".
步骤 1:共有超过 4 个数字,所以先取 3 个数字分为一组。第 1 个块是 "123" 。
步骤 2:剩下 4 个数字,所以将它们分成两个含 2 个数字的块。这 2 块分别是 "45""67" 。
连接这些块后得到 "123-45-67"

示例 3:

输入:number = "123 4-5678"
输出:"123-456-78"
解释:数字是 "12345678" 。
步骤 1:第 1 个块 "123" 。
步骤 2:第 2 个块 "456" 。
步骤 3:剩下 2 个数字,将它们放入单个含 2 个数字的块。第 3 个块是 "78" 。
连接这些块后得到 "123-456-78"

示例 4:

输入:number = "12"
输出:"12"

示例 5:

输入:number = "--17-5 229 35-39475 "
输出:"175-229-353-94-75"

提示:

  • 2 <= number.length <= 100
  • number 由数字和字符 '-'' ' 组成。
  • number 中至少含 2 个数字。  

方法一:模拟

思路

根据题意,我们需要把给定字符串中的数字全部提取出来,然后再重新进行分块;

因此在遍历的过程中,我们可以存储剩余的数字数量 n 以及当前遍历到的字符位置 pt

并且对于最后剩余的数字,也要按照一定的要求格式化:

  • 当 n > 4 时,我们取出三个连续的字符,作为一个块;
  • 当 n \leq 4 时,我们根据题目的要求,将剩余的 n 个字符进行分块,并结束遍历。

所以通过模拟这个过程即可;  

解题

Python:

class Solution:
    def reformatNumber(self, number: str) -> str:
        digits = list()
        for ch in number:
            if ch.isdigit():
                digits.append(ch)
        
        n, pt = len(digits), 0
        ans = list()

        while n > 0:
            if n > 4:
                ans.append("".join(digits[pt:pt+3]))
                pt += 3
                n -= 3
            else:
                if n == 4:
                    ans.append("".join(digits[pt:pt+2]))
                    ans.append("".join(digits[pt+2:pt+4]))
                else:
                    ans.append("".join(digits[pt:pt+n]))
                break
        
        return "-".join(ans)

Java:

class Solution {
    public String reformatNumber(String number) {
        StringBuilder digits = new StringBuilder();
        for (char ch : number.toCharArray()) {
            if (Character.isDigit(ch)) {
                digits.append(ch);
            }
        }
        
        int n = digits.length();
        int pt = 0;
        StringBuilder ans = new StringBuilder();
        while (n > 0) {
            if (n > 4) {
                ans.append(digits.substring(pt, pt + 3) + "-");
                pt += 3;
                n -= 3;
            } else {
                if (n == 4) {
                    ans.append(digits.substring(pt, pt + 2) + "-" + digits.substring(pt + 2, pt + 4));
                } else {
                    ans.append(digits.substring(pt, pt + n));
                }
                break;
            }
        }
        return ans.toString();
    }
}

 

21. 合并两个有序链表

题目

21. 合并两个有序链表 难度:easy

将两个升序链表合并为一个新的 升序 链表并返回。新链表是通过拼接给定的两个链表的所有节点组成的。 

image.png

示例 1:

输入:l1 = [1,2,4], l2 = [1,3,4]
输出:[1,1,2,3,4,4]

示例 2:

输入:l1 = [], l2 = []
输出:[]

示例 3:

输入:l1 = [], l2 = [0]
输出:[0]

提示:

  • 两个链表的节点数目范围是 [0, 50]
  • -100 <= Node.val <= 100
  • l1 和 l2 均按 非递减顺序 排列  

方法一:递归

思路

根据题意,给出了两个链表,需要将这俩链表合成一个按升序排列的链表,那么可以递归地定义两个链表里的 merge 操作:

image.png

也就是说,两个链表头部值较小的一个节点与剩下元素的 merge 操作结果合并。

如果 l1 或者 l2 一开始就是空链表 ,那么没有任何操作需要合并,所以我们只需要返回非空链表。否则,我们要判断 l1l2 哪一个链表的头节点的值更小,然后递归地决定下一个添加到结果里的节点。如果两个链表有一个为空,递归结束。

 

解题

Python:

class Solution:
    def mergeTwoLists(self, l1: ListNode, l2: ListNode) -> ListNode:
        if l1 is None:
            return l2
        elif l2 is None:
            return l1
        elif l1.val < l2.val:
            l1.next = self.mergeTwoLists(l1.next, l2)
            return l1
        else:
            l2.next = self.mergeTwoLists(l1, l2.next)
            return l2

Java:

class Solution {
    public ListNode mergeTwoLists(ListNode l1, ListNode l2) {
        if (l1 == null) {
            return l2;
        } else if (l2 == null) {
            return l1;
        } else if (l1.val < l2.val) {
            l1.next = mergeTwoLists(l1.next, l2);
            return l1;
        } else {
            l2.next = mergeTwoLists(l1, l2.next);
            return l2;
        }
    }
}

 

方法二:迭代

思路

我们也可以用迭代的方法来实现上述算法。当 l1l2 都不是空链表时,判断 l1l2 哪一个链表的头节点的值更小,将较小值的节点添加到结果里,当一个节点被添加到结果里之后,将对应链表中的节点向后移一位。

解题

Python:

class Solution:
    def mergeTwoLists(self, l1: ListNode, l2: ListNode) -> ListNode:
        prehead = ListNode(-1)

        prev = prehead
        while l1 and l2:
            if l1.val <= l2.val:
                prev.next = l1
                l1 = l1.next
            else:
                prev.next = l2
                l2 = l2.next            
            prev = prev.next

        # 合并后 l1 和 l2 最多只有一个还未被合并完,我们直接将链表末尾指向未合并完的链表即可
        prev.next = l1 if l1 is not None else l2

        return prehead.next

Java:

class Solution {
    public ListNode mergeTwoLists(ListNode l1, ListNode l2) {
        ListNode prehead = new ListNode(-1);

        ListNode prev = prehead;
        while (l1 != null && l2 != null) {
            if (l1.val <= l2.val) {
                prev.next = l1;
                l1 = l1.next;
            } else {
                prev.next = l2;
                l2 = l2.next;
            }
            prev = prev.next;
        }

        // 合并后 l1 和 l2 最多只有一个还未被合并完,我们直接将链表末尾指向未合并完的链表即可
        prev.next = l1 == null ? l2 : l1;

        return prehead.next;
    }
}

 

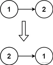
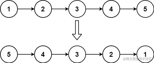
206. 反转链表

题目

206. 反转链表 难度:easy

给你单链表的头节点 head ,请你反转链表,并返回反转后的链表。

示例 1:

输入: head = [1,2,3,4,5]
输出: [5,4,3,2,1]

示例 2:

输入: head = [1,2]
输出: [2,1]

示例 3:

输入: head = []
输出: []

提示:

  • 链表中节点的数目范围是 [0, 5000]
  • -5000 <= Node.val <= 5000  

方法一:栈

思路

看到反转的问题,最简单的就是通过开辟额外的空间来降低难度,这里我们可以使用栈,先顺序遍历将链表的节点都压入栈,然后再将他们一一弹出,形成链表,这样就成功反转链表了,伪代码如下:

for ..:
    stack.push(node)
    
for ..:
    reverse.next = stack.pop()

image.png  

解题

Python:

class Solution:
    def reverseList(self, head: ListNode) -> ListNode:
        stack = list()
        orign = head
        while orign:
            stack.append(orign)
            orign = orign.next
        reverse = ListNode()
        dummy = reverse
        while stack:
            node= stack.pop()
            node.next = None
            dummy.next = node
            dummy = dummy.next
        return reverse.next

Java:

public ListNode reverseList(ListNode head) {
    Stack<ListNode> stack = new Stack<>();
    // 把链表节点全部摘掉放到栈中
    while (head != null) {
        stack.push(head);
        head = head.next;
    }
    if (stack.isEmpty())
        return null;
    ListNode node = stack.pop();
    ListNode dummy = node;
    // 栈中的结点全部出栈,然后重新连成一个新的链表
    while (!stack.isEmpty()) {
        ListNode tempNode = stack.pop();
        node.next = tempNode;
        node = node.next;
    }
    // 最后一个结点就是反转前的头结点,一定要让他的 next
    // 等于空,否则会构成环
    node.next = null;
    return dummy;
}

 

方法二:迭代

思路

上述栈的思路是需要开辟额外空间的,那我们能够不开辟额外的空间实现吗,即原地反转;

在遍历链表时,将当前节点的 next 指针改为指向前一个节点。由于节点没有引用其前一个节点,因此必须事先存储其前一个节点。在更改引用之前,还需要存储后一个节点。最后返回新的头引用。

9ce26a709147ad9ce6152d604efc1cc19a33dc5d467ed2aae5bc68463fdd2888.gif  

解题

Python:

class Solution:
    def reverseList(self, head: ListNode) -> ListNode:
        cur = head   
        pre = None
        while(cur!=None):
            temp = cur
            cur.next = pre
            pre = cur
            cur = temp
        

Java:

class Solution {
    public ListNode reverseList(ListNode head) {
        ListNode pre = null;
        ListNode cur = head;
        while (cur != null) {
            ListNode next = cur.next;
            cur.next = pre;
            pre = cur;
            cur = next;
        }
        return pre;
    }
}

 

方法三:递归

思路

递归法相对抽象一些,但是其实和迭代法是一样的逻辑,同样是当 cur 为空的时候循环结束,不断将 cur 指向 pre 的过程。

关键是初始化的地方,可能有的同学会不理解, 可以看到双指针法中初始化 cur = headpre = null,在递归法中初始化的逻辑是一样的,只不过写法变了。

 

解题

Python:

class Solution:
    def reverseList(self, head: ListNode) -> ListNode:
        def reverse(pre,cur):
            if not cur:
                return pre       
            tmp = cur.next
            cur.next = pre
            return reverse(cur,tmp)
        return reverse(None,head)

Java:

class Solution {
    public ListNode reverseList(ListNode head) {
        if (head == null || head.next == null) {
            return head;
        }
        ListNode newHead = reverseList(head.next);
        head.next.next = head;
        head.next = null;
        return newHead;
    }
}

 

后记

以上就是 【算法题解】 Day3 链表 的所有内容了,创作不易,多多支持 👍👍👍

我是 𝓼𝓲𝓭𝓲𝓸𝓽,期待你的关注 💖💖💖

🔥 系列专栏: 算法题解